时间:2023-04-07 11:22
人气:
作者:admin
任何光电探测器在一定的强光照射下都会出现响应信号偏离线性比例的现象,称之为饱和现象。通常情况下,饱和现象出现在较高的光照强度下,因此对于追求高灵敏探测的探测器研究人员来讲,对饱和情况出现机理的研究关心较少。然而在一些强光测量的领域,饱和问题会干扰测量工作。因此提高探测器饱和阈值是这类应用的一种需求。关于激光与探测器相互作用研究表明,光电探测器在激光辐照足够强时,会出现光饱和、热效应、热损伤及热应力产生的力学损伤等现象。
通常来说,对于不同的激光、不同的探测器材料、不同的探测器结构,都会有不同的饱和、输出异常、眩光、损伤、破坏机制以及与这些机制对应的辐照功率范围。对于关注器件饱和阈值的研究工作而言,拓展器件的线性响应范围,使其工作在大功率激光辐照下是器件的研制目标。因此,研究光电探测器在激光辐照下产生饱和的机理,可以针对性地调整材料的组成、探测器结构,对提高器件的饱和阈值,扩大探测器的激光测量使用范围,是有现实意义的。
据麦姆斯咨询报道,近期,中国科学院上海技术物理研究所、西北核技术研究所和中国科学院大学的联合科研团队在《红外与毫米波学报》期刊上发表了以“中波红外碲镉汞室温探测器激光辐照饱和特性的仿真”为主题的文章。该文章第一作者和通讯作者为李向阳研究员,主要从事窄禁带半导体红外探测器和宽禁带半导体紫外探测器等方面的研究工作。
本文针对室温工作的光伏型碲镉汞中波红外探测器激光辐照饱和特性进行了仿真,结果表明,中红外激光对碲镉汞材料的加热效应以及光照导致零偏压阻抗降低,是影响探测器输出量子效率的重要因素。
实验制备
利用液相外延的碲镉汞薄膜材料制备了室温工作的中波红外探测器,并测量了其饱和阈值。实验中采用汞空位掺杂的p型碲镉汞液相外延材料,材料的组分x为0.29,室温下p型空穴浓度约为1×10¹⁸cm⁻³,利用B⁺离子注入的方法,制备n⁺-on-p平面型探测器芯片,n⁺区电子浓度约为2×10¹⁸cm⁻³。器件的结构如图1所示。

图1 中波红外碲镉汞光伏型探测器的结构示意图
采用傅里叶变换红外光谱议(FTIR)测量了器件的响应光谱,表征了探测器光电流响应与入射波长的关系,结果如图2(a)所示。器件的伏安曲线如图2(b)所示。通过金属管壳封装,将芯片制备为单元探测器。该探测器进行了3.8 μm激光照射的饱和特性测量,测量结果如图3所示。

图2 碲镉汞光伏型探测器:(a)响应光谱,(b)伏安曲线

图3 中波红外碲镉汞光伏型探测器的激光响应曲线
根据实际测量结果可以看出,器件在1 W/cm²功率密度下基本上能够保持线性,但是到了3~4 W/cm²照度下表现出饱和特征。按照0~2 W/cm²区间的线性推导,在10 W/cm²照度下,外量子效率下降到只有原来的40%左右。
仿真结果
本文根据不同文献整理并梳理了碲镉汞计算参数模型以及光的吸收和热转换模型。
而后采用公开源代码的一维数值仿真框架,并综合考虑了所梳理的碲镉汞禁带宽度、迁移率、复合机制、光学吸收和热传导等各项参数及其与温度的关系,根据温度分布解析公式,为数值计算过程中每一个差分单元设定相应的温度,并且将光产生的产生项添加到漂移扩散方程的求解中,并将温度梯度产生的扩散项考虑进去。对器件特性进行了一维仿真计算,计算得到的室温下器件典型伏安曲线如图4所示。设置不同芯片温度计算得到暗场下器件的零偏压阻抗面积之积(R₀A)关系如图5所示。将不同衬底厚度对应的温度分布代入到仿真计算的程序中,计算得到的结果如图6所示。

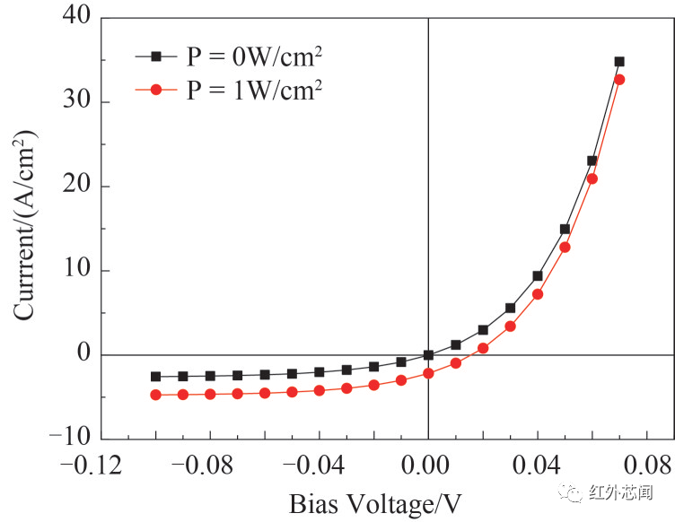
图4 中波红外碲镉汞pn结一维仿真得到的I-V曲线

图5 中波红外碲镉汞pn结R₀A随温度变化的仿真结果

图6 考虑激光照射产生温升的影响,计算得到的器件内量子效率的变化
计算结果表明,在1 W/cm²照度附近下,随着衬底厚度的增加,即温升值的增加,量子效率线性下降。当入射功率很大的时候,衬底的厚度不能过大,且必须要保证传热的良好性,因此衬底厚度最好小于100 μm。另外,即使没有考虑温升的影响,器件的量子效率也会随着CdZnTe衬底厚度的增大而降低。仿真计算中器件在光照下的R₀A特性表现如图7所示。

图7 计算得到的R₀A随照度发生变化的曲线
虽然衬底厚度不同导致的温度增加,影响了器件零偏压电阻,但是没有考虑温度效应的曲线也在光功率达到一定量级后出现了下降,呈现出饱和特性,这说明激光强烈的激发非平衡载流子,等效地导致了本征载流子浓度的增加,从而导致器件的零偏压阻抗急剧降低。
器件的零偏压电阻与电极欧姆接触等构成的等效串联阻抗共同影响外量子效率,所以制备高饱和阈值探测器时,还需要考虑设计制备相对较小的欧姆接触电阻。如果器件在室温工作,则器件的R₀A相对较小,比如100 μm×100 μm的探测器芯片结阻抗,室温下只有50~100 Ω。如果要求电极欧姆接触电阻的影响小于10%,则等效总串联电阻要小于10 Ω。根据推算,一根长3 mm直径20 μm的金丝电阻就有0.3 Ω左右。所以,在室温工作的中波红外探测器信号输出回路上,良好的导电性是研制高饱和阈值器件需要考虑的一个因素。在实测器件伏安曲线数据中,实测器件的总串联电阻高达50 Ω左右,当电流较大时,串联电阻两端产生的电压降不可忽略,这个电压反作用在pn结两端,相当于理想pn结的工作点从零偏压向正向偏压移动,因此会显著降低外量子效率,这就严重影响了大信号的输出。在上述两种机制的共同作用下,仿真计算结果显示,器件出现饱和的激光辐照功率阈值范围在1~10 W/cm²,与实验结果吻合较好。
结论
利用一维数值仿真计算了中波光伏型碲镉汞芯片的饱和阈值与温度的关系。仿真表明,探测器在激光辐照下,温升对器件电流输出饱和特性有较大影响。另外,还要关注器件在强光照射下的等效R₀A变小的问题。由于目前研制探测器串联电阻较大,在大信号输出时电阻压降问题也是器件饱和阈值限值重要因素之一。
审核编辑 :李倩