时间:2023-07-17 16:42
人气:
作者:admin
01
—
摘要
分布式声学传感(DAS)数据已被广泛用于监测多裂缝水力压裂。利用DAS数据解释水力压裂几何形状(宽度和长度)是当前研究的热门主题。然而,之前的研究只能从单个低频DAS (LF-DAS) 数据估计邻井附近的压裂宽度。由于多重性问题,没有人研究从DAS数据表征压裂长度。本文提出了一个新的模型,从多个数据源(LF-DAS、高频DAS (HF-DAS) 和注入速率数据)反演出压裂长度和宽度随时间的变化。首先,通过对比本井的高频分布声学传感器(HF-DAS)瀑布图和注入速率曲线,确定注入到每个裂缝中的流体体积。邻井的低频分布声学传感器(LF-DAS)数据通过Green函数与裂缝宽度关联起来。通过结合Green函数和流体体积约束,确定裂缝的长度和宽度。
其次,使用Picard方法和最小二乘法来提高模型计算的鲁棒性。通过位移不连续方法(DDM)生成的裂缝扩展案例来验证反演模型。此外,讨论了光纤与井眼之间的距离、空间采样间距、裂缝间距对反演模型计算稳定性的影响。通过结合分布声学传感器(DAS)数据和本井或邻井的其他监测数据(例如,注入速率),可以准确估算出随时间变化的裂缝长度和宽度。裂缝几何形状解释的结果可以优化压裂设计,帮助提高生产效率。
02
—
引言
近年来,水力压裂诊断技术已广泛应用于非常规油气藏的开发(Tang and Zhu 2022)。这对于指导压裂设计和提高生产率至关重要。DAS监测技术是水力压裂监测的最新研究趋势之一(Jin and Roy 2017)。DAS监测技术通过井眼沿线的光纤传递地下信号,传感器靠近井眼和储层,提供了对水力压裂处理的实时响应。与微地震监测(Rutledge 2004; Warpinski et al. 2004)、压力/速率瞬态分析(Hu et al. 2022; Ibrahim et al. 2020; Tu et al. 2022)和示踪数据分析(Karmakar et al. 2016)等传统监测技术相比,DAS数据更直观。数据主要用于解释应变和流动分布。同时,应变和流动分布与压裂几何形状相关,这是评估水力压裂效果的关键指标。因此,DAS监测技术在水力压裂数据处理过程中对压裂几何形状的解释具有更大的潜力。
具体而言,根据频带范围,DAS数据可以分为低频(<1 Hz)和高频(200–7000 Hz)信号(Tang and Zhu 2022)。与岩石破坏事件相关的LF-DAS数据主要用于应变监测(Li et al. 2020)。光纤周围的应变变化导致光纤材料变形,这改变了光纤各处的DAS信号振动波形。波形相位与应变有线性关系,这可以定量描述沿光纤物理场扰动位置的应变(Lindsey et al. 2020; Martin et al. 2019)。一些研究人员尝试通过实地实验和数值模拟分析LF-DAS应变数据与压裂几何形状之间的关系。
Molenaar 和 Cox (2013)使用沿光纤井的DAS瀑布图来判断裂缝是否开启。Sookprasong等人(2014)观察了紧密气井中水力压裂处理的DAS和分布式温度传感监测结果。结合水力压裂程序,他们发现裂缝的扩展、闭合和重开与DAS数据有很强的相关性。金和罗伊(2017)基于低频DAS应变和应变速率数据研究了裂缝的开启和扩展机制。他们利用压裂作业中来自邻井的低频DAS响应的现场实例,证明了低频DAS数据可用于确定裂缝间距和大小范围。Sherman等人(2019)模拟了随机离散裂缝网络的单一裂缝扩展和相应的合成DAS测量结果,该模拟是由一个包括岩石物理、流体流动和弹性波传播的多物理程序进行的。Shahri等人(2021)模拟了各种条件下的应变瀑布图。合成的光纤数据与实际数据非常吻合,显示出光纤数据与裂缝力学模拟的良好一致性。刘等人(2021a, 2021b)提出了一个基于从DDM演化出的Green函数的反演算法。该算法可以直接从由邻井监测的低频DAS应变数据反演裂缝宽度。同时,刘等人(2021c)分析了裂缝高度对裂缝宽度反演结果的敏感性,反演模型由两个现场案例验证。唐和朱(2022)开发了一种方法,使用DDM模拟本井的多裂缝扩展和远场应变速率响应。由于低频DAS应变数据的一维监测范围的限制,前面的研究只能定性解释裂缝扩展或定量计算部分裂缝参数(例如,裂缝宽度)。水力压裂过程中完整裂缝几何形状的动态变化很难仅通过低频DAS应变数据来反演。
此外,高频DAS数据与井筒中的流体流动事件有关,主要用于流体分布解释(Pakhotina等人,2020年)。对于高频DAS瀑布图,在裂缝孔位置处提取频带(FBE)信号的强度可以定性地确定流体注入的强度。结合相应时间的FBE信号和注入速率数据,可以进一步确定每个射孔簇的流量分布(Pakhotina等人,2020年)。尽管流量分布结果不能直接描述每个裂缝的几何形状,但它们可以作为约束条件被纳入到Green函数中。因此,低频DAS应变数据和高频DAS FBE数据的联合分析可以解决不同裂缝长度条件下Green函数多解性的问题。此外,原始DAS数据通常以高频率记录。可以通过对高频DAS数据进行降采样来获得低频DAS数据。如果只在本井中安装光纤,可以从相同的原始DAS数据中获得高频DAS和低频DAS数据,这会很大程度上节省光纤安装的成本。
本文试图通过整合Green函数和流动分布函数来开发一种新的水力压裂反演模型。该模型用于基于DAS数据(即本井的HF-DAS数据和邻井的LF-DAS数据)和注入速率数据进行压裂长度和宽度的同时表征,这些数据通常是开源的。首先,对原始DAS数据进行低频采样以获得LF-DAS数据。实测的光纤DAS数据有噪声。建议使用高保真度滤波算法处理原始数据(如S-G算法),以去除噪声数据,同时尽可能保留原始数据中的无噪声有效值。然后,根据DDM发展出的Green函数,将压裂长度和宽度与邻井沿线的应变数据相关联。同时,使用一种动态压裂网格化方法来表征Green函数的不确定压裂长度。然后,通过快速傅里叶变换从原始DAS数据中获得HF-DAS FBE数据。结合HF-DAS FBE和注入速率数据确定相应时间的流动分布。最后,使用流固耦合算法将Green函数和流动分布函数关联起来。使用Picard方法求解该算法,并确定满足应变和流动分布条件的压裂的长度和宽度。通过由正向DDM模型生成的压裂传播案例验证了反演模型。本文还讨论了光纤与井筒的距离、空间采样间距和压裂间距对反演模型计算稳定性的影响。我们重新推导了一个反向模型,以直接和定量地将光纤数据与时间上的压裂几何形状关联起来。该模型将常规压裂数据(例如注入速率)与光纤数据耦合。
03
—
材料与方法
在这一部分,我们推导了一个多裂缝几何反演模型,主要用于计算裂缝参数(即每个裂缝的长度和宽度)。我们的模型应用了LF-DAS应变数据和HF-DAS FBE数据。
首先,从DDM模型中推导出应变函数,该函数描述了裂缝宽度、裂缝长度和应变之间的关系。井筒、裂缝和光纤的相对位置如图1所示。根据图1,有t个垂直裂缝,一个光纤和一个井筒。井筒中的注入速率为Q。光纤与井筒之间的距离为d。离散裂缝之间的间距为df。光纤的空间采样距离为ds。每个裂缝的长度Lt都有所不同,但所有的裂缝都被划分为n个裂缝单元。光纤与井筒平行,可以划分为m个感测点。

图1 井筒、裂缝和光纤的示意图
04
—
模型验证
这部分通过一个裂缝扩散案例来验证反演模型。使用DDM模型(Wu 2014)生成这个案例。应变响应是通过刘等人提出的方法(Liu等人,2020;Tang和Zhu,2022)产生的,对应于压裂时间。对于裂缝生长,扩散准则是最大环向应力准则。
用于模拟的基本参数如表1所示,这些参数来自于吴等人(2017)的案例。我们利用DDM正向模型模拟了表1中的条件下的裂缝扩展。模拟模型的网格包括裂缝网格、光纤网格和层网格。具体来说,层范围是240×240米,共有3600个网格。光纤总长度为240米,有60个网格,网格大小等于光纤空间采样距离。裂缝长度和网格大小随时间变化(最大裂缝长度为150米),有60个网格。图3显示了由DDM正向模型模拟的裂缝扩展过程中的压力和最大裂缝宽度变化。图4显示了在裂缝扩展结束时裂缝周围的位移和应变场。应变可以通过等式3从位移确定。我们在光纤位置分离应变场(图5a)。结合对应时间的应变场和累积注入,通过反演模型确定裂缝宽度分布。我们比较了DDM正向模型和反演模型在裂缝扩展结束时的裂缝宽度分布(图5b)。结果显示,即使在不同的裂缝剖面策略下,反演模型仍然可以通过在光纤位置的有限应变场准确计算裂缝宽度。
表1 用于模型验证的基本参数


图3 (a) DDM正演模型模拟的压力与时间关系。(b) DDM正演模型模拟的最大裂缝宽度随时间的变化

图4 (a)裂缝扩展结束时二维位移场,(b)裂缝扩展结束时二维应变场。

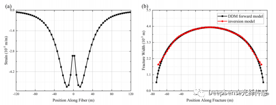
图5 (a)裂缝扩展末端光纤位置的应变场,(b)采用DDM正演模型和反演模型计算的裂缝宽度分布

图62D不同时刻应变场:(a) 9.246秒;(b) 32.862秒;(c) 64.174秒;(d) 98.456秒
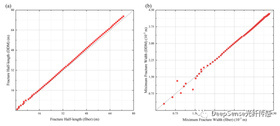
此外,我们通过本文的模型确定了每个时间的裂缝的几何形状,并与正向模型进行了比较。使用DDM正向模型在每个时间模拟的2D应变场(图6),我们可以确定光纤位置处的应变的瀑布图随时间的变化(图7)。使用图7和相应时间的累积注入,可以确定每一时刻的裂缝半长度和宽度。图8显示了通过DDM正向和我们的模型确定的所有裂缝半长度和最大裂缝宽度的比较结果。同时,添加了对称性正则化项,井眼两翼的裂缝半长度相等,裂缝宽度以井眼为中心对称分布。结果表明,裂缝半长度和最大裂缝宽度的平均计算误差分别为1.41和7.47×10−9 m。

图7光纤位置应变瀑布随时间变化图
与裂缝扩展过程的DDM正向模型相比,反演模型依赖于每次光纤位置的应变数据。此外,反演模型有有限的常数数量的裂缝网格和动态网格长度,使得计算速度更快,收敛更稳定。根据结果的比较,这种动态网格策略的计算精度不会出现大幅偏差。

图8 (a)采用DDM正演模型和反演模型计算的裂缝半长,(b)DDM正演模型与反演模型计算的最大裂缝宽度
05
—
结果和讨论
这部分主要讨论光纤和井眼之间的距离、空间采样间隔、和裂缝间距对反演模型计算稳定性的影响。计算的主要参数如表2所示。
表2用于讨论的基本参数。

光纤与井眼之间的距离的影响。光纤与井眼之间的距离(d)分别设定为2、14、26和38米。用于计算的主要参数是表2中的情况1。通过DDM正向模型重新模拟得到的相应应变瀑布图如图9所示。图9中,不同光纤位置的应变瀑布图的"心形"位置不同,这表明裂缝尖端到达光纤的时间不同。使用应变瀑布图,可以确定传播过程中的裂缝几何形状。

图9光纤与井筒不同距离处的应变瀑布图:(a) 2米,(b) 14米,(c) 26米,(d) 38米
为了比较不同距离的计算的稳定性和准确性,反演模型计算的传播结束时的裂缝半长度和裂缝宽度分布如图10和图11所示。图10展示了反演模型计算裂缝半长度的迭代过程。如图10所示,裂缝半长度在d为2和26米时收敛最快,而在d为14米时收敛最慢。但模型收敛所需的裂缝半长度的初始值随着d的增加而增加。光纤的位置影响了裂缝半长度收敛的速度和裂缝半长度的初始范围。光纤在更远的距离测量到的应变数据倾向于局部收敛,并且需要更严格的迭代初始值。在模拟的情况中,当裂缝半长度的初始值等于或大于光纤距离时,模型的收敛性最好。如图11所示,由更近的光纤测量到的应变数据能更准确地反演出裂缝宽度分布。但光纤的位置并不影响裂缝宽度反演结果的整体范围。结果表明,通过光纤沿线的应变数据计算裂缝几何形状是受到光纤和井眼之间距离的限制的。刘等人(2021a)已经证明,LF-DAS应变数据可以准确地计算出裂缝碰撞位置的裂缝宽度。除此之外,我们的模型中还增加了本井的HF-DAS数据和注入速率,所有时间和地点的裂缝长度和宽度可以一起计算,通过对裂缝半长度增加严格的初始迭代约束,可以改进反演结果。

图10裂缝半长迭代过程

图11 DDM正演模型与反演模型计算的光纤与井筒不同距离处裂缝宽度分布:(a) 2米,(b) 14米,(c) 26米,(d) 38米

图122D不同空间采样间距下的应变场:(a) 2米,(b) 10米

图13不同空间采样间距下的应变瀑布图:(a) 2米,(b) 10米
光纤通常布置在邻井或本井上。对于邻井的LF-DAS应变监测,监测距离越远,应变响应越小。超过一定距离,邻井的光纤不能监测到应变。模拟案例也表示,对小于邻井光纤距离的裂缝半长度(裂缝对称扩散),很难反演出裂缝几何形状。因此,需要通过光纤应变瀑布图的心形位置确定裂缝碰撞位置。使用裂缝碰撞位置作为迭代裂缝半长度的初始值来计算裂缝长度和宽度。对于本井的LF-DAS应变监测,瀑布图的心形通常不出现,因为光纤与井眼之间的距离为零。因此,模型不需要严格的裂缝半长度初始值就可以稳定收敛。
空间采样间距的影响。光纤空间采样间距(ds)和标距(GL)是光纤设备的参数,影响了测量的分辨率和数据量级。标距是反演模型的参数之一。因此保持反演模型和光纤设备的测量长度一致,不影响模型计算的准确性。对于空间采样间距,参考表2中的案例2,分别设置2米和10米的空间采样间距,反演出场地规模的裂缝几何形状。此外,注入时间增加到1000秒,光纤和井眼之间的距离增加到15米。图12和13显示了两种情况的2D应变场和应变瀑布图,说明了小空间采样间距的变化更为平滑。特别是,对于图12的裂缝尖位置和图13的裂缝碰撞位置,它们附近区域的应变变化显著。较小的空间采样间距可以在这些位置确定更大的应变范围。

图14裂缝半长迭代过程

图15不同空间采样间距下DDM正演模型和反演模型计算的裂缝宽度分布:(a) 2m,(b) 10m
根据图14和15所示的计算结果,空间采样间隔几乎不影响裂缝几何形状计算的稳定性和准确性。结果表示反演模型通常会高估裂缝尖端位置的裂缝宽度,而对最大裂缝宽度的反演相对准确。此外,较小的空间采样间距需要更长的计算时间。因此,只要在裂缝位置范围内有足够的光纤传感点,使用低分辨率的应变瀑布图反演裂缝关键参数是平衡计算效率和准确性的更好选择。
裂缝间距的影响。使用四个双裂缝案例来比较不同裂缝间距对反演模型的影响。裂缝间距(df)分别设定为10,20,30和40米。用于计算的主要参数在表2的案例3中。由DDM正向模型重模拟得到的相应应变瀑布图在图16中显示。计算结果显示在图17和18中。小的裂缝间距会产生应力阴影,并模糊两个裂缝在位移和应变位移中的边界。同时,随着裂缝间距的减小,应变瀑布图趋向于呈现单裂缝特征。在恒定流动分布的情况下,较小的裂缝间距会导致较小的平均裂缝宽度和更大的裂缝长度。光纤在准确位置测得的不同应变数据可用于准确计算裂缝长度和宽度分布。

图16不同裂缝间距下的应变瀑布图:(a) 10米,(b) 20米,(c) 30米,(d) 40米

图17裂缝半长迭代过程

图18不同裂缝间距下DDM正演模型与反演模型计算的裂缝宽度分布:(a) 10米,(b) 20米,(c) 30米,(d) 40米
06
现场应用
以水力压裂测试站2(Ciezobka 2021,2022)的一个实地案例来说明模型计算的过程。测试站包括一个垂直导向孔(B5PH)和八个水平井(T13H,T14H,T15H,T16H,B1H,B2H,B3H和B4H)。实地案例来自B1H的第19阶段,其远场应变由部署在B3H上的光纤测量。B1H和B3H是平行且在相同深度的。井间距约为365.76米。裂缝高度约为300米(Wang et al. 2022)。计算的基本参数在表3中。
表3 -用于计算的基本参数

这个部分将通过一个来自水力压裂试验站2(Hydraulic Fracturing Test Site 2)(Ciezobka 2021, 2022)的实地案例来说明模型计算的过程。该试验站包括一个垂直试验孔(B5PH)和八个水平井(T13H、T14H、T15H、T16H、B1H、B2H、B3H和B4H)。实地案例来源于B1H的第19阶段,其远场应变由部署在B3H的光纤光学测量。B1H和B3H平行且深度相同。井距约为365.76米。裂缝高度约为300米(Wang et al. 2022)。用于计算的基本参数如表3所示。
图19展示了随时间在光纤位置的应变瀑布图。在当前阶段有一个裂缝击中了光纤井(B3H)。通过图19可以确定裂缝到达B3H的击中时间为8700秒(Liu et al. 2021d)。我们在裂缝击中时间计算了沿着光纤的裂缝长度、宽度和应变。图20a显示了逆向和真实应变的比较。逆向应变和测量应变可以很好地匹配。应变的平均计算误差为1.68×10−6m/m。图20b显示了裂缝半长度的迭代过程。结果显示,裂缝在击中时间到达光纤。与井间距比较,裂缝半长度计算的误差为4.91米。总的来说,水力压裂测试站2的实地案例证明了反演模型的稳健性和准确性。

图19光纤位置应变瀑布图随时间变化。

图20 (a) 8700秒时使用倒宽度的LF-DAS实测应变数据与计算应变数据对比,(b)断裂半长迭代过程及结果
07
结论
开发了一个基于Green函数和流动分布函数的水力裂缝几何反演模型。该模型主要利用DAS和注入速率数据来反演裂缝长度和宽度分布。同时,使用流-固耦合算法将Green函数和流动分布函数联系起来。用Picard方法求解流-固耦合算法。还分析了光纤与井筒之间的距离、空间采样间距和裂缝间距对算法计算稳定性的影响。这是首次将DAS和注入速率数据结合起来,用于描述裂缝的几何形状。
从这项研究中,可以得出以下结论。第一,反演模型将DAS数据、注入速率、裂缝长度和宽度与流体分布函数和Green函数的耦合关联起来。该方法允许通过在有限的光纤传感点上的应变稳定反演不同尺度多裂缝几何形状。第二,使用远距离光纤测量的应变数据,可能会导致短裂缝的反演结果不稳定。这是因为DAS应变数据对远距离的裂缝段不敏感。通过对裂缝半长增加严格的初始迭代约束,可以稳定反演过程。第三,光纤的空间采样间距和标距长度都不影响反演结果的稳定性。但是建议在断裂位置两侧提供足够的光纤测点,以提供更多的应变数据。最后,两个相邻裂缝的DAS数据呈现出“单裂缝”特征。但裂缝间距不影响反演计算的准确性和稳定性。
反演模型存在以下不足。第一,模型没有考虑裂缝转向,裂缝长度的反演结果可能会被低估。第二,测量的应变数据有大量噪声,这可能导致反演结果不稳定。需要额外的滤波算法来对应变数据进行降噪。第三,反演模型假设裂缝两翼之间具有对称性。此外,裂缝模型是2D模型。为适应复杂3D裂缝的反演必须开发更灵活的约束条件。最后,反演模型没有考虑流体从裂缝到基质的泄露,可能会高估裂缝长度的反演结果。
审核编辑:刘清