时间:2023-02-01 15:24
人气:
作者:admin
作者:Wenshuai Liao and Yiming Zhao
由于笔记本电脑、便携式媒体播放器 (PMP) 和手机等便携式设备的引入呈爆炸式增长,硬盘驱动器 (HDD) 的使用比以往任何时候都更广泛。随着越来越多的设备采用 HDD,当包含 HDD 的产品意外掉落时,保护它们免受严重冲击所产生的冲击的需求变得更加紧迫。为了提高 HDD 在此类事件中幸存下来的能力,必须增强其抗冲击性。
有两种方法可以建立必要的抗冲击性,主动和被动。
被动方法已经使用了很长时间;它们只是用冲击吸收材料缓冲设备,1通常是橡胶或凝胶。凝胶往往能够更好地吸收冲击力,比橡胶更广泛地使用。然而,凝胶不能保护设备免受超过一米的跌落造成的损坏;这排除了它们在便携式娱乐设备中的使用。手机、MP3 播放器和 PMP 等设备需要保护跌落超过 1.5 米(人耳离地面的平均高度)。
在主动方法中,有两种保护 HDD 的替代方案。一种是增加缓存容量,以便HDD处于读取或写入模式的频率降低。这种方法还可以减少功耗和发热。但它的成本很高,并且无法处理如果 HDD 在跌落开始时处于读取或写入模式时可能发生的影响。第二种方法是使用加速度计(例如ADI公司的ADXL320双轴加速度计,用于测量轴向加速度)来检测跌落,然后生成信号,使HDD磁头被召回安全区域。如果这可能在产品撞击地板或其他固定表面之前发生,则可以防止头部和盘片之间的碰撞。这种方法首次在IBM于2003年<>月发布的笔记本电脑中商用。
自由落体建模
图 1 描绘了物体自由落体的最简单模型,其中假设下落物体的 Z 轴垂直于地球表面。

图1.自由落体模型的特殊情况 - 加速度限制在单个轴上。
在图 1(a) 中,假设物体是静止的,因此沿 X 轴和 Y 轴的加速度均为零,因此沿牛顿第二定律支配的 Z 轴的力的值为 1 g(海平面为 32.174 英尺/秒/秒),对应于重力引起的静止加速度力。
在图1(b)中,物体被允许下落。沿 X 轴和 Y 轴的加速度保持不变,为零 g,但现在测量沿 Z 轴加速度的加速度计以与其固定的物体相同的速率加速,将记录零 g 的值。
坠落物体的更一般情况如图 2 所示。在这里,立方体的边相对于正交坐标系形成任意角度。

图2.广义自由落体模型 - 沿所有三个轴的加速度分量。
在图 2(a) 中,物体以广义的任意方向描绘;它的边缘相对于 X 轴形成α角;β,相对于Y轴;和γ,相对于 Z 轴。在零g加速度下,每个轴传感器的电压输出为V抄送/2.因此,三个轴的输出将是:

“灵敏度”是指传感器每克的输出。对于ADXL320,采用+3 V供电时,灵敏度为174 mV/g。如果检测到的线性加速度的方向与坐标轴的正方向(X、Y 或 Z)相对应,则其符号将为正,其输出将添加到V抄送/2;否则它将是负数,并将减去V抄送/2.
当物体突然下降时,沿所有三个轴的加速度变为零,因为无论物体与坐标系的方向如何,都不会沿任何轴检测到加速度,因为如上所述,加速度计以与下落物体相同的速度向地球加速。
对于便携式设备,我们还必须考虑可能施加给物体的任何角加速度,如图3所示。

图3.下落物体的角加速度。
为了简化角加速度的计算,分析将限制在由X轴和Y轴确定的平面上,从而简化分析。
如果角速度为 ω,旋转半径为 R,则角加速度 (一个C) 是:
![]() |
(2) |
因此,沿 X 轴和 Y 轴的角加速度分量为:
![]() |
(一) |
![]() |
(3b) |
因此,实际上,下落体将表现出线性加速度和角加速度,这是上面讨论的各种情况的组合。
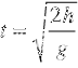
为了计算物体下落时经过的时间,从下落瞬间垂直于地球的速度为零开始,我们可以使用以下基于牛顿第二运动定律的方程:
![]() |
(4) |
其中 h 是坠落的高度,g 是重力加速度,32.174 英尺/秒/秒。
为了了解可用于应对跌倒的时间,我们可以假设高度为 3 英尺。使用公式(4),时间= 432 ms。
一种传统的保护算法
传统上,HDD保护算法基于自由落体建模,如下所述,其中加速度计中包含的传感器的输出可以通过数字示波器或其他数据采样系统轻松捕获。
“测试滑板”可以使用两个ADXL320双轴加速度计组装。加速度计的轴与 X、Y 和 Z 轴对齐,如图 4 所示,从而提供沿 X、Y 和 Z 坐标的加速度值。(Y1输出是冗余的,不使用。坐标轴的输出由ADuC12精密模拟微控制器中包含的832位ADC采样,该ADC集成采样数据并将其馈送到内部8052兼容内核处理器。然后,采样数据通过RS-232接口传输到计算机进行分析。

图4.测试雪橇。
图5显示了两个传感器感测的响应序列。值 X 和 Y 由一个加速度计提供,值 Z 和 Y1 由另一个加速度计提供。另请注意,该图分为四个连续的间隔,标记为:“静态”、“翻滚”、“自由落体下降”和“冲击”。沿X轴显示的采样间隔由ADC确定,每个变量的时钟频率为200 Hz,或每个变量每5毫秒采样一次。Y轴刻度表示ADuC12智能传感器前端中832位ADC提供的值,绘制了所有四个轴。

图5.传统保护算法 — 加速度计感知的响应序列。
测试雪橇放置在工作台边缘并使其翻滚,施加角加速度(如图 4 所示),产生图 5 所示的翻转数据。(Z轴值在静态模式下显然不等于零g输出,是由加速度计的不平衡安装引起的。
当雪橇被推离桌子时,在这个自由落体-下降间隔内,这些值在各自的零水平附近都是恒定的,这与上述断言一致,即在自由落体期间,所有加速度计的输出都将是零g输出。
(另请注意,在同一时间间隔内沿不同轴的加速度计的零g输出并不完全相同。
传统的HDD保护算法是基于刚才描述的安排中获得的数据。系统监视对象沿 X、Y 和 Z 轴的加速度。如果从公式5计算的平方根和值等于或小于阈值,则会向与HDD关联的计算机发送信号,使磁头在便携式设备与地板碰撞之前安全停车。
![]() |
(5) |
阈值的选择取决于特定的响应时间要求以及传感器的参数,例如灵敏度、温度引起的灵敏度变化、工作电压、噪声密度、封装对准误差、传感器谐振频率和设备的工作温度范围。通常,阈值可以通过实验来确定,如上述实验。例如,设计人员可以选择 0.4 g 的阈值。
一种新的差分加速度算法
现在,让我们更仔细地看一下图 5 中加速度图的行为。如果在翻转间隔期间获得足够的信息来区分跌倒,那么计算机将有更多的时间用于保护措施。事实上,传感器输出在该时间间隔内确实会发生变化,但输出值不够明显,无法直接启动 HDD 保护过程。
但是,如果形成一个新函数,等于X轴和Y轴加速度计输出的时间导数的平方和(公式6),

| (6) |
获得的结果如图6所示。图6所示值是基于ADuC12智能传感器前端832位ADC输出的计算结果。样本编号再次以 5 毫秒的时间增量显示。黑色图是(dX/dt)2 + (dY/dt)2,绿色图是 (dZ/dt 的逐刻值))2 + (dY1/dt)2.

图6.差分加速度算法-时间导数图 (dX/dt)2 + (dY/dt)2和(dZ/dt)2 + (dY1/dt)2.
正如预期的那样,时间导数的平方和在翻转时间间隔内相当大,但在自由落体下降期间它们变得非常小。这一系列事件可用于提供跌倒发生的可靠指示。
重要的是要注意,我们的研究证实可以选择两个加速度计中的任何一个,因为它们提供类似的行为。因此,要监控的传感器轴的选择可以是任意的。
我们现在可以建立一种新的测试算法,称为“差分加速度算法”(公式7):

| (7) |
传感器输出的时差阈值是跌落检测的关键,仅与传感器的灵敏度有关。例如,对于ADXL320,阈值可以选择为200个计数(根据算法使用的数标度)。
实现差分加速度算法
实现差分加速度算法的系统的主要元件是双轴加速度计ADXL320、双通道轨到轨放大器AD8542和智能传感器前端ADuC832。该系统的简化原理图如图7所示。

图7.硬盘保护硬件系统的简化示意图。
来自加速度计的信号通过AD8542馈送,AD832用作加速度计输出与ADuC0输入ADC1和ADC200之间的缓冲器。多路复用器以每秒 <> 个样本的速度在两个输入之间切换,持续监控到达的加速度信号。
8052微控制器内核是ADuC832的一个元件,实现了图8所示的算法。然后,每当系统检测到发生跌落时,常规 I/O 都会向 HDD 的配套计算机发出警报信号,以便 HDD 在发生撞击之前安全地停放硬盘驱动器磁头。

图8.差分加速算法—硬盘保护流程图。
结论
有人可能会问三轴传感器对于HDD保护是否必不可少。答案是否定的。如上所述,在实现上述差分加速度算法*的保护系统中使用ADXL320双轴加速度计可以很好地完成任务。除了降低成本外,双轴传感器方法还节省了空间并降低了功耗。
基于我们构建的HDD保护系统,已经发现从自由落体发生的瞬间到警报信号产生之间的响应时间为40毫秒,每通道采样率为每秒200个样本,传感器带宽为100 Hz。停放硬盘驱动器磁头所需的时间不应超过 150 毫秒,以降低整个系统的成本。因此,从检测到的自由落体到完成停车的总时间不超过 190 毫秒。这远远小于便携式产品下降 432 英尺所需的 3 毫秒。
本文中描述的算法几乎适用于上述所有情况。它无法检测到的唯一情况是自由落体事件,其中在坠落发生瞬间检测到的X和Y加速度的平方的时间导数在自由落体下降期间可以忽略不计。但这不太可能,而且根据我们的经验,它从未发生过。
ADXL320 2轴加速度计
ADI公司的ADXL320是一款低成本、低功耗、双轴加速度测量系统,具有信号调理电压输出,全部集成在单个单芯片IC上。该产品测量加速度的满量程范围为 ±5 g(典型值)。ADXL320采用超薄4 mm×4 mm×1.45 mm、16引脚塑料LFCSP封装。
加速度计包含一个传感器和信号调理电路,以实现开环加速度测量架构。输出信号是两个与正交加速度成比例的模拟电压。
该传感器是建立在硅晶圆顶部的多晶硅表面微加工结构。多晶硅弹簧将结构悬挂在晶圆表面上,并提供对加速力的抵抗力。结构的挠度是使用由固定独立板相对于附着在移动质量上的板形成的差分电容器来测量的。
固定板由异相180°的方波驱动。当器件受到加速力时,光束会偏转,使差分电容器失去平衡,从而产生幅度与加速度成正比的输出方波。然后,图示解调器模块中包含的相敏解调电路用于整流信号并确定加速度是正还是负。
解调器沿ADXL320的X轴和Y轴测得的加速度由输出放大器放大,并通过32 kΩ电阻带离片外,如图所示。外部电容器可用于提供滤波。

审核编辑:郭婷
下一篇:加速度计的幻想与现实