时间:2021-04-30 16:01
人气:
作者:admin
大部分Allegro单向电流传感器IC都经过微调,以使零安培输出为0.1×VCC。使输出电压为0.1×VCC的优点是,在饱和之前,输出摆幅可以稍低于该值,从而允许用户测量零安培和略微负电流。如果Allegro试图在零安培下将输出修整为零伏,则该部件的输出驱动器将在零伏以上饱和,从而降低了测量非常接近零安培的电流的能力。本应用笔记介绍了一个简单的运算放大器电路,该电路可用于减去许多Allegro电流传感器IC的0.1×VCC失调,并将失调电压移至任何所需的值。
应用电路
图1显示了一个简单的差分运算放大器电路,该电路可用于消除Allegro单向电流传感器IC的失调。

图1具有差分运算放大器的电流传感器
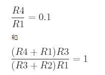
电阻的选择必须满足以下条件:

该示例说明了如何从IC的输出中减去0.1×VCC的内置失调。通过选择正确的电阻值,可以从IC的输出中减去VCC的任何分数。
描述差分运算放大器电路的公式为:
结合方程式1和2表示:

选择R1至R4的值,使其满足方程式3和4,将导致传感器输出的正确偏移。示例值包括:
R1 = 100kΩ
R2 = 10kΩ
R3 = 100kΩ
R4 = 10kΩ
虽然此电路配置将减去传感器IC的固有偏移,但在零安培时,输出电压VSHIFTED不会恰好为零伏。这是由于外部运算放大器在高于零的某些电压下会饱和。因此,重要的是要使用尽可能接近真正的轨到轨运放的运放,或者为其提供足够的负电源而不是接地。
这些类型的运算放大器很容易获得,并且比大多数Allegro传感器IC的输出具有更好的轨到轨性能。这是由于对Allegro传感器IC的输出级进行了优化,以提供与检测到的电流成比例的高度线性模拟输出,而不是轨到轨能力。
实验结果
上述电路用于移动ACS713-30A的输出,因此它没有固有的失调电压。原理图如图2所示。

图2带有输出移位电路的ACS713原理图
编辑:hfy