时间:2023-02-01 10:55
人气:
作者:admin
摘要:微流控芯片具有样品体积小、检测成本低、检测时间短等优点,与光学传感器、电化学传感器和微波传感器结合可以构建灵敏度高、可重复、便携的检测系统。对微流控芯片在生物传感器中的最新应用进行了综述,并介绍了各种生物传感器的特性和原理,通过生物传感器和微流控芯片集成实现了对复杂样本的快速和高灵敏度检测。对未来的发展方向进行了展望,并提出了新一代生物微流控传感器发展中存在的挑战和应对问题的策略。
01
引 言
生物传感器是一种对生物分子敏感并将生物分子与换能器结合,通过将浓度的变化转换为电信号进行检测的仪器。生物传感器的一部分由固定化的生物敏感材料作为识别元件(包括酶、抗体、抗原等生物活性物质),另一部分是适当的理化换能器(如氧电极、光敏管、场效应管等)及硬件仪器组件构成的分析工具或具有接受器与转换器功能的系统。
在医学中,为了实现对病原微生物和激素等分析物更灵敏、精确和快速的检测,一种小型化和实时的传感设备对于即时护理和其他医疗应用具有重要意义,利用微流控技术可以实现检测器件的小型化。微流控技术是一种快速发展的技术,通常将微流控装置叫做微流控芯片,也被称为芯片实验室和微全分析系统,它将多个实验室功能集成在一个芯片上,具有微型化和集成化等特征,可以对极少量流体(10-9~10-18 L)进行检测。微流体技术具有体积小、分析速度快、自动完成样品分析全过程和集成规模越来越大的特点,为开发低成本、紧凑、一次性检测仪器提供了很大的可能性。由于微流体涉及的样品体积小,将检测器与微流体芯片封装在一起用于分析检测仍然具有挑战性,目前迫切需要开发针对不同目标分析物的高灵敏度生物传感器。许多有效的检测技术已经在微流控器件中得到应用,包括电化学方法、机械方法和光学方法。然而,它们有一些固有的弱点,如在液体环境中灵敏度低和使用光学生物标记物等,这会破坏生物样品。相反,微波技术具有无接触、无损、高灵敏度和快速传感能力,是一个突出的候选技术。与微流体芯片封装在一起的先进微波生物传感器表现出设备小型化、非侵入性和操作简单等明显优势。
根据传感器分类,基于微流控芯片的传感器主要有光学传感器、电化学传感器和射频传感器3类。光学传感器根据检测方法的不同,分为荧光检测、光谱检测和比色分析3类;电化学传感器根据微流控芯片制作材质的不同,分为聚二甲基硅氧烷(Polydimethylsiloxane, PDMS)和纸基2类;而射频传感器根据应用场景不同,分为生物细胞监测、溶液浓度检测和生物小分子检测3类。
本文综述了微流控芯片在生物传感器中应用的最新进展,详细介绍了光学生物传感器、电化学生物传感器和基于微流控芯片的射频生物传感器的特性和原理,对未来的发展方向进行了展望,并提出了新一代生物微流控传感器发展中存在的挑战和应对问题的策略。
02
光学生物传感器
2.1 荧光检测法
基于荧光检测的微流控芯片利用目标分子和荧光染料(荧光团)之间的相互作用或对具有荧光效应的物质直接进行检测。荧光检测过程包括3个阶段,即激发、激发态寿命和荧光发射。传感过程使用适当波长的光源来诱导荧光团发光,产生的光被过滤后将发射光子与激光光子隔离,然后测量发射光子的强度并将其用作目标分析物浓度的指标。
基于纸基微流控芯片的光学生物传感器由纸基微流控芯片和迷你盒检测系统组成,用于甲醛浓度检测。图1(a)为纸基微流控芯片的制作步骤示意图,设计之后通过蜡印打印机进行打印,再加热使之变为疏水性,然后加热滤纸使石蜡融化,实现疏水通道在滤纸上的联通,最后反面使用蜡重新打印,以防止样品泄露。将乙酰乙酰苯胺指示剂植入纸基微流控的反应区,再将甲醛样品滴在反应区,二者会引发Hantzsch反应,然后使用光诱导荧光技术评估甲醛浓度。图1(b)显示的是使用0~8×10-6浓度范围内的甲醛样品进行检测的荧光图像,实验数据如图1(c)所示。结果表明,甲醛浓度(Y)和荧光强度(X)呈现指数相关,相关系数R2为0.9987。通过测量11个食品样品中的甲醛浓度,证明了所提出的基于微流控芯片的光学传感器系统在实际生活中可以用来检测甲醛气体的浓度。
荧光检测还常用于检测微量水平的重金属离子,为了测量三价铬[Cr(III)]的浓度,设计使用微流控芯片,通过在线荧光衍生化和激光诱导荧光(LIF)光谱检测对Cr(III)进行检测分析,图1(d)为在线衍生和检测的流动注射微流控芯片示意图。这种自组装便携式光纤荧光光谱仪与微流控芯片的结合实现了对实际水样中Cr(III)浓度的检测。最后,该化学传感器体现出高灵敏度、稳定、快速响应和样品消耗量低的优势。图1(e)为样品溶液流速对络合物(Rhodamine Derivative, R1)R1-Cr(III)荧光强度的影响,可以看出,在40~50 L/min的流速下,荧光强度最大。图1(f)为R1(2 mmol/L)的光谱荧光强度和Cr(III)浓度之间的关系,可以看出随着Cr(III)浓度的增加,光谱强度线性增加。通过使用基于金(Au)纳米团簇的测试纸作为荧光传感器,建立了一种简单、便携、可回收的实时检测汞离子(Hg2+)和铅离子(Pb2+)的方法,当暴露于Hg2+时观察到试纸的明显荧光猝灭,而在Pb2+存在时观察到显著的荧光增强。

(a)纸基微流控芯片的制作工艺

(b)不同浓度甲醛样品的荧光图像

(c)甲醛浓度与荧光强度的关系

(d)在线衍生和检测的流动注射微流控芯片示意图

(e)液体样品的流速对R1-Cr(Ⅲ)络合物荧光强度的影响

(f)不同浓度的Cr(Ⅲ)条件下,R1(2 mmol/L)的光谱荧光强度
图1 基于荧光检测法的光学传感器的制备与结果分析
2.2 光谱检测法
光谱检测是根据物质的光谱来鉴别及确定其化学组成和相对含量的方法。光谱分析是一种高灵敏且无损的检测方法,与荧光检测相比,它提供窄光谱信号并克服了光漂白问题,因此该技术已成功应用于生物传感器、细胞成像、疾病诊断以及化学物质的定量测量。
为了分离和捕获单个活细胞,图2给出一种由石英盖玻片、带有蚀刻微通道和微孔的玻璃板组成的简单可重复使用的微流控芯片,图2(a)为基于微流控芯片的单细胞表面增强拉曼光谱(Surface-Enhanced RamanScattering, SERS)分析系统示意图,使用宫颈癌细胞(HeLa细胞)作为模型癌细胞进行研究,然后采用SERS来检查活的癌细胞并评估细胞中银纳米颗粒(Silver Nanoparticles, AgNPs)的数量及分布。结合细胞活力测定结果,将细胞中Ag NPs的数量与细胞的毒性直接相关联。图2(b)为微流井的显微图像,可以看出单个细胞固定在微流井中。图2(c)为每个细胞的NPs数量和细胞活性与NPs浓度的关系,从图2(c)可以看出随着NPs浓度的增加,细胞活性降低,但NPs的数量增加也就意味着更高的细胞毒性。图2(d)则为细胞的拉曼图像。

(a)基于微流控芯片的单细胞SERS系统示意图

(b)细胞在微流体通道中移动的显微镜图像

(c)NPs数量和细胞活性与NPs浓度关系

(d)Ag NPs的表面增强拉曼光谱

(e)光谱检测系统

(f)时间响应

(g)NH4+浓度与光谱强度变化的关系
图2 基于光谱检测法的光学传感器的制备与结果分析
除了检测细胞活性,光谱检测还可以用于测定离子的浓度。图2(e)为光谱检测系统的耦合芯片详细结构图。该耦合微流控芯片由反应芯片、气体扩散芯片和检测芯片组成,用于检测NH4+的浓度。其中反应芯片由PDMS组成,用于将NH4+转化为NH3;气体扩散芯片由两片玻璃片和夹在玻璃片中间的一层PDMS材质的气体透过膜组成,用于使NH3扩散进入待测溶液;检测芯片是使用多层结构将指示剂固定在其中。使用锌卟啉作为指示剂,是因为锌卟啉与NH3分子相遇会由绿色变成紫色,当周围环境变成纯水时,又能实现从紫色到绿色的逆变化,因此通过检测光谱的变化就能得到NH4+浓度的变化。使用该微流控芯片为平台,建立了一个光谱检测系统,使用光谱仪作为分析仪器,通过对450 nm处的透射光谱强度的变化进行测量,能够实现对NH4+的定量测量,此外还对影响检测结果的参数进行了研究。图2(f)为NH4+浓度为20 mg L-1时光谱的时间响应,可以看出,变色过程大概有8 min,而复原过程则更慢,大约为变色过程的2倍。图2还对指示剂的用量(1 mg、5 mg和10 mg)对光谱强度的变化进行了研究,结果如图2(g)所示,可以看出在NH4+浓度较低的情况下,三者的光谱变化差不多,但是随着NH4+浓度的增加,5 mg指示剂对应的光谱强度的变化最大,10 mg的次之,因此5 mg的指示剂为检测的最佳选择。
2.3 比色检测法
比色检测是光学生物传感器最广泛的技术之一,它具有操作简单、检测速度快、检测精度高、灵敏度高和结果可视化等优点。比色检测利用被测物质本身的颜色或者是加入试剂反应后呈现的颜色变化,通过比较颜色深度以对被测物质进行分析。通常比色检测中的检测区域图由扫描仪、手机摄像头或CMOS摄像头直接收集,然后传输到电脑或手机进行分析。
使用喷漆技术可以用来制作纸基微流控芯片,该装置使用气溶胶喷漆来构建疏水屏障,并且使用简单的打孔器获得纸基的图案层,这些改进的切割过程和疏水屏障的制造为纸基微流控芯片提供了一种便宜、简单且适应性强的制作技术。图3(a)中的I和II分别为2D和3D纸基微流控芯片喷涂制作工艺示意图,III为增加染料后的实物图。使用该喷漆式的纸基传感器测定Fe2+的浓度,图3(b)为蓝色通道强度与Fe2+浓度之间的关系(浓度范围为0~0.3 g/L),图3(c)为对应的线性拟合图,可以看出,随着Fe2+浓度的增加,蓝色通道强度线性减小,且R2为0.9903,具有很强的相关性。文章还对影响铁检测灵敏度的参量进行了优化,提出了一种用于Fe2+浓度检测的纸基微流控芯片,具有低检测限(0.0009 g/L)、良好的选择性和可以接受的回收率等优势。

(a)纸基微流控喷涂制造工艺示意图

(b)蓝色通道强度与Fe2+ 浓度的关系

(c)蓝色通道强度与Fe2+ 浓度的线性拟合图
图3 基于比色检测法的光学传感器制备与结果分析
除了喷漆的制作方法以外,蜡印技术也常被用于制作比色检测的微流控芯片。图4提出一种基于比色检测方法的传感器和基于扫描仪设备的纸基微流控芯片,用于确定乙酰胆碱酶(AchE)的活性和抑制剂筛选。该纸基微流控芯片使用简单的蜡印工艺制造,将蜡沉积在色谱纸的表面,然后加热以形成疏水屏障。在检测过程中,5,5-二硫代双的溶液和含有AchE和乙酰硫代胆碱碘化物(ATC)的样品被直接点在纸基微流控芯片上。该装置显示出对AchE活性检测的高灵敏度,因此在神经递质活性量化方面具有显著的应用潜力。同一课题组还提出了基于比色检测方法和扫描仪设备的各种微流控芯片,分别用于分析lgG抗体和葡萄糖。

(a)基于颜色强度读数的纸孔板制作过程

(b)基于距离读数的纸基微流控芯片制作流程

(c)基于彩色扫描和智能手机的信号读出以及乳铁蛋白响应曲线

(d)设备彩色扫描图,距离与乳铁蛋白浓度的关系
图4 基于比色检测方法检测的蜡印工艺纸基微流控芯片
除了基于颜色强度的比色分析,还有基于距离读数的比色分析装置。图4(a)为基于颜色强度的纸基装置的制作过程,图4(c)为基于距离读数的纸基微流控芯片的制作过程。检测原理是利用乳铁蛋白对Fe3+的高亲和力,乳铁蛋白能够从Fe3+复合物中置换指示剂,从而导致颜色变化。将复合物固定在纸基板上,复合物颗粒根据乳铁蛋白浓度展示出颜色的变化。基于颜色强度的检测装置使用智能手机和颜色读数应用程序对乳铁蛋白进行定量分析,图4(b)中分别为基于彩色扫描和基于智能手机的信号读出以及乳铁蛋白响应曲线。可以看出,在0~600 μg/mL浓度范围内,随着乳铁蛋白浓度的增加,色调值线性增加。基于距离读数的纸基微流控芯片根据彩色切片长度判断乳铁蛋白的浓度。图4(d)为使用40 L样品溶液后装置的彩色扫描以及距离和乳铁蛋白浓度之间的关系,可以看出,在0~1000 μg/mL范围内,距离随着乳铁蛋白浓度的增加而线性增加。
03
电化学生物传感器
电化学检测的特点是灵敏度高、选择性好、制作成本低、携带方便以及电力消耗低。因此,电化学检测很适合采用微流控芯片,微流控电化学装置使用的化学系统包括微电极、对流传质、表面修饰电极、流动注射、信号放大、离子选择性电极和离子交换膜等。此外,该类微流控芯片常用的材料包括PDMS、滤纸等。
3.1 PDMS微流控芯片
使用PDMS材料制作的微流控芯片能够重复使用且可逆变形,不发生永久性破坏,而且具有弹性好、柔性好、电绝缘性好等优点。用模型法高保真制备的微流控芯片能透过300 nm以上的紫外可见光,耐用且价格低廉,但它不耐高温,导热系数低,表面改性的方法需进一步研究。
为了检测红细胞(Red Blood Cell, RBC)和内皮细胞(Endothelial Cell, EC)之间的相互作用,图5提出了一种由电沉积制备的金柱阵列和集成检测电极的微流控芯片。微流控芯片由具有两个相邻通道的PDMS芯片和带有嵌入式电极的聚苯乙烯底座组成,图5(d)和(e)分别为微流控芯片中PDMS和聚苯乙烯底座的组装图和实物图。内皮细胞可以通过红细胞衍生的腺苷三磷酸(Adenosine Triphosphate,ATP)刺激释放一氧化氮(Nitric Oxide, NO)。为了研究RBC-EC之间的相互作用,将片上细胞固定,然后在单个微流控芯片中直接与红细胞接触检测NO。利用格列本脲处理的RBC会抑制RBC衍生的ATP释放,然后,使用曲前列环素处理会刺激红细胞并释放ATP。图5(f)是利用RBC衍生的ATP促进NO的释放的结果分析。在图5(g)中可以观察到刺激ATP释放和抑制ATP释放的两个实验结果的比较,其中,曲前列环素处理后的RBC注射液会刺激内皮细胞并产生(1.80.2) nmol/L NO,格列本脲处理后的RBC会产生(0.920.1)nmol/L NO。

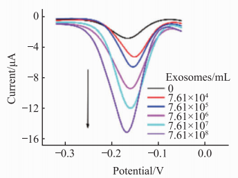
(a)集成外泌体分离和分析平台

(b)DPV响应

(c)线性结果分析

(d)微流控芯片中PDMS和聚苯乙烯底座的组装图

(e)微流控芯片中PDMS和聚苯乙烯底座的实物图

(f)刺激/抑制RBC释放的数据条形图
图5 基于PDMS微流控的电化学生物传感器
3.2 纸基微流控芯片
基于纸基的微流控芯片是以滤纸作为基材,使用蜡印刷、丝网印刷、光刻和化学气相沉积等技术制作而成。由纤维素构成的滤纸表现出亲水特性,所以允许水溶液通过滤纸的纤维层。与传统的玻璃和聚合物基板微流控芯片相比,纸基微流控芯片具有许多实际优势,包括成本较低、制作过程简单、毛细管作用强和良好的生物相容性等。因此,纸基微流控芯片越来越多地应用于生物医学、环境、临床诊断、食品加工和化学工业领域。
近年来,可以看到很多基于折纸方法做成的纸基传感器。例如,图6(a)为纸基微流控示意图,实验提出了一种在纤维素纸装置中使用镁作为阳极的纸基微流控原电池。添加一滴水的原电池可以在一段时间内以一定的电位/电流运行,并持续运行到水彻底蒸发。采用蜡印刷技术制造纸基微流控芯片,使用蜡打印机打印到滤纸上,将芯片放置在热板上形成3D疏水屏障以控制液体流动。该纸基微流控芯片实物如图6(b)和(c)所示。图6(d)~(g)显示了纸基微流控原电池的性能结果。通过优化电解质的量,使电池的开路电势最大,如图6(d)所示;MgCl2的最终优化量为3.33 mg,AgNO3为3.57 mg[图6(d)中的虚线框]。根据图6(e)所示,在放入80 mL蒸馏水后,单个原电池的开路电位在1 h内保持在2.2 V。图6(f)显示了持续1 h的放电曲线有300 mA的恒定电流密度。将80 mL的蒸馏水装入纸片顶部的入口后,电位立即升高,电位保持在1.6 V。图6(g)中红色发光二极管(Light-Emitting Diode, LED)至少需要50 mA才能点亮,但电压降低到1.5V左右,同时电流缓慢降低,红色LED也能被成功点亮。另外,为了证明此原电池的可行性,还使用该装置结合发光二极管对碱性磷酸酶进行了荧光检测。

(a)纸基微流控示意图

(b)蜡印折纸芯片

(c)最终组装装置的顶视图和侧视图

(d)阳极和阴极之间的电解质效应

(e)单个原电池的开路电位

(f)恒流放电曲线

(g)电池的相对电流和运行电压
图6 纸基微流控电池
除了折纸以外,还有很多种制作纸基微流控芯片的方法,比如丝网印刷、喷墨打印、蜡印等。图7(a)为使用丝网印刷工作电极的纸基微流控芯片制作过程,包括丝网印刷工作电极的制作过程和参比电极的制作过程。研究提出了一种使用丝网印刷工作电极(SPWE)的高灵敏度无标签纸基电化学免疫传感器,用于癌胚抗原(CEA)的检测。为了提高检测灵敏度并固定抗癌胚抗原,合成了氨基功能石墨烯/硫氨酸/金纳米粒子纳米复合材料并涂覆在丝网印刷工作电极上。免疫传感器的检测原理是由于抗体-抗原免疫复合物的形成,硫氨酸的反应电流与相应抗原的浓度成正比。免疫测定法能够测定50~500 pg/mL浓度范围内的CEA溶液,并且电流随着浓度的增加而线性减小,实验结果如图7(b)和(c)所示。另外所提出的免疫传感还可以用于测定临床血清样品,这种新型纸基电化学免疫传感器可以为癌症检测提供一种低成本、高灵敏的即时诊断新平台。此外带有滴铸电极的丝网印刷生物传感器可用于检测啤酒样品中的乙醇。在该装置中,由炭黑和普鲁士蓝纳米粒子组成的纳米复合材料用作电催化剂来检测醇氧化酶和乙醇之间的酶促反应产生的过氧化氢。该传感器能够定量检测乙醇的浓度,最高检测浓度达到10 mmol/L,灵敏度为9.13 μA·cm2/mmol·L-1,检测限为0.52 mmol/L。

(a)纸基微流控芯片的制作过程

(b)离子选择性电极的制备过程

(c)纸基免疫传感器响应曲线

(d)电流与CEA浓度的关系

(e)电位实时响应曲线
图7 无标记纸基微流控电化学传感器
图7(d)为离子选择性电极装置的制备过程,使用滤纸作为基底的材料,进行喷蜡打印后,通过在滤纸上滴涂导电碳浆以及Ag/AgCl浆,分别制成了固态聚合物膜钙离子选择性指示剂和参比电极,形成了纸芯片离子选择性电极系统。对离子载体的含量和离子选择性敏感膜的厚度进行了优化,同时也对参比电极的稳定性和指示电极的选择性进行了研究。以0.5 mol/L NaCl模拟海水为背景,检测纸芯片离子选择性电极系统的电位响应性能,实验结果如图7(e)所示。结果表明该系统在1.0×10-4~3×10-2 mol/L CaCl2浓度范围内,随着浓度的增加,电位响应也随之线性增加。
04
基于微流控芯片的射频生物传感器
4.1 用于生物细胞生长检测的射频谐振器
微流控技术可以将样品检测的多个实验步骤集中在一个小芯片上进行,也可以实现器件的小型化。微流控芯片具有体积小、响应速度快、自动化程度高、集成度高的特点,这为开发高成本、紧凑型器件提供了可能性。目前,许多有效的检测技术已经在微流控器件中得到了证实,包括光电化学方法、荧光检测方法和光学方法。
然而,它们也有一些固有的检测限制,比如,在液体环境中灵敏度低和使用光学标记会破坏检测生物样品。相反,微波技术具有非侵入性、高灵敏度和快速传感的优势,可作为一个突出的候选技术。目前,由聚苯乙烯薄膜与固定化微生物细胞和微波电动力学谐振器组成的传感器可以对固定化细胞大肠杆菌的相互作用进行研究。此外,有研究开发了一种快速、灵敏、自动检测沙门氏菌的微流体生物传感器,在该结构中金属有机框架通过模拟过氧化物酶活性来放大生物信号,并结合自行开发的软件来分析彩色图像,从而可以获得样品的最低检测限。
感染诊断和抗生素敏感性试验是耗时且费力的临床实践。而利用微波微流控生物传感器可用于快速、非接触和无创检测不同pH培养基中大肠杆菌的浓度和生长,进而提高了临床微生物实验的有效性。微流体通道与微波谐振器之间的薄层接口提高了检测的灵敏度。将细菌样品注入到采用标准软光刻技术制作的微流控芯片中,然后利用该微波传感器检测细菌的浓度和生长。通过筛选微波系统的共振振幅和频率响应的变化,检测不同pH溶液中不同浓度的细菌。从实验结果中观察到,在不同pH值的条件下,器件的响应变化与细菌浓度表现出良好的线性关系。
微流控芯片使用双面胶带固定在谐振器上,结构如图8(a)(b)所示。通过观察S21参数获得不同浓度的细菌在不同pH水平下的共振频率和振幅。在测量过程中,尽量保持每隔1 min进行一次测量,以确保细菌液在芯片内的均匀分布。谐振腔有源区域上方微流控腔内pH=6溶液的OD600对数与谐振振幅和谐振频率的线性关系如图8(d)所示。
微波发夹生物传感器是由PDMS和负光刻胶组成的微流控芯片,采用微机电系统(Micro-Electro-MechanicalSystem, MEMS)技术对液体介质中的B16F10黑色素瘤细胞进行捕获、测量和分析。该传感器由2个发夹形半波长步进阻抗谐振器构成,用于液体和细胞检测,实物如图8(c)所示。发夹谐振器是由2条或多条具有不同特征阻抗的传输线组成的横向电磁(Transverse Electric and Magnetic Field, TEM)或准TEM模式谐振器。传感区域定义在耦合区域,为了满足微通道对细胞运输和捕获的需求,对耦合区域的尺寸进行优化,最后得到基于微流控的发夹谐振器生物传感器和负性光刻胶细胞俘获结构的照片,实物如图8(c)所示。S参数是网络分析中常用的参数。其中,S11和S21分别表示网络阻抗失配引起的反射和传输特性。通过使用一对耦合微波谐振器来产生用于细胞检测的共振,这些共振是由耦合区域的介电特性决定的。随着耦合区域介电特性的改变,共振的大小也随之改变。通过S参数可以观察和分析共振的变化。图8(e)和(f)显示了不同细胞数量引起的S21和S11的变化。随着细胞数量的增加,S11的衰减减小,而S21的衰减增大。显然,S11共振峰的变化比S21的更清晰可辨。因此,在后续的分析中,可以通过观察S11的响应来检测细胞的介电特性变化。

(a)生物传感器结构示意图

(b)实物图

(c)带有PDMS微流体的发夹式生物传感器实物图

(d)不同OD600值的共振振幅和频率

(e)测量不同细胞数的S21的响应

(f)射频生物传感器S11响应结果
图8 基于细胞生长监测的微流控射频生物传感器
目前存在的问题是,该发夹谐振器传感器虽然在生物细胞分析方面有潜力,但灵敏度是限制条件。为了提高灵敏度,电极的尺寸需要缩小并进行微调以匹配电池的尺寸。电极尺寸的减小也会降低DMEM的影响。此外,本实验中捕获的细胞仅由流体控制,很难控制细胞的数量,也很难从悬浮细胞中选择特定类型的细胞,因此需要一种新的捕获方法来减少捕获时间并选择不同类型的细胞。
4.2 用于溶液浓度检测的射频天线
为了测量小体积的液体生物样品设计了一种由印刷电路板(PrintedCircuit Board, PCB)和PDMS制成的微流控通道集成射频谐振器。该传感器包含一个叉指电极(InterdigitalElectrodes, IDE)结构和一个稳健流体端口的真空动力样品输送系统,用于检测水中125~155 mmol的NaCl含量,这是健康人血浆中的典型浓度。
指叉电极结构的优点是它可以在一个相对较窄的频带内提供多个共振并且能够使用较小的占地面积将结构共振调到测量频带。传感器原理如图9所示,该传感器使用不同浓度的水-异丙醇溶液进行测试,并使用微升体积的样品检测生物范围内的生理盐水浓度。图9(b)显示了在IDE区域的强电场耦合。该传感器由印刷电路板制成。使用数控机床切割PCB并打孔,在角落上做对准标记。激光结构利用对准标记在PCB上制作IDE结构和传输线,将微流控的入口、出口和一个母型SMA连接器通过焊接连接到基板上。通过模具复制和浸涂技术与PDMS相结合制造流体通道,图9(c)显示了传感器的尺寸。采用异丙醇-水样品对该传感器进行了表征,该传感器在二次共振和第三次共振时表现出了最佳的性能。图9(d~f)显示了传感器测量结果与线性拟合曲线的对比,这些数据可作为异丙醇测量的线性拟合校准曲线。

(a)传感器原理图

(b)IDE区域强电场耦合的仿真模型

(c)传感器尺寸,橙色线表示为流体通道

(d)第一次共振与损耗正切的关系

(e)二次共振与相对介电常数的关系

(f)第三次共振与相对介电常数的关系
图9 基于溶液浓度检测的微流控射频生物传感器
另一种用于测量水溶液中葡萄糖浓度的实时无创微波微流控传感器是由互补开环谐振器(ComplementarySplit Ring Resonator, CSRR)的开放式微带传输线制成。CSRR在共振时具有非常强的电场浓度,这对介质样品加载非常敏感。在传感器上集成一个微流控通道,利用该微流控通道将葡萄糖溶液输送到设备的敏感区域,然后观察反射系数(S11)和共振频率偏移。最后,利用共振频移和Δ|S11|对葡萄糖-水溶液的测量结果建立了数学模型,使用该研究开发的传感模型就可以检测血糖水平。图10(a)和(b)分别给出了制作完成的射频生物传感器的顶部和底部视图。图10(c)展示了用于测量和验证的测试装置的照片以及安装微流控通道和聚甲基丙烯酸甲酯(Polymethyl Methacrylate, PMMA)框架后的传感器原型,其中传感器连接到VNA,用于测量反射系数(S11)。
为了校准传感器并建立数学模型来测量水溶液中的葡萄糖浓度,首先使用0 mg/mL、10 mg/mL、30 mg/mL、50 mg/mL和70 mg/mL葡萄糖浓度的液体样品对传感器进行测试,并记录每个样品的反射系数,图10(d)显示了这组测试样品的生物传感器测量的反射系数。为了获得高频率分辨率,测量的频率范围为2.4~2.6 GHz,包含801个数据点。图10(d)中由于传感器在谐振时的质量因子(Q)较高,因此在不同的测量中,测量曲线很容易区分。这提供了高灵敏度的振幅和频率读数结果的高精度测量。通过增加溶液中葡萄糖的浓度,传感器的共振频率向上移动。频率偏移还会导致固定频率2.48 GHz处的反射系数(S11)水平发生变化,该频率是蒸馏水的谐振频率。共振频率随葡萄糖浓度的偏移绘制在图10(e)中,其中蒸馏水被视为参考样品。此外,在2.48 GHz时,S11相对于蒸馏水的浓度随葡萄糖浓度的变化如图10(f)所示。结果表明,共振频率的偏移与溶液中葡萄糖浓度呈线性关系。然而,在考虑的浓度范围内,S11水平的变化与葡萄糖浓度呈非线性关系,图10(e)和(f)中的点是通过重复测量10次得到的。利用葡萄糖浓度与测量的共振频移和S11水平的回归分析,为所设计的生物传感器开发了一个数学传感模型。

(a)顶部视图

(b)底部视图

(c)测试装置

(d)传感器的响应变化

(e)共振频率与葡萄糖浓度的线性关系

(f)反射水平变化(Δ|S11|)作为葡萄糖浓度的函数
图10 基于葡萄糖浓度检测的微流控射频生物传感器
4.3 用于小分子检测的电磁超材料
通过将一个微小的微流控通道放置在双间隙的亚原子分裂环谐振器的间隙中,然后利用集成的PDMS微流控传感器的超原子SRRs可以检测液体样品的介电特性。内置的微流体传感通道为开环谐振器(Split Ring Resonator, SRR)间隙的内部,因为该区域对介电变化非常敏感。该传感器根据被测谐振频率和峰值衰减的变化来确定液体样品的复介电常数。图11(a)显示了该微流控传感器的主要组成部分——超原子SRR传感器结构示意图。双间隙SRR设计使得微流通道可以直接通过如图11(a)所示的电磁传感结构。2种间隙设计可以实现集成的超表面SRR传感器,从而提高灵敏度。使用自由空间测量系统,SRR传感器阵列被放置在2个喇叭天线之间,这些喇叭天线永久连接到矢量网络分析仪的2个端口,因此,传感测量过程无需与传感器直接连接任何微波测试电缆。该生物传感器测量了不同浓度的水-甲醇混合物得到共振频率和峰值衰减的传输响应,结果具有较好的准确性,如图11(c)所示。

(a)超原子SRR传感器原理图

(b)集成的超表面SRR传感器

(c)不同体积分数的水-甲醇混合物的共振频率和峰值衰减

(d)微流控超材料传感器示意图和几何参数

(e)模拟了4种条件下的太赫兹透射谱

(f)磁珠实验的透射光谱测量
图11 基于小分子检测的电磁超材料微流控生物传感器
此外,实验表明,基于微流体阵列的超材料谐振器可以实现对不同尺寸大小的微粒有选择性地捕获和检测。将超材料传感的概念扩展到“捕获和传感”,通过在分裂间隙附近设计梯形结构,使微粒能够在每个SRR的劈裂间隙区域捕获。该微流体超材料传感器能够根据工作在太赫兹光谱区域共振模式的透射振幅和共振频率的变化来感知不同折射率的微粒子。该方法利用了微流体、超材料和太赫兹技术的优势,形成了一个理想的平台,用于超敏感、无标签、远程和非破坏性的微物质检测。
图11(d)显示了用于微粒选择性捕获和传感的微流体超材料传感器装置的原理图。超材料谐振腔选用了分裂环形谐振腔结构。在这种设计中,微粒可以通过位于SRR电容间隙的2个梯形结构之间的液体流动被困在空槽中。然而,一旦1个粒子被困住,2个梯形之间的流动阻力就会增加,从而导致后面的液体会绕过该槽,这就确保了只有1个粒子被捕获在SRR的电容间隙中,所以这是定量估计被捕获微粒的关键。将SRR结构周期性地排列成蜂窝状的超材料结构,然后利用三维电磁仿真软件(ComputerSimulation Technology, CST)对该结构进行模拟,从而研究粒子俘获对SRR超材料共振传输响应的影响。在1.04 THz处设计了无陷波结构的平面SRR的LC基模谐振,结构如图11(e)所示。使用直径为20 μm的聚苯乙烯小球作为粒子进行捕获和探测的演示。用纯异丙醇(Iso-Propyl Alcohol, IPA)填充通道后,用注射器泵注入悬浮在IPA溶液中的聚苯乙烯小球。从光学显微镜观察到,15%的SRR被随机排列的珠子所占据。然后测量捕获珠在IPA溶液中的透射光谱,并在0.92 THz处观察到共振倾斜[见图11(f)]。实验结果表明,在含聚苯乙烯颗粒和不含聚苯乙烯颗粒的情况下,超材料传感器的谐振频移均达到10 GHz。共振偏移是由于聚苯乙烯相对于IPA的低折射率引起的。由于发射信号是每个超原子的集体响应,捕获粒子的SRR数量的减少也导致共振强度的降低。超材料谐振器的多功能性,以及在低能太赫兹光谱范围内操作的微流体的选择性捕获功能,将为太赫兹和红外频率下的无标记检测、生物分子传感和微粒子定量开辟新的研究机会。
另一种是基于化学物质固有介电特性的低成本纸基传感器。该传感器基于每个谐振器的电容变化对其共振位移的影响,设计的新颖之处是在常见的纸基板上实现了超材料。在室温下,利用打印机制作纸基电磁超材料生物传感器的流程如图12所示。选择打蜡的色谱纸,在打蜡和未打印区域分别留下疏水和亲水区域。蜡印后,基材被加热,使蜡能渗透到纸的另一边,形成一个液体无法渗透的区域。这种蜡基纸图案可以创建微流控通道,这样液体样品可以通过自然毛细管的作用传输到衬底上的超材料阵列中的每个谐振器的电容间隙[见图12(d)]。然后采用CO2切割机在聚酰亚胺胶带上切割出与谐振腔单元对应的周期性设计圆的模板,粘在衬底纸上,并在靠近微流控通道的蜡纸上对齐。聚酰亚胺片粘在蜡纸上之后,整个空间再使用AG-510银导电油墨进行银墨绘制。最后,聚酰亚胺片剥离纸留下的圆形导电银部件在蜡区域合成的原型示意图如图12(d)所示。电磁超材料的单元格如图12(e)所示,并列出了相应结构的关键尺寸。图12(f)显示了导电部件的不均匀性,可以证明实验透射光谱的展宽是合理的。电磁超材料的谐振频率偏移与化学物质的介电常数呈线性趋势,说明该传感器可以用于生物标志物浓度的检测。

(a)传感器的制作过程

(b)单个超材料单元

(c)导电部件的不均匀性

(d)样品的谐振频率偏移
图12 基于小分子检测的电磁超材料纸基生物传感器
05
挑战和展望
尽管微流控芯片与生物传感器的结合在实际诊断和即时检测(Point-of-Care Testing,POCT)应用方面有许多优势,但仍然存在许多重大挑战需要克服。比如,滞留和蒸发的问题会导致样品在运输过程中产生损失。光学生物传感器和电化学生物传感器检测过程中使用的试剂,例如酶、抗原和抗体,必须能够承受运输和储存过程中的恶劣环境。此外,光学生物传感器环境适应性差,虽然选用激光光源可以有所改善,但不在密封环境中使用就很容易被污染导致失效。另外电化学生物传感器主要的缺点在于对温度比较敏感、寿命短而且容易与其他待测液体发生交叉感染,而且光学生物传感器和电化学生物传感器都需要使用酶和被测物质反应来进行检测。
基于超材料的结构可以提供高Q因子并实现小型化。近十年来,业界开发了基于超材料的化学传感器,但这些射频传感器没有使用微流控技术。由于缺乏微流控通道,在测试过程中实验样品暴露在大气环境下从而产生生物污染。而集成射频传感器的微流控技术彻底改变了传感技术,利用该技术只需要微升或纳升体积的样本进行测试,这对于昂贵液体样品的检测不失为一个好的解决办法。微流体通道由生物相容性材料制成,从而可以保证待测样品的安全性。为了满足对基材的保护以及微流控通道与基材的结合,采用先进的材料、涂层和胶膜构建了稳定的结构。一般来说,微流控通道是使用低成本材料和简单的制作过程来实现的。
大多数基于微流控芯片的微波生物传感器不能进行实时监测,因为它们不能作为独立的系统工作,除非连接读数电路或分析设备,如VNA和频谱分析仪等。尽管VNA在识别生物传感信息方面是准确的,但它们价格昂贵且笨重。所有这些缺点使得它们不适合便携式设备和实时测量的情况,例如POCT应用场景。为了实现一个完整的集成微系统,不仅需要对传感器进行集成,还需要对分析和测试部分进行集成。通常微波器件定制的检测电路精度和灵敏度与商用VNA相当,主要由3个子系统组成:信号发生器、功率耦合单元和增益检测器。微系统集成是实现小型化和便携式的重要途径。展望未来,下一代基于微流控芯片的微波生物传感器应该是完全集成的设备,能够在POCT应用中提供准确和自主的诊断,而不需要借助实验室分析。未来的发展方向是解决存在的问题并向超小型高集成度射频传感器、可穿戴设备、非侵入式、实时监测的方向发展。此外,此类生物传感器如果能与智能手机进行集成,在日常生活中也将具有巨大的应用潜力。
06
结 论
本文回顾了近年来以光学、电化学和微波为技术代表的3类生物传感器的研究进展,综述其在生物和医学领域的应用。以上传感器通过与微流控芯片的结合构建了高灵敏性、可重复和便携的检测系统。其中,微波传感器由于高灵敏度、快速响应和非侵入性检测的特点,进一步与微流控芯片进行集成是一个新的研究热点。该技术目前仍处于早期阶段,还需要多学科交叉融合发展,以及在生物医学、生命健康等领域的多功能、便携式、实时和现场检测设备的开发。
审核编辑 :李倩
下一篇:微电极技术的发展现状