时间:2024-06-29 10:57
人气:
作者:admin
近日,上海交通大学机械与动力工程学院张文明教授团队在国际微纳领域权威期刊《Microsystem& Nanoengineering》上发表了题目为“Thermal noise-driven resonant sensors”的研究论文,提出了一种新的微纳谐振传感器范式——热噪声驱动的谐振传感器, 构建了该范式下传感器信噪比、动态范围与频率稳定性等性能指标的理论框架,并实验验证了热噪声驱动的传感器的可行性与动态检测性能,为纳米尺度下可在室温和常压下工作、更简单、更低功耗的谐振传感器设计提供了新思路。西北工业大学副教授乔艳(上海交通大学出站博士后)为第一作者,张文明教授和Abdel-Rahman教授为论文共同通讯作者。
1
内容摘要
Abstract
MEMS/NEMS谐振传感器在微小质量和微弱力感知方面已被证明具有极大潜能。然而,传统的外部驱动方式面临的一个主要挑战是传感器不可避免地会受到内在固有噪声的影响,对其信噪比 (SNR) 和精度造成了根本性的限制。特别是,随着传感器尺寸缩小到纳米尺度,由于对热噪声的高度敏感性和更为显著的非线性效应,这种限制变得越来越明显,成为了MEMS/NEMS线性谐振传感器亟需解决的难题。针对上述问题,本文不同于传统设计理念中规避或抑制噪声的思想,提出了热噪声驱动的谐振传感器设计新理念,通过将固有热噪声从障碍物转化成传感器的组成部分,在不借助任何外部驱动力情形下,用固有热噪声来实现传感器的自驱动,以减弱热噪声对传感器动态性能的制约。传感器利用在谐振频率处热噪声的动态放大响应来进行检测,并证明了具有高纵横比、弱阻尼和高度柔顺纳米结构是这类传感器的最佳候选者。为了克服驱动力的相位不相干性,研究人员提出了三种噪声感知的定量传感机制,并通过实验分别验证了热噪声驱动的压力传感器和温度传感器。热噪声驱动的传感器为可在室温和环境压力下工作的NEMS传感器提供了新机会,同时为更低成本、更简单的低功耗传感器发展提供了新思路。
2
图文解析
Detailed Information
本文首先阐明了MEMS谐振器基于热噪声的自驱动机理,厘清了热噪声驱动下响应与器件刚度、品质因子的关联关系。为了表征热噪声驱动的谐振传感器的性能,我们给出了其响应信噪比(SNR)和动态范围(DR)的定义,明确了谐振器尺寸参数和响应性能之间的匹配设计准则,并将其与传统外部驱动的谐振传感器的基本性能进行了比较,如图1(a)-(c)所示。发现热噪声驱动的谐振传感器的SNR与刚度和单位质量的阻尼成反比,而传统外部传感器的SNR与总阻尼成反比。随着器件尺寸的减小,其纵横比逐渐增加,使得热噪声驱动的传感器的SNR逐渐增大,而传统外部驱动传感器的SNR逐渐缩小。同一尺寸下,热噪声驱动的传感器的DR大于外部驱动传感器的DR。这些结果凸显了热噪声驱动范式在纳米尺度传感器领域中的显著优势。
接着本文提出了热噪声自驱动的谐振传感器基于“噪声感知”的三种定量传感机制,如图1(d) 所示。首先,通过测量共振频率的偏移量,可以检测调制传感器结构刚度或质量的刺激。其次,通过测量谐振幅值的定量变化,可以检测影响传感器阻尼和激励的刺激。第三,通过测量传感器功率谱密度下的面积变化或其运动RMS,可以估计影响热噪声水平的刺激。推导了衡量频率稳定性的艾伦方差,并提出了响应的电测方法,发现热噪声驱动机制由于不需要AC激励电路,可消除寄生电容与馈通信号对输出信号的影响,有利于有用信号的提取。

▲ 图1 热噪声驱动的谐振传感器设计范式原理
以压强和温度检测为例,本文探究了复杂环境下热噪声驱动的传感器的动态性能及其可靠性。图2是一类基于高品质因子悬臂梁的热噪声驱动的谐振压力传感器的测试结果。基于谐振速度幅值变化建立了压强检测校准曲线,分析了检测灵敏度和信噪比、器件尺寸的关联关系。通过艾伦方差评估了幅值与谐振频率的稳定性。结果表明谐振频率稳定性与品质因子、共振频率和积分时间成正比,幅值稳定性与积分时间成正比。

▲ 图2 高品质因子噪声驱动的谐振压力传感器
图3是一类基于低刚度悬臂梁的热噪声驱动的谐振压力传感器的测试结果。给出了悬臂梁在前三阶弯曲振动模态下的响应特性,发现第三阶模态由于低SNR无法用于传感。以上结果表明高阶工作模态在采用峰值幅值传感机制的噪声驱动的传感器中存在一定限制。但高阶模态在频移传感机制中更为有利,因为响应灵敏度和频率稳定性都随着模态的增加而提高。

▲ 图3 低刚度热噪声驱动的谐振压力传感器
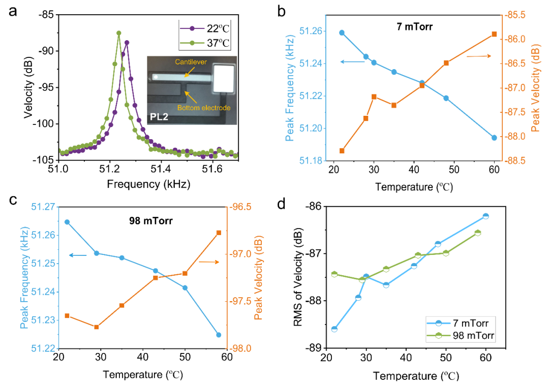
图4展示了热噪声驱动的谐振器用于温度传感的实验结果。利用谐振速度、谐振频率以及速度RMS变化建立了温度检测校准曲线,发现频移检测机制的稳定性最好。分析了检测灵敏度和信噪比、器件结构与尺寸的关联关系,给出了传感器结构设计的优化方案。

▲图4热噪声驱动的温度传感器
尽管当前工作中传感器的性能受到较大尺寸(微米级)梁的限制以及硅材料性质对温度的相对不敏感性的影响,但这标志着对新型谐振传感器技术范式的初步探索,为进一步研究奠定了基础。通过优化传感器设计(采用高纵横比的纳米谐振器)、使用更敏感的材料以及整合信号放大技术,有望提升热噪声驱动的传感器的检测性能。
审核编辑:彭菁