时间:2023-04-09 10:32
人气:
作者:admin
在时间尺度上,雷达信号处理发生的时间可以短到ns量级,长到几十秒或者更长,跨度可达10到12个数量级。

快时间(一个PRI)
对于单个脉冲的处理都是在最短的时间尺度上完成的,因为由脉冲的瞬时带宽决定的采样率通常都在几百MHz到几GHz的范围,对应的采样间隔的范围从几微秒到零点几纳秒,在这些样本上的信号处理操作倾向于采用与采样间隔相近的时间长度。 雷达发射脉宽为τ的脉冲信号,前沿对应t=0时刻。对于单基地雷达,通常在脉冲发射期间并不进行接收采样,也就是在脉冲发射后的τ时间内接收机是关闭的,这段时间内的脉冲回波无法被接收,因此距离小于Rmin时,目标的回波不能全部被接收,从而形成雷达盲区。

对于特定雷达的工作模式,雷达通常在R1到R2一段距离间隔中接收回波,这常被成为距离窗Rw,也叫距离测绘带。因此,采样发生在脉冲发射后的时刻t1=2R1/c,结束于t2+τ=2R2/c+τ,将产生的L个样本存储在数字存储器中,这被认为快时间采样,得到L个距离门(距离单元),复数样本的相位则是脉冲回波数据的快时间相位历程。

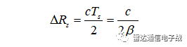
有一点需要注意的就是这里的距离单元是指距离上的采样间隔,有时与分辨单元同义使用,但并不总是等于距离分辨率。快时间采样间隔为Ts,是采样率的倒数,距离单元间隔为:

实际中,常用大于奈奎斯特采样率的速率对快时间维进行采样,一般会有20%到50%的余量。典型的快时间信号处理包括:数字I/Q信号形成、波束形成、脉冲压缩或匹配滤波、灵敏度时间控制。
慢时间(一个CPI)
脉冲体制雷达并不只发射一个脉冲,通常是发射连续的脉冲序列,例如以M个脉冲作为一组进行处理。脉冲之间的时间间隔成为脉冲重复间隔(PRI),其倒数就是我们所熟知的脉冲重复频率(PRF)。典型情况下PRI是在数十微秒到几百毫秒的数量级,所以多个脉冲的处理也采用与PRI 相近的时间尺度。 脉冲数所在的维度称为慢时间轴,采集数据需要的时间为M·PRI,通常叫做相参处理时间(CPI)。除了某些特殊情况,一个CPI内通常是固定的PRI和雷达频率,并且发射波形相同,以便进行多普勒测量。 与单个脉冲的采样率相比较,这里的采样较慢,因此称这种多脉冲的处理是在慢时间上进行的,典型的慢时间处理包括:相干和非相干积累、各种类型的多普勒处理(MTI/MTD)、合成孔径成像(SAR)和空-时自适应处理(STAP)。
多个CPI
更高层次的雷达信号处理就是在多个CPI的数据上进行的,所以时间尺度更长,通常是毫秒级到秒级,甚至十秒级。 在这个时间尺度上进行的处理包括:多重CPI检测、 解模糊技术、多视SAR成像和跟踪滤波等。一些雷达利用多个驻留的数据,在长达几秒钟甚至几分钟的时间上跟踪检测到的目标。另外,还有一些成像雷达能对特定区域进行长达数天、数月甚至数年的监视,其时间尺度达到了天、月、年的量级。 

审核编辑 :李倩