时间:2023-03-30 10:01
人气:
作者:admin
近日,天津大学精密仪器与光电子工程学院的程振洲教授与刘铁根教授课题组,设计了一种采用单波长激光检测的石墨烯-硅基微环气体传感器件,成果以“Graphene-sensitized microring gas sensor probing with a single-wavelength laser”为题,发表2023年3月29日出版的《Optics Communications》上。
硅基光子集成回路(Photonic Integrated Circuits, PICs)是一个适用于研发气体传感芯片的光电集成平台。过去研究表明,硅基光子气体传感器与传统气体传感器相比具有抗电磁干扰、在复杂环境中工作稳定性好、可与其他电子或光子器件集成应用,在环境监测、呼吸分析以及工业安全等领域展现了巨大的应用潜力。同时,作为在中红外(mid-IR)波段透明的材料,硅的低损耗窗口(1.1μm∽8 μm)包含了许多重要气体分子(例如,CO,CO2,NO2等)的特征吸收波长。
其中,微环谐振腔(Micro-Ring Resonators, MRRs)是一类广泛用于气体传感的硅基光子器件,具有体积小、鲁棒性高、灵敏度高等优点。然而,过去基于微环谐振腔的气体传感器的研究通常受到测量设备(例如,可调谐激光器和光谱仪)的限制,导致开发单片集成的传感器具有一定的挑战性。
在本项工作中,研究者们设计了一种采用单波长激光检测的石墨烯-硅基微环气体传感器件。该传感器的示意图如图1a所示。在600 nm厚的硅-蓝宝石晶圆(Silicon-on-Sapphire, SOS)上设计了半径为25μm的微环谐振腔,石墨烯通过一层氧化铝(Al2O3)的隔绝集成在硅基微环谐振腔上。4.5μm波长的单色光可以通过光栅耦合器与芯片耦合。图1b显示了石墨烯-硅基微环波导的截面图,其中,电极可以用来调控波导中的自由载流子浓度,也可以通过外加电场来调控优化石墨烯的费米能级。
根据等离子体色散效应(Plasmon Dispersion Effect),通过调控波导中的自由载流子浓度,改变波导中光的相位,引起在特定波长下微环的透射强度发生变化。同时,石墨烯对气体的吸附作用,也可以影响石墨烯的费米能级,从而改变波导中光的相位。通过数据采样拟合,得到微环透射光强与气体浓度、外加电场之间的关系。基于这一原理,可以采用单波长激光检测石墨烯-硅基微环谐振腔周围的气体浓度变化。微环俯视图和谐振波长下的电场分布图分别如图1c和图1d所示。

图1.石墨烯-硅基微环气体传感器件的示意图。(a)传感器件的三维示意图;(b)石墨烯-硅基波导截面图;(c)石墨烯-硅基微环气体传感器件的俯视图;(d)谐振波长下微环谐振腔的电场分布图。
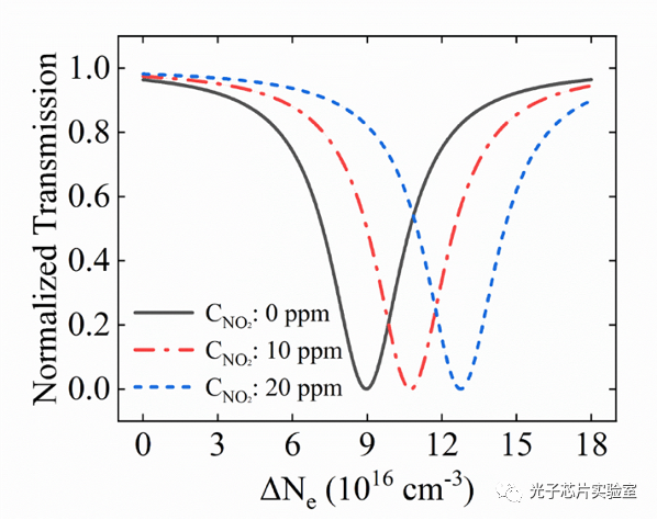
所设计的石墨烯-硅基微环气体传感器件的理论结果如图2所示。图2a为在不同NO2气体浓度下,石墨烯-硅基微环谐振腔的归一化透射率随注入载流子浓度的变化。当气体浓度分别设为10 ppm和20 ppm时,理论计算出气体的浓度分别为9 ppm和19.4 ppm,灵敏度约为1.256*10-5RIU/ppm。
可以发现,计算结果与设定值基本一致。此外,我们还讨论了Al2O3绝缘层厚度与检测限(LOD)的关系,通过将Al2O3的厚度从10 nm增加到80 nm,气体传感器件的LOD将从3.9 ppm劣化到6 ppm,测量范围则从3925 ppm增加到6040 ppm。这是由于随着绝缘层厚度的增加,光与石墨烯的相互作用减少,气体传感器的灵敏度和LOD也随之降低。

图2.不同气体浓度下,石墨烯-硅基微环谐振腔的归一化透射率随注入自由载流子浓度的变化。
审核编辑:刘清
上一篇:仿生生物嗅觉传感器研究进展
下一篇:从锂电关键工序看纠偏传感器功力