时间:2025-05-19 13:20
人气:
作者:admin
1. 流量传感器的分类
流量传感器是一种用于测量流体在一定时间内通过一定横截面的量(流量)的设备,根据测量原理不同,可以分为但不仅限于以下几种类型:
1. 差压式流量传感器(Differential Pressure Flow Meter):差压流量传感器是根据伯努利定理原理设计的,它是通过测量管道内的流动压差来计算出流体的流速,从而推算出流量。常见的装置包括孔板、喷嘴、文丘里管等。差压式流量计简单、稳定、成本较低,其精度尚可,对流体的物性与流态要求较高。
2. 涡街流量传感器(Vortex Flow Sensor):涡街流量计的工作原理是利用流体经过一个物体时在物体后方会产生定规的涡旋,涡旋的频率与流体速度成正比,通过检测涡旋频率可以知道流体的流速,从而得到流量。优点是结构简单、精度高,且对流态和流体物性要求较低,缺点是存在零点漂移及对流体清洁度要求较高。
3. 磁电式流量传感器(Electromagnetic Flow Sensor):这种流量计是基于法拉第电磁感应定律,利用流体通过磁场产生感应电动势,电动势值与流体流速大小成正比。主要优点是不受流体物理参数,如:视密度、温度、压力、粘度和导电率变化的影响。主要缺点是需要流体本身有一定导电性,因此不能用来测量超纯水、饮用酒精和石油产品等。
4. 超声波流量传感器(Ultrasonic Flow Sensor):超声波流量计的基本原理是利用超声波在流体中传播时,顺流方向的传播速度与逆流方向的传播速度的差值与流体的流速成正比,从而推算出流量。优点是测量精度高、应用范围广、不受流体物性影响,且无需插入式探头,对流态要求低,消耗小;缺点是价格相对较高,且需要流体中无大的气泡和悬浮物。
5. 质量流量计(Mass Flow Meter):例如热式质量流量计及科氏力质量流量计等,直接测量的是流体的质量流量,而非体积流量,通过测量管中流体对加热装置的冷却效果或是由于管内流速产生的科氏力来计算流量。其优点是能直接测量质量流量,且通常不受流体物性影响。
以上就是几种典型的流量测量传感器及其工作原理、特点的简单概述。有些流量是指单位时间内的体积,有些是指单位时间内的质量,在实际应用中选择哪一种,需要根据具体的测量需求,包括测量范围,精度要求,介质性质(如是否腐蚀,是否清洁),以及投资成本等来综合考虑。这里我们捡几个稍加说明。据说这次我们的流量传感器不是基于差压式的,不过还是先从差压式流量传感器说起吧。
2. 差压式流量传感器的原理
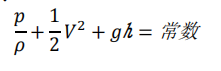
可能我们很多人都知道,差压式流量传感器的原理是基于伯努利方程和流体连续方程,然而,从流体力学方程组到伯努利原理,其实是从繁复现实到理想主义的一种极致却实用的简化。伯努利定理是流体力学中的一个重要原理,描述了在流体沿流线运动过程中,流体的动能、势能以及压力能的转化关系反应的是能量守恒的原理。伯努利定理的基本形式可以写作:

在这个方程中:
- p 是流体的压强;
- ρ 是流体的密度;
- v 是流体的速度,反映的是流体的动能;
- g 是重力加速度;
- h 是流体相对于参考点的高度,反映的是流体的势能。
伯努利定理说明,一个流体微粒在流动过程中,其动能、势能和压力能之和在沿着流线方向上是常量。也就是说,流体微粒若在高处(具有较大势能),速度较慢(动能小)且压强较小。若在低处的话,由于势能减小,通常其速度更大(动能变大),并且压强也更大。
需要注意的是,伯努利定理假定流体是不可压缩的、没有粘性的,且流动是稳定的、沿流线的。这方面,当气流速度约为 48m/s 时,实际产生的密度改变率只有 1%;一般包括流速小于100m/s 的气体,也可以忽略压缩性效应。
差压式流量传感器的工作原理是基于伯努利定理,测量流体通过一定尺寸的口径时造成的压力差,从而推算出流量。按照流量元件的形状,其结构主要有以下几种类型:1. 孔板式流量计:这是最常见的一种类型,它通过在管道中放置一个带有一定直径孔洞的板来产生压力差。孔板式流量计简单、耐用,但是压损较大,需校准。
2. 喷嘴式流量计:相比孔板式,喷嘴式流量计的孔洞设计更为复杂,形状类似喷嘴,但是压损较小。
3. 文丘里管式和单管文丘里式:这种类型的流量计通过管道的收缩和扩张来产生压力差。这种设计可以使得流体在流量计中的速度更均匀,压损较小,但构造复杂。
4. 平板形式:这是一种新型的设计,通过一块倾斜的平板产生压力差。这种设计可以大大减小流体冲击,延长流量计的使用寿命。
5. 锥形元件式:此种元件是锥形部件位于流动介质中,通过测量沿着该部件压力分布的变化来确定流速。
以上就是几种常见的差压式流量传感器的类型,实际应用中需根据实际需要进行选择。我们这里以文丘里管为例说明原因原理。

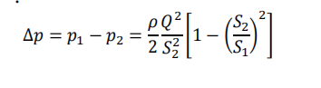
设理想不可压缩的均值流体在重力场下在文丘里管内流动,对文丘里管内的平均运动运动伯努利积分(能量守恒)及连续性方程(单位时间内通过任何一个截面的流体体积相等,质量守恒),并且平均运动后的流线是等高计算的,我们有

经过换算,我们可以得到

即有
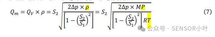
在上面的公式中,我们需要预设管路的截面积S,流体的密度ρ都是已知的,所以通过差压传感器读取到差压∆后,就可以换算成流过管路的流量(式-2,3中的流量Qv 对应的国际单位是m3/s)。如果要将上面的体积流量转换成质量流量 Qm,(1)对于不可压缩的液体,我们可以设想在一定温度范围内,密度都是不变的,就可以得到: = × (4) 而要转换成理想气体的质量流量,则可能不会怎么简单。我们知道,气体密度与压力和温度之间的关系可以通过理想气体定律来描述: = (5)
其中:
- P 是气体的压力
- V 是气体的体积
- n 是气体的摩尔数量
- R 是通用气体常数,等于 8.314 J/(mol·K)
- T 是气体的绝对温度(以开尔文为单位)
对于一定数量的理想气体,无论压力 P 整体有变化,还是温度 T 在变化,都可能会引起体积 V的变化(这是指稳态,和不可压缩是两种设定),从而导致密度 ρ 的变化。如果某气体的摩尔质量 M,那么质量 m=nM,所以有:

因此,即使理想情况下,由式-3,如果我们要将差压式流量传感器测量的体积流量转换成质量流量,需要额外知道当前气体的压强P和绝对温度T来进行补偿。

3. 理想情况下温度和压力变化对差压式流量传感器影响简单分析
• 温度 T 变化(压力不变)估算对换算后的质量流量的影响假设初始温度 T0=20℃=293.15K。如果温度增大或减小 5℃,即新的温度 T1=25℃=298.15K 或T1=15℃=288.15K。根据式-7,质量流量和流体的绝对温度 T 的开方成反比。温度升高后的质量流量与初始质量流量之比为:

(1)温度升高5℃,质量流量降低了约0.84%。温度降低后的质量流量与初始质量流量之比为:

(2)温度减低 5℃,质量流量增加了约 0.9%。
• 压力变化(温度不变)估算对换算后的质量流量的影响在许多情境中,根据式-7,质量流量 Q 与差压 P 的关系可以近似为平方根正比关系,即Q=k*sqrt(P), 其中 k 为式-7 中合并后的常数。假设初始压强为 P,对应的流量为: = × √
如果压强增加 10%,新的压强为 1.1P,对应的新的流量′ = × √1.1Q'为:这表示质量流量约为原先的√1.1倍,增加了大约为5.05%。同样的,如果压强减小 10%,新的压强为0.9P,对应的新的流量Q''为:

这表示质量流量为原先的√0.9倍,降低了大约4.7958%。
以上两个变量对气体密度的影响一负一正。因为单位不一样,实现对密度影响同等程度的条件也会不一样,各自的估算可以简单用于评估实际应用是否需要进行相应的温度,压力补偿。如果要计算温度,压力变化对气体的体积流量的影响呢?这部分我准备留给各位看官。这里提供一个参数:假设我们采取标准条件,海平面和海拔 5000 米处的大气压强差异约为 1013.25 hPa -540 hPa ≈ 473.25 hPa。再次强调,伯努利定理假定流体是不可压缩的、没有粘性的,且流动是稳定的、沿流线的。在实际应用中,实际应用需要通过其他方式考虑这些因素对流体流动的影响。差压式流量传感器所需的器件,如果您需要,安费诺传感器仍然可以提供相关的产品。
4. 适用于差压式流量传感器的产品(图示但不限于)

安费诺传感器旗下的 Nova 和 AllSensors 两个自有品牌,有多款响应快,高精度,高分辨率的数字差压传感器,以及模拟差压传感器,适用并广泛用于气体流量的检测。当然,如果需要进行压力、温度补偿,我们也可以提供此类符合需求的诸如绝压,温度传感器产品。
以上文章来源安费诺官网
上一篇:便携式呼吸机的硬件电路设计