时间:2023-05-29 14:13
人气:
作者:admin
血糖的高低直接与人的健康甚至生命安全有关,但目前普及化的血糖仪都需要采集指血来检测体液里的葡萄糖含量,这难免给部分人群带来痛苦和不便。汗液是可以从皮肤无创收集的生物流体,对于原位健康监测具有重要的应用价值。目前,相关研究已经充分验证了汗液中的葡萄糖浓度与血糖浓度的正比例相关性。因此,开发一种可靠的汗液葡萄糖传感器,不仅可以实现无创方式获得用户的血糖值,还可以持续跟踪监测葡萄糖浓度的变化,这有利于预测和防止低血糖等引起晕厥、死亡的突发现象。
石墨烯是一种具有蜂窝状结构的二维纳米晶体材料,而多层石墨烯、掺杂石墨烯等石墨烯衍生物不仅具有石墨烯的固有电学、电化学及机械性能,还富有离子吸附及截留、生物亲和力、高电催化活性等其他优势,在电化学传感器、光电器件等各个领域中具有广泛的应用。其中,硼(B)或氮(N)的掺杂可调制石墨烯的电子结构,即B或N原子可以改变π共轭体系的电中性,产生不同的电催化活性位点,由此调控其电催化活性。
据麦姆斯咨询报道,近期,天津理工大学的研究人员采用电子辅助热丝化学气相沉积技术制备了垂直石墨烯(VG),并且通过B原子和N原子的单独及同步掺杂,制备了B掺杂垂直石墨烯(BVG)、N掺杂垂直石墨烯(NVG)以及B-N共掺杂垂直石墨烯(BNVG)薄膜,并进一步研究了这些结构变化对其电化学性能的影响,尤其是分析了其对葡萄糖的响应能力,为开发汗液葡萄糖传感器打下了实验和理论基础。相关研究成果以“硼-氮共掺杂垂直石墨烯电极的制备及其葡萄糖检测性能”为题,发表在《无机化学学报》期刊上。
首先,为了研究样品的电化学性能,研究人员以4种石墨烯电极作为工作电极组装了三电极体系的电化学传感器。使用4种石墨烯电极基电化学传感器记录的差分脉冲伏安法(DPV)曲线如图1所示。健康人的汗液pH范围在4.5 ~ 6.5之间。为了模拟健康人的汗液体系,以pH = 5.0的0.1 mol/L氯化钠(NaCl)和磷酸盐的混合液作为支持电解液配制了葡萄糖溶液。待测液的葡萄糖浓度范围是0.001 µmol/L ~ 1000 µmol/L。由检测结果可以得出,4种传感器在0 ~ 0.1 V范围内出现了氧化峰,而且随着葡萄糖浓度的增加,此处氧化峰的峰电流逐渐提高,但不同电极的电流的增幅差异较大。其中,BNVG传感器(图1d)的峰电流的变化范围达到200 µA,而其他3种电极均在几到几十微安范围里变化(图1a-1c)。

图1 使用4种石墨烯电极在不同浓度的葡萄糖溶液里记录的差分脉冲伏安法(DPV)曲线:(a)垂直石墨烯(VG);(b)B掺杂垂直石墨烯(BVG);(c)N掺杂垂直石墨烯(NVG);(d)B-N共掺杂垂直石墨烯(BNVG)
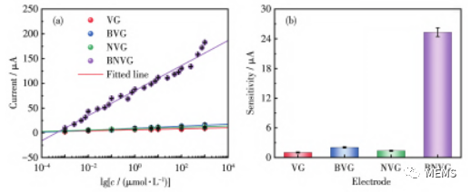
接着,研究人员对4种石墨烯电极基电化学传感器的葡萄糖响应灵敏度进行了研究。如图2所示,与纯石墨烯传感器相比,B和N原子的引入明显提高了线性回归曲线的斜率,即对葡萄糖的响应灵敏度。基于VG、BVG、NVG、BNVG电极构建的葡萄糖传感器的响应灵敏度分别达到了1.02 µA、2.05 µA、1.38 µA和25.34 µA,其中,BNVG传感器的灵敏度是VG传感器的25倍。据相关文献报道,汗液里葡萄糖浓度是血液里葡萄糖浓度的1/100~1/250,而BNVG传感器的可检测浓度范围为0.001 µmol/L ~ 1000 µmol/L,不仅覆盖了商用血糖仪的检测范围(1 mmol/L ~ 20 mmol/L),还涵盖了更低的检测浓度范围。

图2 四种石墨烯传感器检测葡萄糖的(a)线性回归曲线和(b)灵敏度
为了探索BNVG电极对葡萄糖的高灵敏度响应的背后原理,研究人员利用循环伏安法(CV)法记录了VG和BNVG电极在1 mmol/L葡萄糖溶液里的响应曲线。研究结果显示,与VG电极的循环伏安法曲线相比,BNVG电极在0 V附近存在一对明显增大的氧化还原峰,而且在0.5 V和-0.5 V附近表现出高的氧化还原电流。这些变化可以归因于BNVG对葡萄糖的高电化学催化活性:氧化电流的增加是因为葡萄糖被氧化为葡萄糖酸内酯,同时BNVG表面氧空位缺陷被还原。已有研究表明,吡啶型N和N-B-C构型的存在可能是BNVG电极具有高的葡萄糖响应能力的主要原因。

图3 (a)使用VG和BNVG电极在1 mmol/L葡萄糖溶液里记录的循环伏安法曲线;使用BNVG电极检测10 µmol/L葡萄糖溶液的(b)长期稳定性、(c)对葡萄糖和干扰物种的安培响应及(d)响应电流
此外,研究人员使用BNVG传感电极每隔5天记录一次10 µmol/L葡萄糖溶液的差分脉冲伏安法曲线,结果发现,峰电流的相对标准偏差(RSD)为3.5%,体现了BNVG传感电极的良好的长期稳定性(图3b)。
随后,为了评价BNVG传感器的选择性,研究人员在支持电解液里加入了葡萄糖和不同的干扰物,记录安培响应曲线(图3c)并分析了响应电流(图3d)。其中,干扰物包括浓度为10 µmol/L的蔗糖(Suc)、果糖(Fru)、尿素(Ure)、乳糖(Lac)、乳酸(LA)、色氨酸(Trp),以及浓度为1 µmol/L的多巴胺(DA)、抗坏血酸(AA)和尿酸(UA)。这些干扰物对葡萄糖响应电流的改变量范围为2.31% ~ 14.07%,其中抗坏血酸(14.07%)和果糖(10.64%)干扰相对较大,但该结果仍表明BNVG传感器对葡萄糖具有良好的选择性。此外,BNVG传感器相对于目前已开发的传感器具有2个优势:跨6个数量级的宽检测浓度范围(0.001 µmol/L ~ 1 000 µmol/L)和低至0.03 µmol/L的检测限(LOD)。
综上所述,该研究采用电子辅助热丝化学气相沉积系统制备了石墨烯薄膜,成功实现了石墨烯纳米片在基底上的垂直生长,并着重分析了B、N掺杂对石墨烯电化学性能的影响。研究结果显示,B-N共掺杂垂直石墨烯(BNVG)基电化学传感器在检测葡萄糖时,具有宽响应浓度范围和高灵敏度。这些结果展现了BNVG薄膜作为表皮电极检测汗液里葡萄糖浓度的潜在应用价值。
审核编辑 :李倩