时间:2023-04-03 14:10
人气:
作者:admin
近年来,越来越多的人患有高血糖症。高血糖症是指患者血液中葡萄糖浓度水平高于正常值的症状,其典型指标为患者的血糖浓度在餐后2小时高于7.7 mmol/L。目前,为了实现对患者血糖水平的有效监测,相关研究已经提出了几种基于特殊干涉结构的表面等离子共振(SPR)和局域表面等离子共振(LSPR)葡萄糖传感器。但是,这些传感器在进行监测时,仍然存在葡萄糖溶液浓度与温度测量之间的串扰问题,从而影响了测量结果的准确性。此外,大多数葡萄糖传感器是点监测系统,这使得监测血糖浓度的整体分布很困难。因此,亟需开发一个有效的血糖浓度监测系统。
据麦姆斯咨询报道,近期,哈尔滨工业大学的研究人员提出了一种集成高灵敏度双参数光纤传感器的微流控芯片,用于实时监测葡萄糖溶液浓度和温度。相关研究成果以“Microfluidic Chip with Fiber-Tip Sensors for Synchronously Monitoring Concentration and Temperature of Glucose Solutions”为题发表于Sensors期刊。
集成不同形状的光纤传感器会对微流控芯片通道内的流场产生不同影响。因此,研究人员首先采用有限元法分析了光纤传感器探头形状对流场的影响。研究人员对半球罩形、矩柱形、圆柱形和锥形基底的探头进行了设计,并在一定的流速下进行了仿真分析。仿真结果显示,相比于其他类型探头,当流体流过半球罩形探头(HCSP)和锥形探头时,流场恢复速度更快。此外,采用低成本的光纤端面点胶法即可以制备出半球罩形传感器探头。因此,该研究选定半球罩形探头光纤传感器集成到微流控芯片上。

图1 (a)包括半球罩形、矩柱形、圆柱形、锥形四种探头结构在内的仿真分析示意图;(b)流场分布
该研究所制备的微流控芯片中设置了两条宽度为600 μm的通道作为葡萄糖溶液和去离子水的流入通道。该通道与中央反应池相连,以保证葡萄糖溶液和去离子水均匀混合。通过控制流速和流入时间,可以控制混合后的葡萄糖溶液浓度。此外,将多个光纤传感器探头连接到高速光纤光栅解调器上,利用相干光源可以实现葡萄糖溶液温度和浓度的实时监测。

图2 (a)微流控芯片设计示意图;(b)集成光纤的微通道横截面示意图;(c)半球罩形传感器探头(HCSP)光场干涉原理示意图

图3 (a)连接液体管道和半球罩形传感器探头(HCSP)的微流控芯片视图,右下角放大部分为半球罩形传感器探头(HCSP)视图;(b)集成半球罩形传感器探头(HCSP)的微流控芯片与解调系统示意图
为了测试该微流控芯片对葡萄糖溶液温度和浓度的检测灵敏度,研究人员将微流控芯片放置在30°C的室温下,并以1°C为梯度在不同通道中依次注入温度为32°C~37°C的去离子水。如图4a所示,HCSP-1的干涉光谱随着温度的升高逐渐向长波方向偏移。为了更详细地揭示波长位移与温度之间的关系,在各干涉光谱中选取1547 nm处的干涉倾角,并记录其在不同温度下的中心波长。
对各温度下的干涉倾角的平均中心波长进行线性拟合,结果显示,在32℃~37℃温度范围内,HCSP-1、HCSP-2和HCSP-3的温度灵敏度分别为285 pm/°C、297.1 pm/°C和314 pm/°C。此外,对微流控芯片浓度灵敏度的研究结果显示,在0.2 g/L~1.2 g/L范围内,HCSP-1、HCSP-2和HCSP-3的浓度灵敏度分别为−0.539 dB/(g/L)、−0.678 dB/(g/L)和−0.577 dB/(g/L)。

图4 (a)FP干涉反射谱的温度响应;(b)HCSP-1的温度响应;(c)HCSP-2和HCSP-3的温度响应;(d)FP干涉反射谱的浓度响应;(e)HCSP-1的浓度响应;(f)HCSP-2和HCSP-3的浓度响应
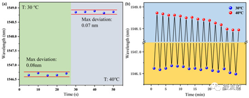
随后,研究人员对该微流控芯片的检测稳定性和重复性进行了测试。将HCSP-1置于30°C和40°C的水浴中25 min,从图5a中可以看出,HCSP-1的最大偏差(包括读数误差、拟合误差和环境变化引起的误差)为0.08 nm。总体而言,除轻微抖动外,干涉倾角稳定。因此,该微流控芯片具有良好的稳定性和重复性。

图5 (a)HCSP-1在30°C~40°C时的稳定性试验;(b)HCSP-1在30°C~40°C时的重复性试验
综上所述,该研究提出了一种集成光纤传感器的微流控芯片,可用于实时监测葡萄糖溶液温度和浓度,具有低成本、高性能的特点,有利于药物发现、病理研究和材料科学研究。
审核编辑:刘清