时间:2021-03-16 13:50
人气:
作者:admin
本文提出了设计简单的自供电太阳能跟踪传感器电路的可能性。整个电路是自供电的,因为它仅使用从光电探测器获得的功率。无需额外的外部电源。布置光电探测器,以便它们可以感应太阳辐射的方向。基于输出端的信号处理电路,将生成两个高度敏感的电压信号。这些信号对应于太阳相对于光电二极管的俯仰角和侧倾角。该电路具有固有的自动增益控制。因此,输出信号仅与这些角度成比例,而不与太阳辐射水平成正比。
传感器电路
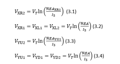
拟议的简单自供电太阳能跟踪传感器电路原理图如图1所示。处理来自光电探测器的信号仅需要两个运算放大器和几个电阻器。此外,由于光电探测器(光电二极管PDYU1,PDYU2,PDYD1,PDYD2,PDXR1,PDXR2,PDXL1和PDXL2)在光伏模式下工作,因此产生的功率足以为运算放大器供电。X和Y方向都使用串联连接的四个光电二极管(PDYU1,PDYU2,PDYD1和PDYD2)为运算放大器OP1和OP2供电。在光伏模式下,在光电二极管处获得的相应电压由下式给出:
其中Vi是对应的第i个光电二极管电压(i = YU1,YU2,YD1,YD2,XR1,XR2,XL1和XL2)光电二极管电压,VT是由VT= KbT / q给出的热电压b= 1.38×10-23 J / K是玻尔兹曼常数,VT是绝对温度,Vq = 1.602×10-19 C是基本电荷,ℜ是光电二极管的响应度,Pi是第i个光电二极管捕获的光功率,Is是光电二极管的饱和电流。
为了将光电二极管保持在光伏模式,它们必须连接到高阻抗节点,因此需要较高的电阻RL值。相应的光电二极管捕获的光功率取决于外壳内的阴影位置,即取决于有源光电二极管表面上的阴影分布。如图1所示。如图2所示,光电二极管表面上的主动照明区域取决于太阳相对于光电二极管的俯仰角和侧倾角。这自然仅对具有以下特征的光电二极管有效:被机箱遮盖。例如,如果太阳从第一象限照亮传感器,如图2所示,则只有光电二极管PDYU2和PDXR2将在阴影中,其对应的照明区域将是
其中假设小间距ξ和滚动ψ角(ξ,ψ≪ 1),因此在第一近似中给出了照明光电二极管面积相对于相应角度的线性依赖性,其中A是光电二极管有源表面的面积,K是取决于传感器几何形状的正比例常数,其中A≫Kξ,Kψ也是有效的。
图1:简单的自供电太阳能跟踪传感器电路原理图
根据等式(1)的相应光电二极管电压由下式给出:

其中E是太阳辐照度。输出电压VX和VY给出为:

其中RF是反馈电阻的电阻。公式(2),(3)和(4)给出:

在第一近似中,输出电压信号VX和VY与传感器灵敏度为S的俯仰角和侧倾角成正比。由于输出信号与太阳辐射无关,因此该电路具有固有的自动增益控制。
图2:相对于传感器的太阳位置的测量
通过SLG88103运算放大器实现
一个简单的自供电太阳能跟踪传感器电路的实现将基于GreenPAK™SLG88103运算放大器的极低功耗特性。为了测试提出的电路,已经在LTspice中进行了仿真。图3中显示了仅用于单个轴的模拟电路。系统电路由两个此类子电路组成,每个子电路旨在感测太阳的单个轴位置。作为光电检测器,由于欧司朗光电半导体公司的四个BPW34光电二极管的感测面积相对较大,为7.45 mm2,因此已用于仿真中(2.73毫米×2.73毫米)。光电二极管的香料模型也由Opto Semiconductors提供[具有增强的蓝光灵敏度的BPW 34 B硅PIN光电二极管;在SMT版本1.6,数据表,欧司朗光电半导体中]。
图3:仿真电路原理图
太阳辐照度已通过两个电压源VPD1和VPD2建模,其中以毫伏(mV)为单位的电压对应于以mW / cm2为单位的太阳辐照度。在1 mW / cm2(1 mV)到100 mW / cm2(100 mV)的范围内扫描太阳辐照度,其中100 mW / cm2也代表太阳辐照度的最大可能值。如上所述,如果传感器表面和太阳之间的角度不垂直,即俯仰角和滚动角不等于零,由于光电二极管的故意局部阴影,在光电二极管表面。已经使用不同的太阳辐照度值,即使用不同的电压源VPD1和VPD2值对光电二极管表面上太阳辐射的不均匀分布进行了建模。相应的仿真结果如图4所示。
可以从仿真结果得出的结论是,该电路对太阳能照射方向的变化高度敏感,该变化与电压源VPD1和VPD2的相应电压的变化相关。所提出设计的重要特征是,只要运算放大器的轨到轨电压大于1.71 V,传感器的灵敏度就不会取决于太阳的整体照度。传感器响应的斜率以对数标度表示。因此,传感器具有固有的增益控制,这是该传感器电路的一个非常重要的特征,特别是如果已将其用于控制回路中,其中整个系统的稳定性至关重要。
图4:拟议电路的仿真结果
光电二极管分流电阻RSH给出为:
其中,在BPW34光电二极管的情况下,与ℜ= 0.5 A / W,A =7.45毫米2和E的最小太阳辐照= 1毫瓦/厘米2,给出了R的光电二极管分流电阻的最大值SH≈ 670Ω。在光伏模式下操作光电二极管的分流电阻必须大于光电二极管的负载电阻,即,必须满足- [R小得多SH«ř大号。通过选择RL= 1MΩ,此条件肯定可以满足。反馈电阻RF的值可以任意选择以获得期望的灵敏度。在此应用中,选择了RF= 30MΩ的值。
根据图4中的模拟结果,最大输出电压在VX,YMAX≈1V范围内。因此,流经反馈电阻器并因此流经负载电阻器的电流小于IFMAX= VX,YMAX/ R˚F≈33 nA的,这比I的运算放大器的静态电流小得多Q= 375 nA的。运算放大器的静态电流必须满足条件IQ«ℜAE以使光电二极管的在光伏模式和偏置运算放大器同时工作正确。由于对于最小太阳辐照度E = 1 mW / cm2,ℜAE≈37μA这个条件也得到满足。
示例实施
使用评估板用于测试电路的创建SLG88103运算放大器和光电二极管。原型板实现的电路的照片以及基于光电二极管的传感器一起显示在图5中。圆柱体(即阴影器)固定在传感器板上,以便在被太阳照射时形成阴影。可以根据传感器的灵敏度和所需的测量范围来选择气缸尺寸。在该项目中使用的传感器具有圆柱状阴影器,圆柱体的内径为38毫米,圆柱体的高度为35毫米。
图5:测试板和传感器的照片
为了确定整个传感器电路的传递函数,将传感器安装在一个平台上,该平台的倾斜角度可以改变。传感器对准太阳,并通过控制倾斜角(即平台的俯仰角和侧倾角),将电压VX和VY都调整为尽可能接近零。然后,通过改变平台的相应倾斜角,传感器的俯仰角和横滚角相对于太阳的变化范围为– 5°至+ 5°,同时测量输出电压。传感器电路的传递函数如图6所示。根据测得的数据集,估计传感器的灵敏度约为S≈56 mV /°。
图6:传感器电路的传递函数
总而言之,太阳能跟踪传感器在许多太阳能系统(光伏系统)中具有非常重要的作用,以提高整体系统效率。为了将太阳能电池板引向太阳,控制环使用从太阳能跟踪传感器获得的信号使电池板向太阳旋转。因此,如本申请所述,一种简单,可靠(无需额外电源)且具有成本效益的传感器将改善太阳能发电系统的特性。
可以使用光电检测器和阴影几何形状的不同组合来测试提出的自供电太阳能跟踪传感器电路,以实现可以更好地适合最终用户需求的特性。
编辑:hfy
下一篇:浅谈纳米传感器技术的机遇