时间:2025-03-06 18:46
人气:
作者:admin
前言
当前智能电网和新型电力系统中存在大量高频暂态电流分量。高频暂态电流是反映电力系统扰动及故障过程的重要信息,对其波形、频率、幅值等信息参数进行实时观测是预防和确保电网安全稳定运行的前提。而传统电流测量方式存在频带窄、易受电磁干扰、绝缘配合难度大等问题,难以对暂态电流进行有效检测。
本期,Aigtek就给大家分享一篇,来自西安交通大学客户发表在《高电压技术》期刊上,关于光学电流传感器研制与性能测试的研究,一起来看看吧~
实验名称:
ATA-4014C高压功率放大器在电流传感器性能测试实验中的应用
实验方向:
光学电流传感器研制与性能研究
实验设备:
ATA-4014C高压功率放大器、光学电流传感系统,信号发生器,标准电流探头,示波器等
实验内容:
本实验设计的一种具有抗干扰能力的螺线管式宽频光学电流传感器,它基于传感器性能测试平台,对光学电流传感器的交直流稳态响应线性度以及频率响应特性进行实验研究,完成了所研制光学电流传感器的性能测试。

实验过程:
测试实验回路主要以信号发生器和高压功率放大器ATA-4014C组合形成可调任意波形的输入电流源;采用夹钳式标准电流探头测量输入电流实际值,对传感器的各项稳态性能进行测试研究,其试验平台示意图如下图所示。

首先对于传感器的线性度和灵敏度进行实验测试,通过信号源和功率放大器输入电流至螺线管产生磁场,并在光学电流探头中发生法拉第效应,再经探测器转化为电压信号输出至示波器进行数据处理;之后再对传感器的频率响应特性进行测试,获得其测量带宽,同样通过信号源和功率放大器提供不同频率的电流,进而获得不同频率输入电流下光学电流传感器的输出结果。
实验结果:
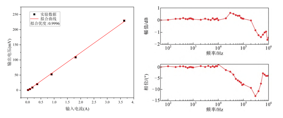
(1)通过调节信号源改变回路电流大小,获得了不同输入电流下光学电流传感器的输出电压大小,并将实验数据进行线性拟合,拟合结果如下左图所示。(2)设置功率放大器为幅值固定的恒流输出模式,电流的有效值稳定为2A,并通过改变信号发生器的频率来改变输入电流的频率,频率越高,无感电阻的感抗越大,保持电流不变时,负载电压越来越高,最终达到功率放大器的输出功率上限。

经测试,在保证电流为2A不变的情况下, 目前可将频率从50Hz均匀增大到1MHz,得到传感器的幅频响应和相频响应。
实验中用到的ATA-4014C高压功率放大器的参数指标:

更多功率放大器相关应用:
高压放大器ATA-2082在射流气液界面波动的超声波测量中的应用
ATA-7030高压放大器在多体系油相液滴交流电场行为控制中的应用
ATA-2031高压放大器在聚合物稳定液晶抑制散斑方面的应用
ATA-7020高压放大器在数字微流控的即时凝血检测技术研究中的应用