时间:2023-04-19 15:46
人气:
作者:admin
步进频率信号(Stepped-Frequency Waveform, SFW)是一类 宽带雷达信号 。
步进频率脉冲信号包括若干个脉冲,每个脉冲的工作频率是在中心频率基础上以均匀步进,且每个子脉冲可以是单载频脉冲,也可以是频率调制脉冲。
子脉冲为单载频脉冲的步进频率往往称为 步进频率(跳频)脉冲信号 ,而子脉冲采用线性频率调制的步进频率信号则称为 调频步进信号 。步进频率脉冲信号也属于相参脉冲串信号。
步进频率(跳频)脉冲信号
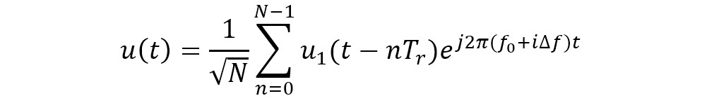
步进频率(跳频)脉冲信号可表示为

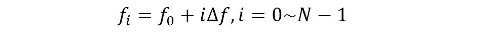
其中 为子脉冲包络; 为子脉冲宽度, 为脉冲重复周期; 为子脉冲个数;步进频率信号的第 个子脉冲的载频是

是一个固定频率,且频率步进量 ,这种波形的时宽带宽积为

下图所示为步进频率信号的频率随时间的变化规律

模糊函数
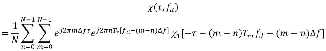
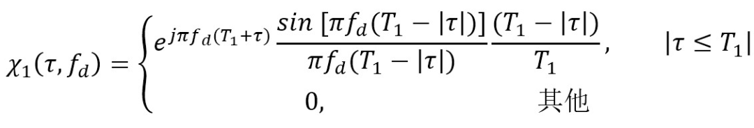
将信号的复包络代入模糊函数的定义式中,经简化得到步进频率信号的模糊函数为

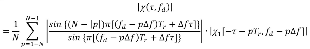
取 ,进一步化简上式,可得步进频率脉冲信号的模糊函数为

其中

为子脉冲的负型模糊函数。
在实际应用中,目标回波的时延 ,即 目标位于雷达的不模糊探测距离内 。为考察信号的高分辨性能,更关心的是中心模糊带特别是模糊图中心主瓣的形状。
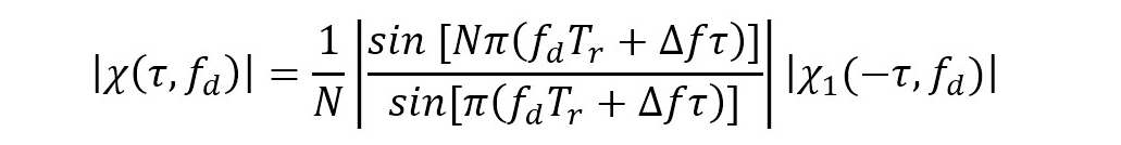
令上式中的 ,即可得到步进频率信号模糊函数中心模糊带的表达式

步进频率信号的模糊函数主瓣类似 线性调频信号 ,为“ 斜刀刃 ”形,因而存在距离—多普勒耦合 现象 。
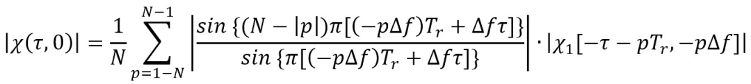
令步进频率信号模糊函数式中 ,信号的距离模糊函数为

当 时,其主瓣为

由上式可见,其 **主瓣包络似为 函数,主瓣的 宽度为 ** 。
步进频率(跳频)信号的时延分辨常数 ,信号有效相关带宽 。因此,**步进频率信号的距离分辨率取决于跳频总带宽 ** 。
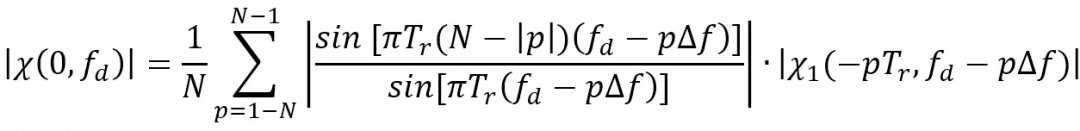
同样在步进频率信号模糊函数式中令 ,得到信号的多普勒模糊函数为

其主瓣为

由上式知,步进频率信号的多普勒名义分辨率为 ,频移分辨常数 ,信号有效相关时宽 。
步进频率信号的距离模糊函数和多普勒模糊函数如下图所示。

从上图可以看出, 步进频率脉冲信号的模糊函数存在距离—多普勒耦合现象 。为了使得模糊函数的主瓣接近于理想的“ 图钉 ”形的响应,步进频率脉冲信号 在不增加信号的发射瞬时带宽的前提下 ,通过多个脉冲的相参合成处理实现高距离分辨率(High Range resolution, HRR)。
而 接收机的瞬时带宽只需与子脉冲带宽相匹配 ,这要比线性调频信号的带宽小得多,因此,步进频率信号对雷达的 工作带宽要求相对于线性调频信号可大大降低 。但多脉冲相参合成需要脉冲之间保持严格的相位关系,这就要求雷达具有良好的相参性。
由于步进频率脉冲信号具有 很高的距离分辨率 ,因而常用于 对目标进行成像 。考虑相参积累形成一幅距离像的时间较长,为了尽量减少目标姿态变化的影响,雷达一般应工作于 高重频状态 。
下一篇:脉冲雷达信号处理概述