时间:2021-05-06 14:55
人气:
作者:admin
赛普拉斯半导体公司基于片上系统的设计基于应变片的传感器及其完整的模拟接口集成,赛普拉斯半导体公司
应变片是用于测量物体应变的有用传感器。使用粘合剂将它们固定在受力的物体上。电阻的最终变化包含所施加力的信息。这有各种各样的应用。最常见的应用是各种机械中的秤设计和力测量。气动阀和土木工程应用,冲击传感器和医疗传感器是一些其他应用。
在众多应用中,应变仪是有用的工业传感器组件。为了准确测量所施加的力,了解应变仪及其参数很重要。需要对传感器信号(电阻变化)进行有效调节,以使系统产生的信噪比足以准确确定应力的大小。它包括一个模拟信号调理路径,然后转换为数字代码。本文从对应变仪的理解开始,并介绍了连接它们时必须意识到的各种非理想情况。
了解应变仪:
应变定义为在施加力的情况下物体的变形(在弹性极限范围内)。它是无量纲的量,根据应变计所粘附的表面,它可以是拉伸的或压缩的。

当物体受到单轴力作用时,其长度会沿图1所示的相同方向延伸。伸长时,它还会经历垂直收缩。这由泊松比定义,泊松比是垂直方向上的应变与轴向上的应变的负比。通常,应变仪具有蛇形/缠绕图案,以便在施加的力的作用下使导电材料的面积最大化。
应变仪系在直接受力的物体上。这被称为载体,将物理量的变化转换为应变仪电阻的线性变化。量表因子(G)用于关联此变换,并由下式给出:

应变计的标称电阻通常在几十Ω至几kΩ之间。将应变计连接到电子设备的第一个挑战是电阻变化的幅度。例如,应变最大值为1m且应变系数为2时,电阻变化仅为0.2%。当我们考虑标称电阻时,这种变化很小。典型的变化可以是几Ω或更低。除了应对如此低的阻力外,在将力传递给电阻变化的过程中还会有许多误差来源。理想情况下,施加的力应使电阻成比例增加。但这不是由于寄生虫引起的情况,例如,从应变仪到电路的引线可能具有比实际变化更大的电阻。此外,应变仪电阻的温度系数也很关键,因为测量变得依赖于另一个因素。为了进行补偿,制造商通常会根据所连接材料的温度系数来对量规进行补偿。这会降低热敏性,但并不能完全消除它。
电阻式传感器读数:
惠斯通电桥配置是读出传感器信息的一种常用方法,在这种情况下,由传感器电阻变化引起的不平衡会导致电压差。

来自应变仪的信息包含在差分信号(Vo)中。

一种简单的测量方法是用应变仪代替电桥(R1)的一个电阻,而臂的另一电阻保持在应变仪的标称电阻(R3 = Rn)。这称为四分之一桥方法。R2和R4保持相同的阻值。

对上述四分之一桥电路的另一种修改是在桥上增加了一个非常准确的分流电阻,该电阻可用于校准(在有分流电阻和无分流电阻的情况下找到电压差,将可测量每Ω变化的电压变化量)。
从(3)可以看出,输出电压取决于非线性项。为了消除这种情况,我们可以修改电桥,使其包括一个垂直于作用力的虚拟应变仪而不是R3。该量规同样受温度影响,而不受感测量影响。
向前迈进一步,我们可以得到一个有源计,该计在相反的方向受到影响(压缩成细长形),从而使输出线性相关,灵敏度为(4)的两倍。这被称为半桥方法。

通过包括所有活动元件,每个臂具有受施加力的增加和减少影响的量规。这也称为全桥方法,该方法涉及使用四个应变仪,并导致幅度上最敏感的响应。

对于使用全桥,通过在横向上包括两个量规,而在轴向上包括两个量测力的方向来最大化电路灵敏度。应该注意的是,使用四个电桥不会增加电路灵敏度。因此,使用四个量规是不经济的。取而代之的是,应在四分之一桥上串联两个量规。
错误的来源:
首先,在前面的所有分析中,我们都假设了理想的组成部分。在实际应用中,电阻公差会生效。由于电桥中的实际电阻变化很小,因此会导致电压饱和以及大的共模偏移。诸如使用自动调零的抵消取消技术或修改以包括通过修整或校准来调整公差的平衡电路的技术可以克服此问题。
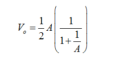
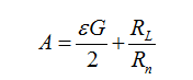
第二个错误是由于将仪表连接到电桥的导线电阻引起的,从而使应变仪的测量变得不敏感。如(6)所示,这将导致修改后的仪表系数,在计算施加的有效力时应将其用于校正。由于引线电阻对温度的依赖性,该附加电阻导致失调,增益误差,这是误差的另一个来源。

桥固定在物体表面上,以监视所施加的力。导线会引入额外的电阻,并且会成为噪声的来源。将这些包括在四分之一桥配置中,可以使我们的输出电压为:

其中因子A由下式给出

通过使用三线连接可以克服引线电阻。考虑图3所示的三线电桥电路。RL表示线电阻,而电源(VS)是电桥的激励电压。考虑到R1,R3相等,我们可以确定所得的应变仪电阻为:

没有电流流过的中间电阻充当感测引线。为了获得完全补偿的假设是引线电阻相同,具有相同的温度系数并保持在相同的温度下。实际上,这是不正确的,因此使用了其他复杂的方案,例如四线制或偏移补偿机制。
应变计的接口电路设计:
在本节中,我们讨论一种可能的应变计接口电路。重点将放在展示如何通过赛普拉斯的可编程片上系统(PSoC 3)封装桥外的完整设计。
总体设计如图14所示。我们在这里使用的配置是一种调制方案,其中使用正弦信号。

PWM发生器用于通过中心频率为5kHz的带通滤波器将源激励信号馈送到电桥。使用PSoC中的可用运算放大器可以实现有源带通滤波器。C_hpf,R_hpf控制高通滤波器响应,而R_gain,R_gainf提供增益,而R_lpf和C_lpf提供低通滤波。它们的级联提供了所需的带通特性,该特性会过滤来自PWM发生器的正弦波,以馈入电桥作为激励源。信号然后由仪表放大器(使用三个运算放大器拓扑)进行放大,然后使用混频器和相同的正弦信号源进行下变频。包含传感器信息(节点电压差)的下变频信号由转换器数字化。
结论:
我们已经将应变仪描述为在工业应用中有用的传感器。讨论了它们的工作原理,并显示了影响测量的各种形式的误差。最后,我们展示了一种使用桥的载波频率激励的接口电路的方法。完整的设计可以使用赛普拉斯的PSoC在芯片上实现,这可以提高性能并在此类接口应用中提供所需的精度。
参考文献:
1.“ PSoC3体系结构TRM”,赛普拉斯半导体公司
2.“应变仪选择(TN-505)”,Vishay精密集团。
3. Wendladt等人,“移动应用中的电阻应变式传感器的信号调理”,汉堡TU,SomSed Workshop,2009年。
编辑:hfy
下一篇:传感器接口入门指南:保护微控制器