时间:2023-04-10 17:34
人气:
作者:admin
MEMS传感器是当今最热门的传感器种类,MEMS技术使传感器微型化、低功耗、集成化成为可能,是未来传感器技术的发展方向之一。
本文编译自传感器宝典——《现代传感器手册——原理、设计和应用》,说明了MEMS电容式传感器、MEMS触觉传感器、MEMS压电式加速度计等常见传感器的原理和构造,可选自己感兴趣的部分MEMS传感器知识阅读。
传感器技术的演进趋势,是向着超小型化或微系统技术(MST)发展。这方面的一个子系统就是MEMS(微机电系统)。MEMS器件兼具电子和机械部件,这意味着其中至少有一种可移动或可形变的部件,而电则是其运作的必需部分。
另一个子系统称为MEOMS(微光机电系统),基于微电子光学的系统。顾名思义,这种器件中至少有一个部件是光学组件。采用MEMS或MEOMS方法制造的传感器,大都是三维器件,其尺寸在微米量级。
微工程学的两大构成,是微电子学和微细加工。在硅片上制造电子电路的微电子学,已经是充分发展的技术。微细加工指的是用于制造微工程学器件的结构和运动部件的技术。
微工程学的主要目的之一,就是要能够把微电子电路集成到微机械结构之中,制造完全集成化的系统(微系统)。与微电子工业中制造的硅芯片一样,这种系统也同样具有低成本、高可靠性以及小尺寸的优点。
硅微细加工技术也是已充分开发的微细加工技术之一,因此硅成为用于微系统制造的最佳材料。硅材料有着十分有用的电特性和机械特性。利用这些特性,通过MEMS加工技术,硅材料可广泛用于诸如压力、温度、力及触觉传感器等器件的制造。
利用在电子电路芯片的制造中已经充分完善的同样方法,薄膜和光刻制备工艺等,能够实现各种各样极其微小和极高精度的机械结构。这些大批量制造技术可用于制造复杂和微型的机械部件,这是用其它方法难以做到的。
本文编译自《现代传感器手册——原理、设计和应用》(第四版,2010年;作者:雅各布•弗瑞登)一书。所谓手册者,即在偏重于实用和参考价值。希望通过本文,可以对如何在具体的细节上设计和制造MEMS类传感器产品窥知一二,进而启迪思维,促进创新。
1. MEMS电容式传感器的一般构造
电容式位移传感器具有十分广泛的应用,它们直接用于测量位移和位置,也用于能够产生位移的力、压力、温度等等传感器的构建模块。电容式探测器几乎对所有材料敏感的特性,使其成为很多应用的诱人选择。
公式(1)表明,平板电容器的电容反比于平板之间的距离。电容式测量、接近和位置传感器的工作原理,或是基于几何结构的改变(即电容器极板之间的距离),或是在导电或介电材料存在时基于电容值的变化。
电容变化时,可转换成变化的电信号。如同很多传感器一样,电容式传感器可以是单极的(仅使用一个电容器),差动的(使用两个电容器),或采用电容式电桥(使用四个电容器)。使用两个或四个电容器时,其中一个或两个电容器可以是定值的,或是反相变化的。

(1)
图 1. 平板电容式传感器的工作原理。(a)平衡位置;(b)非平衡位置
作为一个入门的例子,考虑三个面积都为A的等间距极板(图1a)。这些极板形成两个电容C1和C2。给上、下极板施加反相的正弦波信号,即信号相位偏转180°。两个电容几乎彼此相等,因而中心极板对地几乎没有电压——C1和C2上的电荷互相抵消。我们假定中心极板向下移动距离x(图1b)。这导致各电容值发生变化:

(2)
中心极板的信号与位移成比例增加,信号的相位表明中心极板移动的方向——上或下。输出信号的幅值为
(3)
只要x<,输出电压就可认为是位移的线性函数。第二个被加项表示初始电容的失配,是输出偏移的主要原因。偏移也可由极板外围部分的边缘效应以及所谓的静电力导致。这个力是作用于传感器极板的电荷相互吸引和排斥造成的,使极板表现得像个弹簧。该力的瞬时值为<>
(4)
在另一种设计中,两个独立的极板采用MEMS技术制造(图2)。极板经硅的微机械加工制成。一个极板作为位移的测量,另一个作为基准。两个极板具有几乎相同的表面积,不过测量极板由四个柔性悬挂支撑,基准极板则由硬性悬挂固定。这种特殊设计对加速度计特别有用。
图 2. 一种双极板电容式位移传感器。(a)微机械加工感应极板;(b)感应和基准极板的不同悬挂
图 3. 电容式探头。(a)带有保护环的截面图;(b)外观
在很多实际应用中,测量至导电物体的距离时,物体的表面本身可以作为电容器的极板。一种单极电容式传感器设计示于图3,其中电容器的一个极板连接至同轴电缆的中心导线,另一个极板由目标(物体)构成。
注意这个探头极板由接地护套包围,以使边缘效应最小化,改善线性度。典型的电容式探头工作在3MHz范围的频率,能够非常快地探测移动目标,因为带有内置电子接口的探头的频率响应在40kHz的范围。
电容式接近传感器用于导电物体时效率很高。传感器测量电极和物体之间的电容。然而即使是对于不导电物体,这些传感器也能相当有效地使用,尽管精确度稍差。任何物体,不管是导体或非导体,置于电极附近时,都具有其自身的介电特性,会改变电极和传感器封装之间的电容量,进而产生可测量的响应。为了改进灵敏度并减小边缘效应,可为单极电容式传感器提供有源屏蔽。有源屏蔽的目的是消除感应电极和目标物体的无关部分之间的电场,从而使寄生电容几乎不存在。有源屏蔽围绕电极的非工作侧配置,施加与电极相等的电压。因为屏蔽和电极电压同相且幅度相同,在这两者之间和所有位于屏蔽内的部件之间都没有电场存在,对操作不会有影响。有源屏蔽技术在图4中加以说明。
图4.电容式接近传感器中围绕电极的有源屏蔽
图 5. 平行板电容式电桥传感器。(a)极板排列;(b)等效电路图
现在,电容式电桥在位移传感器设计中越来越常见。一种线性电桥式电容位置传感器示于图5a。传感器由两组平面电极组件构成,平面相互平行,以恒定的间距d相邻。为增加电容,极板组之间的空间相对较小。固定极板组包括四个矩形组件,移动极板组包括两个矩形组件。所有六个组件具有大致相同的尺寸(一个边长为b,另一个边长为L)。在需要大范围的线性度时,每个极板的尺寸要在机械上实际能实现的情况下尽可能的大。固定组的四个电极在电路上交叉连接,从而形成电桥式电容回路。
电桥激发源提供正弦电压(5~50kHz),移动极板对之间的电压差由差动放大器检测,放大器输出连接至同步检波器的输入。具有固定间距的两个平行极板的电容,正比于一个极板直接面对另一极板相应区域的面积。图5b表示具有电容电桥结构的传感器的等效电路。电容器C1的值为

(5)
其它电容由同一公式导出。要注意相对的电容基本相等:C1=C3,C2=C4。处于完全对称位置的极板相互偏移,导致电桥失衡,产生差动放大器的相敏输出。电容电桥电路的优点是与任何电桥电路一样的:线性度和外部噪声的抑制。除了上述的平板电极,同样的方法可用于传感器的任何对称配置,例如探测转动。 2. MEMS电容式加速度计 加速度计需要特殊的、相对较重的部件,其移动滞后于加速度计外壳的移动,而加速度计的外壳则结合至待测物体。所以位移换能器可用来产生加速度作用形成的电信号。 这个重的部件通常称为激振质量、惯性质量或检测质量。无论传感器设计或转换技术如何,测量的最终目标是检测该质量体相对于加速度计外壳的位移。因此,任何能够在强振动或线性加速度之下测量微小运动的合适的位移换能器,都能用于加速度计。 电容式位移转换是经过了实践检验且可靠的方法之一。电容式加速度传感器基本都包含至少两个部分,首先是“固定”极板(即连接至外壳),另一个是附着在惯性质量上的极板,能够在外壳内自由移动。这些极板形成电容,其值是极板之间距离d的函数:
(6)
其中κ是介电常数。可以说此电容器的值由加速度调制。用电容式加速度计测量的最大位移很少超过20μm。因而如此小的位移需要对漂移和各种干扰进行可靠补偿。通常用差动技术实现,其中以相同结构形成一个额外的电容器。第二个电容器的值必须接近第一个的值,同时要实现180°的相移改变。于是加速度就可由两个电容器值的差来表示。图6a表示电容式加速度计的截面图,其中惯性质量夹在上盖和基座之间。质量体由四个硅弹簧支撑(图6b)。上盖板和基座板与质量体分隔的距离分别为d1和d2。所有三个部件在硅片上用微机械加工制备。图7是电容至电压转换器的简化电路图,该图在很多方面类似于图8的电路。
图 6. (a)带有差分电容的电容式加速度计的侧面截面图;(b)由四个硅弹簧支撑的惯性质量顶视图
图7.适合于在硅片上集成的电容至电压转换器电路图
图8.差动式电容至电压转换器的简化原理图(a)和时序图(b)
质量体和上盖电极之间的平行平板电容Cmc具有极板面积S1。质量体向上极板移动时,极板间距d1以数量∆减小。第二个电容Cmb具有质量体和基座之间的不同的极板面积S2。质量体向上极板移动而远离基座时,间距d2以∆增加。∆的值等于作用于质量体的机械力Fm除以硅弹簧的弹簧常数k:

(7)
严格地说,加速度计的等效电路只在静电力不影响质量体的位置时成立,也就是说处于电容与Fm线性相关的情况。加速度计作为开关电容式加法放大器的输入电容时,输出电压取决于该电容的值,因而与作用力有关
(8)
在传感器的电容发生小的变化时上式成立。加速度计的输出也是温度和电容失配的函数。建议在整个温度范围内做校准,并在信号处理过程中进行适当修正。另一个确保高稳定性的有效方法,是设计自校准系统,该系统利用的是对上盖或基座电极施加高电压时,在加速度计组件内产生的静电力。 3. MEMS压阻式加速度计 作为感应组件,压阻式加速度计由测量质量体支撑弹簧内的应力的应力计构成。应力可直接关联到质量体位移的大小和速率,因而也关联到加速度。这些装置能够在宽的频率范围内感应加速度:从接近直流到13kHz。 通过适当的设计,其可以承受高达10000g的过冲击。当然,其动态范围(量程)多少有些窄(1000g,误差小于1%)。对很多应用来说过冲击是关键指标。由分立的、经环氧树脂粘合的应力计构成的压阻式加速度计,会带有不良的输出温度系数。因为是分别制造的,应力计需要单独的热测试和参数匹配。这个麻烦在采用硅晶片的微机械加工技术的现代传感器中可从根本上消除。宽动态范围固态加速度计的一个例子示于图9。由美国恩德福克/联合信号航空航天公司研制。这个微型传感器由三层硅制造。内层或核心层包含惯性质量和弹性铰链。质量体通过铰链悬置在蚀刻出来的边框之内,铰链的每一面都有压阻式应力计。应力计探测与铰链有关的运动。 两个外层,基座和上盖,保护移动部分免受外部污损。两个外层都有凹壁,使惯性质量能够自由移动。这种传感器具有多个重要特性。其中之一是感应轴位于硅晶片的平面内,与轴垂直于晶片的很多其它设计相反。由单一硅晶体制造该传感器的所有部件,确保了机械完整性和可靠性。 沿感应轴施加加速度时,惯性质量围绕铰链转动。质量体的转动在铰链两面的一个应力计上产生压缩应力,在另一个上则产生张力。因为应力计很短,即使小的位移也会产生大的电阻变化。为调整压阻电桥的零平衡,在同一芯片内配置了五个调节电阻(图中未显示)。
图9.一种压阻式加速度计的剖视图
4. MEMS压电式加速度计
压电效应(不要把其与压阻效应混淆)天然地适用于感应振动和加速。此效应是电偶极子构成的晶体材料中机械能至电能的直接转换。这些传感器可工作于低至2Hz和高至5kHz的频率,具有良好的偏轴噪声抑制、高线性度和宽的工作温度范围(高达120℃)。
尽管石英晶体偶尔用于感应组件,但最常用的则是陶瓷压电材料,诸如钛酸钡,锆钛酸铅(PZT),偏铌酸铅(lead metaniob-ate)。把晶体夹在容器和惯性质量之间,后者的受力正比于加速度(图10)。
小型传感器内通常采用硅结构。因为硅不具有压电特性,可在微机械加工制备的硅悬臂上淀积钛酸铅薄膜,制造集成微型传感器。为获得良好的频率特性,压电信号由电荷至电压或电流至电压变换器放大,通常将变换器与压电晶体封装在一起。
图 10. 压电式加速度计的基本结构示意图。加速度使容器相对于质量体移动,质量体施加力于晶体。输出正比于加速度或振动水平。
5. MEMS热板式加速度计
因为实现加速度计的基本想法是测量惯性质量的移动,热传递的基本方程可用于这种测量。和其它任何加速度计一样,热学加速度计也有惯性质量,由薄的悬臂梁悬置在十分接近于散热器的位置,或在两个散热器之间(图11)。采用微机械加工技术制备质量体和悬臂梁结构。
这些部件之间的空间充满热传导气体。质量体由表面淀积或嵌入的加热器加热至确定的温度T1。在无加速度条件下,质量体和散热器之间建立热平衡:由质量体经过气体传导至散热器的热量q1和q2是间隔M1和M2的函数。
图 11. 热学加速度计。(a)加热部分截面图;(b)一种加速度计设计(未显示顶部)
我们假定在稳态情况下,忽略辐射和对流热传递。支撑惯性质量的悬臂梁中任意点的温度取决于其与支撑点的距离x,以及和散热器的间距。可由下式得出

(9)
其中
(10)
其中Kg和Ksi分别是气体和硅的热导率,D是悬臂梁的厚度。在散热器温度为0的边界条件下,由上方程得出梁的温度的解为
(11)
其中W和L是梁的宽度和长度,P是热功率。要测量该温度,可在梁上淀积温度传感器。可通过把硅二极管集成到梁内实现,或在梁表面形成串接的热电偶(温差电堆)。最后,测得的电信号形式的悬臂梁温度,就是对加速度的测量。热学加速度计的灵敏度(每g大约1%的输出信号变化)多少小于电容式或压阻式类型的灵敏度;不过其对环境温度或电磁场和静电噪声之类的干扰的敏感性很小。 6. MEMS加热气体式加速度计 另一种有意思的加速度计利用气体作为惯性质量。加热气体加速度计(HGA)由美新半导体公司(MEMSIC Corporation)研发。该传感器通过微机械加工在CMOS芯片上制造,是真正双轴的运动测量系统。这个装置的工作原理基于强制对流的热传递。热可由传导、对流和辐射传递。对流可以是自然的(由重力引起)或强制的(通过施加人工的外部力,比如由吹风机产生的)。 在HGA中,这种力由加速度产生。传感器测量空腔气体热传递的内部变化。传感器在功能上相当于常规的惯性质量加速度计。在此传感器中的惯性质量是具有热不均匀性的气体。气态惯性质量具有一些优于采用常规固态惯性质量的特点。最重要的优点是抗冲击能力高达50000g,使故障率大大降低。该传感器由连接密封空腔的微机械加工平板构成,空腔内充满气体。平板有蚀刻形成的凹腔(沟槽)。位于硅晶片中心的单个热源悬置于沟槽之上(图12)。四个等间距分布的温度传感器,是由串联热电偶构成的铝/多晶硅热电堆(TP)。这些TP等距置于热源的四边(双轴)。请注意TP只测量温度梯度,所以左侧和右侧的TP实际上是一个TP,其中左侧部分是“冷”结位置,右侧部分则是“热”结位置。用热电堆代替热电偶只有一个目的——增加输出电信号。另一对结用于测量沿y轴的温度梯度。
图 12. HGA传感器沿x轴的截面图。(a)加热气体围绕加热器对称分布;(b)加速度致使加热气体向右移动,产生温度梯度
图13.热学加速度计(HGA)的灵敏度与环境温度的关系
零加速度时,整个气体空腔的温度分布对称于热源,因而所有四个TP结的温度相同,使得每对都输出零电压。加热器升温至远高于周围环境的温度,通常为接近200℃。图12a示意沿其中一个轴感应温度梯度的两个热电堆结(TP)。
气体被加热后,靠近加热器的地方最热,接近左和右温度传感器(热电堆结)处的温度迅速下降。没有力作用于气体时,温度在加热器周围以圆拱形对称分布,左侧TP的温度T1等于右侧TP的温度T2。任何方向的加速度会扰乱这种温度分布,由于对流热传递,导致温度出现非对称分布。
图12b表示施加沿箭头方向的加速度a。受加速力的影响,热的气态分子向右侧TP移动,向其传递其中包含的一部分热能。相对TP结的温度就会出现差异,即T1,因而电压输出也会出现差异。<>温度差∆T以及由此产生的热电堆输出端电压都正比于加速度。此装置上有两个相同的加速度信号途径,一个是测量x轴的加速度,一个是测量y轴的加速度。 HGA能够以低于±1.0g到超过±100g的满量程范围来测量加速度。它可以测量动态加速度(比如振动)和静态加速度(比如重力)。芯片的模拟输出电压能以绝对值和比率模式获得。绝对值输出电压与电源电压无关,而比率输出电压与电源电压成正比。其典型的本底噪声低于1mg/Hz,能够在很低频率下测量亚毫克信号。其频率响应或测量快速变化的加速度的能力由设计确定。典型情况下,-3dB滚降发生在大于30Hz时,但可由补偿扩展至超过160Hz。 需要注意的是,对于HGA传感器,输出灵敏度随环境温度而变化。灵敏度的改变示于图13。为了对这个变化进行补偿,嵌入式温度传感器(RTD)或晶片上的硅结可作为温度补偿传感器。 7.单片式硅陀螺仪 虽然机械转子式陀螺仪在很多年里都是仅有的可用选择,但正是其工作原理,使其不适合于设计很多现代应用中需要的小型单体集成式传感器。常规的机械转子式陀螺仪包括诸如平衡环、支撑轴承、电机和转子等部件,这些部件需要精密加工和组装;这些结构特性限制了常规机械陀螺仪向低成本装置的发展。 运行期间电机和轴承的磨损,意味着这种陀螺仪只能在有限数量的运行时间内满足其性能指标。如今已经开发出了其它用于感应方向和速度的方法。通常GPS会是理想选择。然而在诸如太空、水下、隧道内、建筑物里,或尺寸和成本至关重要时,GPS就毫无用处了。
MEMS微机械加工技术的应用,能够设计出用振动组件代替旋转盘的微型陀螺仪。这种设计利用了电子工业开发出来的技术,十分适合于大规模制造。此外,振动陀螺仪更具有鲁棒性,能够承受众多军事和航空航天应用的典型环境特点。 所有振动陀螺仪都依赖于科里奥利加速度现象。科里奥利效应是一种惯性力,是十九世纪法国工程师兼数学家古斯塔夫-加斯帕尔·科里奥利于1835年阐述的。科里奥利指出,如果把物体运动的一般牛顿定律用于旋转参照系,一种惯性力——对于逆时针旋转的参照系,该力向物体运动方向的右侧作用,顺时针旋转则向左侧作用——必须包括在运动方程之中。 物体在参照系中做直线运动,参照系则围绕垂直于运动直线的轴旋转,此时即出现物体的科里奥利加速度。此时产生的正比于转动速度的加速度,出现在垂直于包含其它两轴的平面的第三轴(图15a)。在微机械加工陀螺仪中,旋转由振动替代,产生能够测量的、与运动速度有关的加速度。取代传统机械转子式陀螺仪中按圆形轨迹旋转的质量体的,是能够悬置并且以简谐运动做直线移动的质量体。 构建振动陀螺仪有几个实用方法,不过所有这些方法都能归类至下列三个原理类型: 1. 简单振荡器(弦、梁上的质量体) 2. 平衡振荡器(音叉式) 3. 壳体谐振器(酒杯式,圆柱状,圆环) 所有三个类别都已应用于实际设计。
图14.振动速率式陀螺仪概念图
首次出现的此类装置之一,是由扭转屈曲部分支撑的双平衡架结构(图14)。平衡架由底切形成,在有效区域内自由运动。工作时,通过相距很近的电极产生的静电扭矩,以恒定幅度驱动起到“马达”作用的外平衡架。这种振动沿内部扭转屈曲的刚性轴传递至内平衡架,使惯性组件建立起振荡动量矢量。在垂直于装置平面存在旋转角速度时,科里奥利力将引起内平衡架围绕其弱轴发生振动,振动的频率等于驱动频率,振动的幅度正比于惯性输入速率。
以内平衡架的谐振频率驱动外平衡架时,得到最大分辨率。输出运动的读出,通过确定内平衡架和一对电极之间的电容值的不同变化来实现。开环工作时,内平衡架围绕输出轴的角位移正比于输入速率。即输出角Q正比于惯性比例项、驱动角ϕ0、力学特性Q和输入速率Ω。反比于驱动频率ωn。

(12)
在实际应用中,装置以闭环工作,内平衡架在相位和正交分量上都会重新平衡至零。 新近的一种也属于第三类别的设计,由英国宇航系统公司与其合作者住友精密工业有限公司研发。 此设计基于在硅中经微机械加工制备的环形谐振器。硅具有出色的机械特性,特别是在晶体状态时,硅具有7GPa的断裂容限,高于绝大多数钢材。再加上其2330kg/m3的低密度,就成为以自身重量而言十分坚固的材料。 陀螺仪谐振器由晶体硅材料蚀刻而成。这可确保谐振器的性能在使用期限和环境内保持稳定。平面振动环结构在一个平面内就具有全部的振动能量。由此,在角速度下,不存在由一个晶面至另一个的耦合振动,所以振动参量相对于温度十分稳定。
图 15. (a)科里奥利加速度;(b)微机械加工制备的振动环结构;(c~f)加速度对环的振动模式的影响
为了使谐振器正确运作,必须以使其尽可能自由振动的方式进行支撑。感应组件示于图15b。谐振器包含一个6mm的硅环,由八个放射状分布的柔性轮辐支架支撑,轮辐支架固定在10×10mm的支撑框架上。带电导体只在上表面淀积和图形化制备,用于导线键合的引脚位于外支撑框架。
芯片经阳极化键合至与硅热匹配的支撑玻璃结构。有八个完全相同的导电回路,每个遵循的路径为:连线引脚-沿支架的长度-绕过环的1/8部分-沿下一个支架的长度-下一个连线引脚。这样每个支架包含两条导线,各在相邻回路,此外还有位于前两条导线之间的第三条导线,用于使电容耦合最小化。谐振器可由任何合适的换能器激发进入振动。例如借助于光、热膨胀、压电、静电或电磁等各种效应都能起作用。激发作用可加至携带谐振器的支撑结构,或直接加至谐振器本身。其基本振动模式在14.5kHz。
图15c~f表示直线加速度和角加速度对谐振器的影响。图15c表示无加速度条件下的侧视图,图15d表示z轴直线加速度的影响,图15e表示围绕y轴的角加速度的影响,图15f表示围绕x轴的角加速度的影响。因为环的位置相对于框架发生改变,所需要的就是与位移相结合的检测变换器,以探测谐振器的特定移动。举例来说,对谐振器振动的感应可由工作于电磁式、电容式、光学式、压电式的变换器实现,或利用应力计实现。这里介绍的这个特殊设计中,利用了带有磁场的图形化制备的导电回路实现的电磁式拾波,该磁场垂直于环的平面。由钐钴磁铁产生磁场,整个结构则封装在标准的IC圆形密封金属壳内。
8. MEMS触觉传感器
微型触觉传感器是机器人领域特别急需的产品,该领域需要好的空间分辨率、高灵敏度和宽的动态范围。硅的塑性形变特性可用于制造具有力学回滞的阈值式触觉传感器。在一种设计中,利用了经晶片键合形成的密闭空腔中封存气体的膨胀,使在空腔上键合形成球状盖子的薄硅膜发生塑性形变。图16所示的结构由硅晶片的微机械加工技术制造。在常规室温和高于临界力时,上电极会向下弯曲,与下电极接触。
图16.微机械加工制造的带有俘获气体的硅阈值开关
试验已表明,这种开关在接近13psi压力的闭合动作时具有大约2psi的回滞。开关的闭合电阻为10kΩ量级,对于超低功耗电路通常已足够低了。
图17.真空二极管式力传感器原理图
另一种设计中,微型空腔内是真空而不是压缩气体。示于图17的这种传感器具有硅真空结构,带有冷场发射阴极和可动的隔膜阳极。阴极是一个尖锐的硅尖端。在尖端和阳极之间施加正电势时,其间产生电场,如果电场强度超过5×107V/cm,电子可经隧穿从阴极内部到达真空中。尖端的场强和电子发射的数量(发射电流)由阳极电势控制。施加外力时,阳极向下弯曲,因而改变电场和发射电流。
发射电流可通过阳极电压V由下式表示

(13)
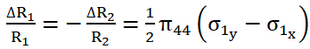
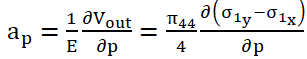
其中a和b是常数,β是尖端的几何因子,取决于阳极和阴极之间的距离。要获得较好的灵敏度,可把尖端做成具有大约0.02μm的曲率半径。 9.MEMS压阻式压力传感器 要制造压力传感器,需要有两个基本部件。它们是已知面积为A的平板(膜),和对施加的力F作出响应的探测器。这两种部件都可由硅制造。硅膜压力传感器包括作为弹性材料的薄硅膜,和经由杂质扩散进膜制成的压阻测量电阻。多亏了单晶硅的杰出弹性特性,即使在强的静态压力下,也几乎不会有蠕变和迟滞发生。硅的应变系数比薄金属导体大很多倍。通常把应变测量电阻做成惠斯登电桥连接。这种电路的满量程输出在几百毫伏量级;因而需要信号调节器把输出转换成可接受的规格。另外硅电阻表现出很强的温度敏感性,所以需要或者把压阻做成带温度补偿的,或者信号调节电路包含温度补偿部分。 施加压力至具有初始电阻R的半导体电阻时,压阻效应导致电阻值的变化∆R:
(14)
其中π1和πt分别是纵向和横向的压阻系数。纵向和横向的应力表示为σ1和σt。π系数取决于电阻在硅晶体上的走向。因此,对于如图18所示的在具有(100)晶面的n型硅的边缘或方形膜上,沿<110>晶向制备的p型扩散电阻,该系数可近似表示为
(15)
图18.压电电阻在硅膜上的位置
电阻率的变化正比于作用应力,因而也正比于外加压力。膜上的电阻制备的方式使其具有相反极性的纵向和横向系数,因而电阻以相反的方向变化:

(16)
把R1和R2接入半桥电路并用E激发电桥时,输出电压为
(17)
由此,取偏导数可得出压力灵敏度ap和电路的温度灵敏度bT:
(18)

(19)
因为∂π44/∂T是负值,所以灵敏度的温度系数是负的,即温度升高时灵敏度下降。 能够用于硅压力传感器加工的制造方法有几种。其中一个方法采用的初始材料是(100)晶面的n型硅衬底。采用硼离子注入制备表面杂质浓度为3×1018cm-3的压电电阻。其中之一(R1)平行于膜的<110>晶向,另一个则垂直。其它外围部件,比如用于温度补偿的电阻和pn结,也在与压电电阻相同的注入工序中制备。这些部件位于围绕膜的厚的边缘区域。因而它们对施加于膜的压力不敏感。
图19.摩托罗拉MPX压力传感器的无补偿压阻组件的基本结构
图19所示的摩托罗拉MPX压力传感器芯片采用了另一种应力感应的方法。构成应力测量的压电电阻在薄硅膜上采用离子注入制备。激发电流纵向通过电阻的1和3引脚,使膜承受应力的压力以与电流路径成直角的方向施加。应力在电阻内形成横向电场,在2和4引脚处感应为电压。这种单组件横向电压应力测量可看成是霍尔效应器件的机械模拟。采用单组件,避免了需要严密匹配构成惠斯登电桥设计的四个应力和温度敏感电阻的麻烦。同时也极大地简化了完成校准和温度补偿所需的附加电路。不过单组件应力测量在电特性上可类比于电桥电路。其平衡(偏移)不取决于电阻的匹配,如常规电桥的情况,而是取决于横向电压引脚对齐的程度。
可用常用的硅蚀刻剂之一制备具有1mm2面积尺寸的薄膜片,例如联氨水溶液(N2H4×H2O)各向异性蚀刻剂。SiO2或Si3N4层作为蚀刻掩膜和晶片底面的保护层。在90℃的回流溶液中其蚀刻速率为1.7μm/min。最终得到的膜片厚度为30μm。膜片制备的另一种方法基于硅熔融键合(SFB),其中单晶硅片能够在不需要过渡层的情况下以近乎完美的界面可靠键合。这种技术能够用于制造很小的传感器,可用于医学活体检测的导管尖端探测器。其总的芯片面积可以做到常规硅膜片压力传感器的八分之一。这种传感器包括两部分——底部晶片和上部晶片(图20a)。底部约束晶片(衬底)首先经各向异性蚀刻出所需膜片尺寸的方孔。底部晶片的厚度大约0.5mm,膜片的边长为250μm,所以各向异性蚀刻形成的金字塔形凹坑的深度约为175μm。下一步是与由带有n型外延层的p型衬底构成的上部晶片经SFB键合。外延层厚度对应于所需膜片的最终厚度。然后通过受控蚀刻工序去除上部晶片的本体,留下键合的单晶硅层,形成传感器的膜片。下一步经离子注入形成电阻,经蚀刻形成连线。在最后的步骤中,把约束晶片背面经研磨和抛光至器件所需的厚度,约为140μm。尽管SFB芯片的尺寸是常规芯片的大约一半大,但它们的压力灵敏度是完全相同的。常规和SFB技术的比较如图20b所示。在相同膜片尺寸和相同芯片总厚度下,SFB器件要小大约50%。
图 20. (a)硅熔融键合方法的硅膜制备工序;(b)SFB芯片尺寸与常规制备膜片的比较
在很多传感器中,压阻式传感器的膜片(薄膜)通常很薄,在1μm的量级;因而其机械特性是最大施加压力的限制因素。在压力很高的应用中,硅膜要直接承受这样的压力显然过于脆弱。所以需要采用过渡压力板使施加于硅膜的压力等比例减小。例如汽车制造业用于测量内燃机引擎的压力的情况,其温度达2000℃,压力会超过200巴,这时要使用与减压板封装在一起的特殊传感器。这种封装可以按比例较小压力,并保护芯片不受恶劣环境影响。图21示意一种封装,其中带有微机械加工硅膜的压力感应芯片置于钢板上部。高压使承载硅凸台的钢板中心部分发生相对较小位移的弯曲。凸台经机械耦合至硅膜,使其向上弯曲,导致压电电阻电桥失衡。
图21.用于测量高压的位于钢壳内的压阻芯片
图22.绝对值(a)和差值(b)压力传感器封装
通常可用三种基本结构制造压力传感器,分别能够测量绝对值、差值和表压值。绝对压力,比如大气压,以真空腔为参照进行测量。真空腔可以是外部的,也可以直接做在传感器中(图22a)。压差,比如压差式流量计中的压力下降,通过同时在膜的反面施加压力来进行测量。表压则是相对于某种参考压力进行测量。一个例子是ABP(arterial blood pressure,动脉血压)测量,是相对于大气压力进行的测量。因而表压是压差的特例。对三种方式来说膜和应力测量设计是一样的,使它们不同的是封装。例如,要制造压差或表压传感器,把硅芯片模块置于腔室内,腔室在模块的两侧有两个开孔(图22b)。为了保护部件免受恶劣环境影响,外壳内充满硅凝胶,其与焊线和模块表面绝缘,但压力信号能够耦合至硅膜。差值传感器可结合于各种承载支撑结构中(图23)。某些应用,诸如热水锤、腐蚀性流体和称重元件,需要进行物理隔离,并以液压耦合至芯片载体的封装。这可通过如图23中示例的附加膜、板和波纹管实现。不论何种情况,都可在空气腔室中注入硅油,比如道康宁DS200,从而使系统的频率响应不会变差。
图23.压力传感器封装的例子
图 24. 压阻式压力传感器的温度特性。(a)三个不同温度的传递函数;(b)三种补偿电阻数值的满量程误差
所有硅基传感器都具有温度相关特性。由公式(19)定义的温度灵敏度系数bT通常是负值,为了精确的压力感应,必须对其进行补偿。没有补偿时,传感器的输出电压是如图24a所示的三个不同温度下的情形。
很多应用中,可通过给传感器增加一个串联或并联的温度稳定电阻,实现简单但有效的温度补偿。经由选择合适的电阻值,传感器的输出能够调整到所需的工作范围(图24b)。当需要在较宽范围达到更好的温度修正时,可利用带有温度探测器的更为复杂的补偿电路。一个可行的选项是软件补偿,其中压力变换器的温度由嵌入式温度传感器测量。压力和温度传感器两者的数据转发至处理电路,用数字计算的方式实现数值补偿。不过最佳方案仍然是在传感器中设计温度补偿硅桥。
10.压力梯度技术用于流量传感器
流体力学中的一个基本公式是伯努利方程。伯努利原理以荷兰-瑞士数学家丹尼尔·伯努利的名字命名,他在1738年出版的著作《流体动力学》中阐明了他的理论。伯努利方程只在无粘性、不可压缩媒质的静态流动情况下完全成立

(20)
其中p是流管中的压力,g=9.80665m/s2是重力常数,ρ是流体密度,y是位移媒质的高度。伯努利方程使我们能通过测量流动方向的压力来确定流体速度va。
图 25. 两种类型的流阻:窄通道(a)和多孔塞(b)
流量测量的压力梯度技术的基本要求是引入流阻。测量已知流阻器形成的压力梯度即能够计算出流速。这个概念类似于欧姆定律:定值电阻两端的电压(压力)正比于电流(流量)。实际应用中,形成流动阻力的扼流组件是孔、多孔塞和文丘里管(锥状管)。图25表示两种类型的流阻。第一种类型是通道中的狭窄部分,另一种类型是一定程度上限制媒质流动的多孔塞。压差传感器置于流阻器两端。移动质量进入较高阻力区时,其速度的增加正比于阻力的增加:

(21)
假定两个压力的测量在同一高度(y=0)进行,通常都是这种情况。由伯努利方程得出压差为
(22)
其中k是校正系数,之所以需要这个系数,是因为压力p2的实际值稍微低于理论值。由公式(22)可计算出平均速率为
(23)
要确定单位时间的质量流速,对于不可压缩媒质,公式(23)简化为
(24)
其中ξ是标度系数,由校准确定。因为ξ值在不同温度下可能不同,校准要在指定的液体或气体下在整个工作温度范围进行。由上可知,压力梯度传感器的基本架构是或者采用一个压差传感器,或者采用两个绝对值压力传感器。如果需要输出信号的线性表示,必须求解平方根。求根计算可由微处理器采用常规计算技术之一完成。压力梯度方法的优点是没有移动部件和使用现成的标准压力传感器。缺点是阻力装置限制了流动。
图26.采用电容式压力传感器的气体微流量传感器结构
利用电容式压力传感器可构成如图26所示的微流量传感器。这种传感器的工作原理基于压力梯度技术。传感器的制造采用硅微机械加工技术和浓硼自停止腐蚀技术形成其结构。气体以压力p1经由进口进入传感器的外罩内,在硅平板周围建立起相同的压力,包括蚀刻膜的外侧。气流通过具有相对较高压阻的狭窄通道进入微传感器的腔室。因此腔室内的压力p2低于p1,从而产生膜两侧的压差。所以就可由公式(23)计算出流速。压差导致膜的偏移,由电容式压力传感器进行测定。带有应力补偿的、悬置于金属板上方的p2+硼掺杂硅薄膜形成电容Cx。压差改变金属板和硅结构之间的电容Cx,其分辨率在最高压力大约4托时为1毫托/1fF。此传感器的总体分辨率接近14~15位,压力测量的精度约为9~10位。在接近满量程压差的两倍时,膜接触到金属板,因而需要有介电层防止电气短路,衬底玻璃板则用于防止膜破裂。采用标准的CMOS技术,可把电容测量电路(见图8)集成到硅平板中。 11.热传输式微流量传感器 在诸如精密半导体制造、化学和制药工业以及生物医学工程等的过程控制应用中,越来越频繁地用到微型化的气流传感器。其中大多数工作于热传输的方式,并采用MEMS加工技术由硅晶体制造。许多微流量传感器采用温差电堆作为温度传感器。
图27.微机械加工制造的气流传感器
微流量传感器的一种悬臂式设计示于图27中。悬臂的厚度可以低至2μm。悬臂做成了夹心形式,包括场氧化层、CVD氧化物层和氮化层。通过给嵌入式电阻施加电功率,以26K/mW的速率加热悬臂式传感器,这种流量传感器的典型传递函数具有大约4mV(/m/s)的负斜率。
从传感器带走热量的方式有三种:通过悬臂的传导Lb,气流h(v),以及热辐射,满足斯忒藩-玻耳兹曼定律:

(25)
其中σ是斯忒藩-玻耳兹曼常数,a是由悬臂向气体发生热传输的面积,v是气体速率。根据能量和粒子守恒原理,我们导出满足传感器表面附近气流温度分布T(x,y)的一般性热传输方程
y>0
(26)
其中n是气体密度,cp是分子气体容积,kg是气体的热导率。在远离表面时不存在温度梯度的边界条件下,可得出上方程的解为
(27)其中V是输入电压,B是常数,μ=Lvcncp/2πKg,L是气体传感器的接触长度。此解与试验数据吻合得相当好。
图28.(a)采用自加热钛电阻传感器设计的气体微流量传感器;(b)接口电路。Ru和Rd分别是上游和下游加热器的阻值
另一种热传输微型传感器的设计示于图28a,其中具有0.1μm厚度的钛膜制成温度传感器兼加热器。膜夹在两个SiO2层之间。之所以用钛是因为其高的电阻温度系数(TCR)和与SiO2的极好的附着性。两个微加热器由相互距离20μm的四个硅梁悬置。钛膜的阻值大约为2kΩ。图28b表示用于这种传感器的接口电路图,其流量与输出电压的变化∆V之间呈现几乎线性的关系。
12. MEMS热电堆式光传感器
热电堆属于PIR(passive-infrared,被动红外)探测器类别。其工作原理与热电偶相同。单个的热电偶是低灵敏度器件,每1℃变化的响应为数十微伏。对于热辐射传感器,感应组件暴露于物体时的温度变化很小——低至0.001℃。因而需要更大的传感器响应。这可由增加热电偶的数量使其成为热电堆(堆垛)来实现。热电堆是一串串联相接的热电偶,通常为50~100个结点。在恰当的连接和使用时,这种热电偶串可使信号增强50~100倍。起初它是焦耳为增加热电传感器的输出信号而发明出来的。他把几个热电偶串接在一起,把“热”结点热合连接在一起。如今的热电堆具有不同的结构。其主要应用是中和远红外频谱范围的光的热探测。
图29.(a)用于探测热辐射的热电堆的等效结构图,其上有嵌入的基准温度传感器,x和y是不同材料;(b)微机械加工制备的热电堆传感器。注意半导体基准温度传感器位于淀积冷结的硅框架上,吸收涂层则在膜中心的热结上;(c)采用TO-5封装的传感器外观
热电堆的等效结构图示于图29a。该传感器包括具有相对较大热质量的框架,“冷”结位于其上。该框架可以与基准温度传感器热耦合,或附着于具有精确已知温度的恒温器。框架支撑着薄膜,由于几何结构的原因薄膜的热容很小。受到热辐射时,很小的热容会产生较大的温度增加。膜的表面承载热电偶的“热”结。“热”和“冷”的说法是传统热电偶术语的残余,用在这里是有条件的,因为这些结实际上不会真的冷或热。
红外光被膜吸收或由膜发射,作为反应,膜的温度发生变化。因为膜承载着“热”结,相对于框架上的“冷”结的温度差导致温差电压。膜温度的增加取决于热容、至框架的热导率和红外光的强度。热电堆的优良性能以高灵敏度和低噪声为特点,这可通过采用具有高热电系数a、低热导率和低的体电阻率的结材料来实现。此外,“热”结和“冷”结对需要有相反符号的热电系数。由此确定了材料的选择。遗憾的是,大多数具有低电阻率的金属(金、铜和银)的热电系数很差。电阻率较高的金属(特别是铋和锑)具有高的热电系数,常用来设计热电堆。把硒和碲掺杂于这些材料中,热电系数可得到高至230μVK-1的改善,最初的热电堆就是用这些金属创建的。 构建金属结热电堆的方法或许在某种程度上有所不同,但都是把真空淀积技术和蒸发掩膜相结合应用于类似铋和锑这样的热电材料。针对特定的设计,结的数量在20至数百之间变化。“热”结通常涂覆热辐射吸收体。例如可以做黑化处理,如利用镍铬合金(80%镍和20%铬的合金具有大于0.80的发射率/吸收率)、金黑材料或有机涂料,以改善其对红外辐射的吸收率。 热电堆是直流器件,其输出电压几乎线性地随“热”结的温度而变化。热电堆可模型化为与固定电阻相串联的由热通量控制的电压源。传感器密封在带有诸如硅、锗或硒化锌构成的硬质红外透明窗的金属壳内(图29c)。其输出电压Vs几乎与入射辐射成正比。热电堆工作的频率限制主要由膜的热容和热导率确定,体现为热时间常数。这种传感器具有相当低的噪声,等同于传感器的20~100kΩ的等效电阻的热噪声。金属类热电堆传感器的典型参数列于表1。 表1 热电堆的典型参数
热电堆传感器的输出信号取决于热辐射源与感应表面之间的温度梯度。因此热电堆的传递函数是三维面类型的,其形状由斯忒藩-玻耳兹曼定律确定。
如今铋和锑被硅热电堆取代了。这类热电堆更为有效和可靠。晶体硅和多晶硅的热电系数很大,体电阻则相对较低。采用硅的优点在于能够利用常规的IC工艺,这可使成本显著降低。电阻率和热电系数可通过掺杂浓度进行调节。不过电阻率增加得很快,要获得高灵敏度-低噪声比,必须精心优化掺杂浓度。
图29b为采用MEMS加工技术制造的半导体热电堆传感器。硅衬底的中心部分用各向异性蚀刻方法从背面去除,留下仅有1μm厚的、具有低热导率的、上部为SiO2-Si3N4的薄夹层(膜)。在膜上淀积两种不同热电材料(多晶硅和铝)的薄导体。由此能够制造出灵敏度的温度系数可忽略的传感器,在工作于宽范围的环境温度时这是一个重要因素。
IR感应技术的现代趋势是把热电堆传感器与放大器、A/D转换器和其它处理电路集成在一起。比利时一家公司迈来芯(Melexis)开发的一种全IR温度计MLX90615,采用微型TO-46管壳封装,包含了热电堆和数据处理ASIC芯片(图30)。计算物体的表面温度需要用到环境温度传感器。来自热电堆的小的输出信号送至具有小到0.5μV偏移电压的精密放大器。数字信号处理器(DSP)输出所测定的温度或提供来自传感器的单独输出。
图30.带有热电堆的集成IR温度计框图
图 31(a)热电堆热成像传感器;(b)成像模块;(c)热影像实例
可以这样说,上述的热电堆是单像素热辐射传感器。进而可设计出具有多个热电堆像素点的传感器,用于同时探测来自多个热源的热辐射,或用于热成像。这种传感器的一个例子示于图31,其中热电堆像素以32×31矩阵排列。每个像素点的结的数量是80,热电结材料是n-多晶硅/p-多晶硅。像素点的尺寸为150μm,相互间距为220μm。德国海曼传感器公司的感应模块HTPA32x31带有嵌入式前置放大器、多路转接器和A/D转换器。该模块的优点是不需要低温冷却,可工作于宽的环境温度范围。
来源:电子工程专辑,传感器专家网