时间:2022-06-10 10:46
人气:
作者:admin
简
介
电感式传感器
Perseverance Prevails
电感式传感器是利用电磁感应定律,通过线圈的自感和互感的变化来实现非电量测量的一种装置。其特点便是使用电感的物理特性,不直接接触被测物,便可测量位移、震动、压力、流量等信号。
分
类
Perseverance Prevails
电感式传感器按按工作原理分为自感式、互感式和电涡流式三种。
自感式传感器
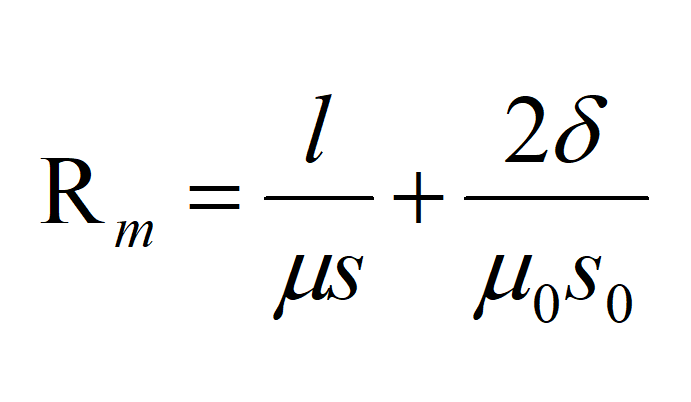
自感式电感传感器是一种改变自感系数的传感器。它由线圈、铁芯及衔铁组成。在铁芯和衔铁之间有气隙和气隙导磁截面积,这两个容易改变的参数。
自感式传感器的磁路总磁阻可以表示为:

通过分别改变气隙或气隙导磁面积可以构成变气隙式自感传感器和变面积式自感传感器,其结构图如图1、2所示。

利用两个反向的基本自感传感器,可以构成差动式自感传感器,如图3所示,其改善了基本自感传感器的电磁效应,配合电桥使得灵敏度增加一倍,非线性也得到了补偿。

图 3 差动式自感传感器
互感式传感器
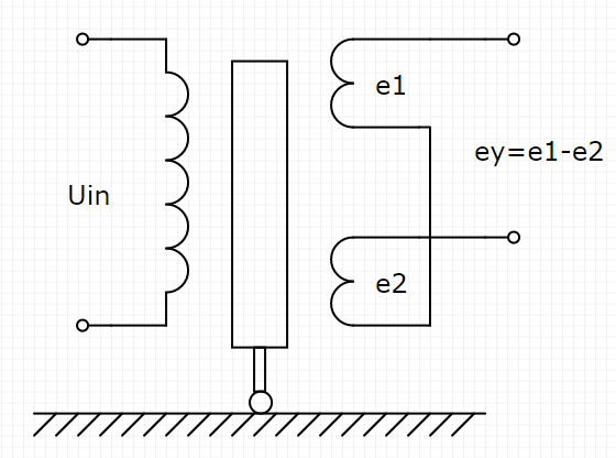
互感式传感器由线圈、铁芯和活动衔铁三个部分组成,如图4所示。线圈包括一个初级线圈和两个反接的次级线圈。当初级线圈输入交流激励电压时,次级线圈将产生感应电动势e1和e2。由于两个次级线圈极性反接,传感器的输出电压为两者之差,即ey=e1-e2。

图 4 互感式传感器
电涡流式传感器
电涡流传感器:根据电涡流效应制成的传感器称为电涡流式传感器。按照电涡流在导体内的贯穿情况,此传感器可分为高频反射式和低频透射式两类,但从基本工作原理上来说仍是相似的。

图 5 电涡流式传感器
电涡流式传感器最大的特点是能对位移、厚度、表面温度、速度、应力、材料损伤等进行非接触式连续测量,另外还具有体积小、灵敏度高、频率响应宽等特点,应用极其广泛。
应
用
Perseverance Prevails
电感式传感器作为一种位置反馈元件,目前已经广泛应用于几乎所有自动化控制的工业领域之中,对检测和自动控制系统的可靠运行具有关键性的作用。
1
机械加工
电感式传感器可以用于测量位移、尺寸、压力等物理量。
1)用电感式位移传感器可以提高轴承制造的精度;
2)用电感测微仪测量来微小精密尺寸的变化;
3)实现液压阀开口位置的精准测量;
4)用于设计智能纺织品的柔性传感器;
5)用电感传感器原理的孔径锥度误差测量仪;
6)用电感传感器检测润滑油中磨粒;
7)用电感传感器监测吊具导向轮等等。
利用电感式传感器可以实现工件的高精度加工,可以实现工件加工流程的自动化操作,还能对工件进行探伤。
2
机器人
电感传感器还可用来做磁敏速率开关、齿轮龄条测速,链轮齿速率检测等。
如机器人机械臂的运动轨迹需要严格控制,使用电感式传感器可以对机械臂的位置进行限位,对机械臂中的齿轮转动速度和位置进行监控,保证机械臂的稳定运行。链轮齿速率检测,链输送带的速率和距离检测,齿轮龄计数转速表及汽车防护系统的控制等。
此外,该类传感器还可用在给料管系统中小物体检测、物体喷出控制、断线监测、小零件区分、厚度检测和位置控制等。
3
智能机械
电感传感器还可用来链输送带的速率和距离检测,齿轮龄计数转速表及汽车防护系统的控制等。
比如货车卸货时,对箱斗的位置要进行一个限制,箱斗的升举范围只能控制在一定限度,使用接近式传感器可以检测箱斗的升举高度从而控制液压系统进行限位。
4
其他应用
电感式传感器还可以应用于磨加工主动测量、测量长度位移量和制作电子测微仪等。