时间:2023-07-12 10:05
人气:
作者:admin
大多数功率模块包含一个NTC温度传感器,通常它是一个负温度系数热敏电阻,随着温度的增加其电阻会降低。因为其成本较低,NTC热敏电阻可以作为功率模块温度测量和过温保护的器件,但是其它器件如PTC正温度系数电阻是更适合用来做具体的温度控制应用。使用温度传感器的信息相对比较容易,但是需要注意系统内涉及到安全的考虑。
一、模块内部的NTC热敏电阻概要
NTC热敏电阻器是放置在靠近功率管芯的位置,在相同的陶瓷衬底上,如图1

图1 NTC热敏电阻在衬底上的位置
由于自身发热可以忽略,NTC热敏电阻保持几乎和功率模块的CASE相同的温度,同时,因为功率模块CASE到heatsink的热阻RCS一般来说非常小,所以测量的温度一般是和heat
sink温度比较接近。NTC热敏电阻通常不用于监控功率模块的结温,因为它将需要被集成到功率die中,而不是这里的CASE部分,相反,结温可以基于NTC热敏电阻温度,和CASE到heat
sink热阻去估计,接下来会讨论。
NTC热敏电阻是非常有用的,因为如下特性:作为保护电源系统免于由于过热或者过冷的系统故障,低成本,比热电偶更加的敏感的响应,容易使用,不受噪声影响,温度范围和功率模块运行温度范围比较匹配等。一个NTC热敏电阻具有一个时间常数,大概为几秒钟,意味着它需要几秒钟去检测到功率模块内部的温度改变事件。
因为它的响应较慢,NTC热敏电阻不适合检测温度的快速改变,因此可以仅仅用于基于温度慢速改变而保护系统,NTC热敏电阻不能用于短路或者过流保护,NTC热敏电阻的响应是指数型的,尽管它具有非线性,NTC热敏电阻对于模块温度测量还是很有用的,原因如下:
简单的门限电路可以用来表示一个过温条件,接下来会讨论。指数响应可以被模拟电路处理,或者基于数字控制系统的软件处理。
二、模块内部的NTC电路设计方法
用于功率模块的NTC的热敏电阻具有如下的特性,如图2所示,
1.25C下的电阻为22kohm,50kohm。
2.B25/85的曲线拟合常数分别为3980K,3952K。
3.NTC热敏电阻响应方程如下,RT是热敏电阻阻抗,T是开尔文温度,T25是25C下的开尔文温度,298.15K。

图2 NTC热敏电阻的典型特性

图3 NTC热敏电阻的指数响应方程

图4 NTC热敏电阻比较器电路
NTC热敏电阻可以容易的用于模块保护场景,而不计算实际的热敏电阻温度,比较跨过NTC热敏电阻的电压和一个参考电压,如果它变得太热就停止模块工作,以减小模块失效的风险。如果NTC热敏电阻放置在电阻分压器的下端,如图4,随着NTC热敏电阻的温度增加,输入比较器的电压从供电电压VREF1降低到比较器触发电压VREF2。
假定温度触发电压需要设置在100C,比较器处的电压分压设置在参考电压的一半,如VREF1/2,上面的电阻R1需要设置为和NTC在100C时的阻抗相同,热敏电阻阻值在给定的温度下可以使用图3的方程1计算,或者按照查表方式得到。在这个例子下,100C时,RT=T1=3.43kohm,如果热敏电阻温度低于100C,比较器输出是高电平,如果热敏电阻温度高于100C,比较器的输出状态是低电平的。
热敏电阻NTC的位置和R1可以交换,在这个例子下,随着温度的增加,输入比较器的电压从0V增加到触发电压VREF2,不管R1和NTC热敏电阻的位置如何,其时间常数和噪声免疫度是固定的。实际应用中,比较器需要一个滞环,电阻R1和R2需要调整一下设置一定量的滞环电压,滞环基于比较器的输出摆幅,通过R1//RT并联和R2的分压决定,假定比较器的输出摆幅是Rail
to Rail的,如图2所示,可以计算滞环。

图5 计算比较器滞环电阻
为了增加NTC热敏电阻的噪声敏感度,这里显示在额定温度下几千ohm的电阻,推荐去并联一个电容,这个电容在图4中是C1,必须要在10-100nF之间,即使使用100nF去耦电容,25C下的时间常数仅仅只有320微秒,它可以确保一个非常高噪声敏感度,并且远低于NTC热敏电阻本身的时间常数的1000倍。在大多数的情况下,10nF去耦电容是确保噪声敏感度的足够的容值。
需要注意一点,不管温度是多少,热敏电阻的最大功率不能超过20mW,以此确保温度测量不受到自热的影响。
解方程1,得到开尔文温度,如公式2,

图6 计算开尔文温度
我们若知道B25/85和T25,R25的值,例如3952K,298.15K,50K等,一旦我们确定了RT的值,我们就可以计算温度,参考图4,VT电压是跨过NTC热敏电阻的电压,计算如图7,这很容易。一个温度对应一个RT值,对应一个电压分压。

图7 计算热敏电阻电压VT
最终,我们可以解出热敏电阻阻值,RT为如下,注意如果R1具有中性的温度系数,则计算精度会改善。最终方程4可以带入到方程2,去计算得到热敏电阻的开尔文温度。

图8 计算热敏电阻阻值

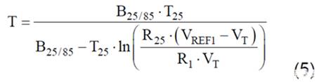
图9 计算热敏电阻温度
基于方程5的结果,可以将开尔文温度转化为摄氏度,通过减去273.15实现。方程5看起来相当复杂,但是可以通过数字控制系统中的MCU或者DSP来简单的解出来,方程5可以用一个excel程序去创建一个表格,存储在头文件中,减小数字控制器中的温度计算的运行时间,NTC热敏电阻保持和功率模块CASE相同的温度,因此热敏电阻可以简易的用作功率模块基板CASE温度Tc。
总的来说,对于NTC热敏电阻来说,一个温度对应一个电阻,而基于电阻就可以确定比较器电压,根据这个关系最终可以反推出实际测量温度。
知道模块的case温度Tc,Jc热阻,每一个die的功耗,功率模块die的温度可以使用如下公式计算得到,

,Heat sink温度可以用如下公式计算,

,由于越往外温度越低,可以得到,这里THS是heat sink温度,P是模块的功耗,RCS是case到heat sink的热阻。
因为功率模块的case到heat sink的热阻RCS一般是很小的,热敏电阻的温度可以认为接近heat
sink的温度,如果合适,-5到-10C的纠正可以从温度测量中减掉,去估计heat sink的温度,例如,基于0.1C/W的case到heat
sink热阻,需要用纠正10C对应于100W的模块的功耗。
三、使用NTC电阻在系统安全上的考虑
极限条件下的等离子气体产生,使得模块内部严重损坏,导致功率管芯损坏,等离子体气体的传播是不可预测的,它可能接触到NTC热敏电阻,将它置于危险的高压下。使用NTC热敏电阻的温度监控显示出这部分电路具有潜在暴露在高压中的风险,系统设计者需要去确保通过合适的测量,去提供可靠的绝缘。
以下是一些例子,可以获得好的绝缘,
1.NTC热敏电阻用于比较器电路,它和控制逻辑通过光耦隔离,通常来说,其它保护如短路,过流,过温等都基于开关电平切换执行,故障信号可以叠加在一起,通过相同的光耦来传输。
2.完整的系统通过合适的材料或者保护罩覆盖。
3.每一个应用都是独特的,设计者必须采取最高效的方式去确保系统操作者的安全。
总结,上述文章简单分析了碳化硅功率模块内部的NTC电路的设计思路和注意事项,可以对碳化硅功率模块的这一温度保护特性得到比较全面的认识。