时间:2023-08-07 14:37
人气:
作者:admin
激光束消蚀微加工▼


光束焦点可编程上下左右前后移动
光纤位置可编程上下左右移动和旋转
可在光纤或套管上加工曲面, 小孔, 开槽, 字母, 图形….
光纤特殊处理技术在生物医疗中的应用
高灵敏度透射式光纤锥形生物传感器
标题拗口?划重点,看到高灵敏几个字就行啦,生物传感器越灵敏测试结果越准!什么什么,生物传感器干啥的?!
生物传感器(biosensor),是一种对生物物质敏感并将其浓度转换为电信号进行检测的仪器。是由固定化的生物敏感材料作识别元件(包括酶、抗体、抗原、微生物、细胞、组织、核酸等生物活性物质)、适当的理化换能器(如氧电极、光敏管、场效应管、压电晶体等等)及信号放大装置构成的分析工具或系统。
拿血液举例,从血液的黏稠,成分等指标可以检测出人是否生病或者趋向某种病变,这时候就会用到生物传感器检测,在仪器内部,有一根光纤,将血液滴上去,打入不同波长的光,看折射率,最后发现光纤拉细到一定的程度的时候(见图1),将血液滴到这个极细锥区(见图2),再打入不同波长的光,光折射率越高,越适合生物传感器,使其灵敏度越高,检测结果越准!

图1▲

图2▲
超细拉锥用于生物传感器
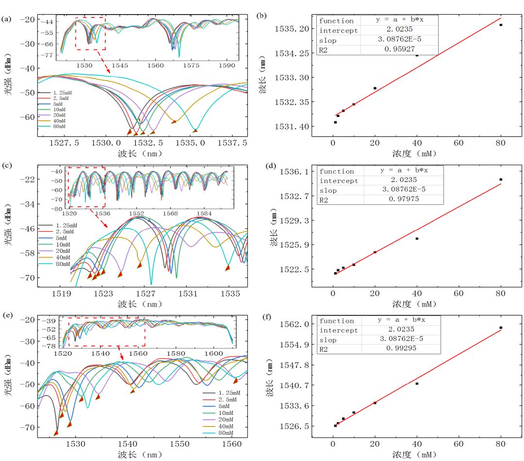
通过不同的保偏光纤熔接及拉锥组成马赫-曾德尔干涉仪,利用极细锥区部分对待测实验样品的折射率进行测试
最终达到近2000nm/RIU高灵敏度的测试精度,线性度0.99达以上实验结果


3种不同锥区半径长度的干涉谱第一个特征波长均随着折射率的升高而发生红移
激光器的跨界应用,对生物传感器的需求能做到无缝切入,将是未来的趋势。未来10年内“即时检测”的潮流会到来。生物传感器的物理形态和应用情景将实现个性化。
接触式生物液体传感器


液体传感器需要细长的锥度
使用SMF28光纤制作了20mm长,4um直径的光纤锥形
利用抛物线拉锥方制作并测试了直径3um,长度为230mm的光纤锥

(点击查看大图)
抛物线拉锥测试软件对光纤锥形测试
激光烧损治疗青少年癫痫手术
MRI引导的激光消融系统,可通过3.2mm的麻花钻对不需要的组织进行热破坏,从而实现微创、图像引导和消融手术使用情况
商业产品是一个导管加上一个30W激光用于烧蚀人体组织,并在FMRI(实时活动MRI)指导下。该产品在很大程度上治愈了年轻人的癫痫,并使小肿瘤脑外科手术成为2小时的门诊手术
使用情况光扩散尖端:现有的尖端,使用二氧化钛片悬浮在硅基体扩散980nm的光到各个方向
治愈癫痫或者小肿瘤脑外科,现在要将颅内不需要的组织进行热破坏,光在光纤传输,是往一个方向传,若是导管进去定位后,只能将光方向的组织破坏掉,其他方向的还得继续定位,来回移动,所以这一方案并不可行。而将导管顶部拉成锥形,打出来的光将是四散的,直接将定位附近的组织破坏掉,一步到位。如下图,光纤尖端直径由∞→10um,光就越向四面发散。

SMF-28光纤直角切割,测试光源1550nm,光纤端面曲率半径=∞。▲


SMF-28光纤烧球,光纤球半径=200um。▲


SMF-28光纤先拉锥,然后在锥尖上烧球,光纤球半径=25um。▲


SMF-28光纤特种工艺拉制光纤锥尖,尖端直径20um。▲


SMF-28光纤特种工艺拉制光纤锥尖,尖端直径10um。▲

光纤上附着二氧化钛 锥形光纤透镜

锥形光纤透镜光束传输测试
锥形光纤扩散透镜可替二氧化钛产品
实现360°光束传输
输出功率可达30W,980nm激光
制作成本更低
一致性更好
血流储备分数(FFR)光纤测压头的制作
基于法布里珀罗腔干涉的测压传感器
血栓两侧血流压力比称为血流储备分数(FFR)
FFR>0.75正常,否则需要治疗
许多不同方法制作测压头,包括消蚀法(主流制作测压头的方法为用专门的仪器刻槽,生产较复杂,而消蚀法操作相对简单,缩减环节,节约成本)
球囊心血管成形术脂肪斑块的侧光消蚀
当前球囊成形术
一种长导管,顶端有一个气球,有或没有支架
从腿部或手臂插入后,动脉阻塞处的尖端会膨胀
球囊压缩动脉中的脂肪物质或斑块,使血液正常流动
传统治疗法▲
传统心血管阻塞治疗术,是利用支架把阻塞血管的脂肪斑块顶到血管壁周围,使血液流通,但是脂肪并没有消失,且有支架脱落的风险。
侧面激光消蚀法的构想★
CO2烧蚀在纤维上形成微孔
脂肪斑块可以去除
研发: 脂肪斑块也许可以被光纤小孔侧向漏光所消蚀。


University of Houston, Opt Lett. 2017 May 01; 42(9): 1808–1811▲
二氧化碳系列激光熔接加工平台,以其自身特点和功能,为层出不穷的的新型生物医疗领域的生产和开发助力!
关注我们
凌云光股份以光技术创新为基础,围绕机器视觉与光纤光学开展业务,致力于成为视觉人工智能与光电信息领域的全球领导者。公司曾获得一项国家技术发明一等奖和两项国家科学技术进步二等奖。
公司战略聚焦机器视觉业务,坚持“为机器植入眼睛和大脑”,为客户提供可配置视觉系统、智能视觉装备与核心视觉器件等高端产品与解决方案。
在光纤光学领域,扎根光纤技术的5大主要应用领域(光纤激光,光纤传感,电信通信,数据通信,科学通信),挖掘国际领先技术的高端光电器件、高端设备和仪表等优秀产品资源,结合自主研发产品,希望构建领先的高端产品解决方案,引领和创造国内行业客户需求,助力中国光技术领域的科技水平提升,助力国家重大科技项目,助力产业化发展!
责任编辑:彭菁