时间:2021-01-16 12:01
人气:
作者:admin
“电感饱和”这个一直听到的词汇你究竟理解其含义吗?除了电流弯曲失真、烧坏器件这些表象,在物理上“饱和”到底是什么意思?
感值、耐温、饱和电流、尺寸、价格 —— 这五个是我们电感选型的基本坐标系,当然我们还会考虑线圈和磁心的形态、磁材、安装焊接方式。选型过程中最恼火的无过于在数十个电感中找到合适的,却发现其中一个参数不满足要求,或者仅仅因为发生概率极低的峰值功率而导致的饱和电流不足而带来过大的设计裕量。
“感性”的秘密
电感之所以呈现感性,即流过电感的电流会滞后于施加在电感上的电流(事实上是滞后 90 度相角):
因为楞次定律,电感就像熊孩子抓住家里的宠物,阻碍宠物的前进(电流的变化),你得给熊孩子一些压力,他先会不大情愿,然后再让宠物(电流)走一下(我们充分利用了这个不听话的特性来实现我们扼流 Choke 的目的);电感又像一个弹簧,当你施加压力的时候,它把一部分能量存在自己体内,剩下的一部分能量传输出去,当弹簧被压缩到极,它没办法再存储更多的能量了,即发生饱和,所有增加的能量都被悉数传递出去,电感失去了它的滞后作用。
在物理上弹簧这个例子或许更加恰当,就像下面这段在网上找到的教科书般的答案:
电子在原子外层绕著数层轨道旋转,每一层电子旋转都会依愣次定律产生一微弱的磁场,每一层的磁力不同、方向也不同,但合力为零,没有磁性。当一线圈通电流,同样的依愣次定律产生一磁场,磁力线穿过磁性材料(铁心),磁性材料内原子的电子旋转轨道开始转向,以抵消线圈产生的磁力线,线圈电流越大,越多磁性材料电子的旋转方向改变,所有磁性材料电子旋转方向都相同时,就是磁饱和。
电感饱和原因与理论分析
当我们在所有电子上都叠加一个共同的旋转方向,就像整齐划一的军队方阵,它的磁力就达到了,不能再增加磁力就被成为饱和。这种说明足够形象,可以定性解释饱和的概念,但是定性可能并不能让你满足,物理的魅力远远不止在定性分析。
电感饱和的物理意义
当我们谈论电感饱和的时候,实际上是在谈论铁心饱和,空心的电感永远不会饱和。这时候很直观的问题就是:为什么不使用空心电感呢?这就必须从电感量的计算公式说起(这里直接拿出结论,具体的推导将在下一部分提到):

式L中是感量,磁导率μ,绕组等效匝数N,磁路的等效截面积为S,电感线圈等效磁路长度为ɭ。
显而易见,要提高感值可以增大分子μ、N、S ,减小分母ɭ。N往往受限于体积(尤其是功率电感的线非常粗,每一匝都会大大增加体积,且提高N也会提高)、线阻(发热)、寄生电容(尤其是 EMC 电感,寄生电容会大大削弱其高频抑制能力)。
在相同 dimensions 下,提高μ几乎是唯一途径,空气的磁导率几乎等于真空中磁导率μ0,而性能优异的磁性材料μ可达2000μ0,空心电感对比含有磁心的电感,其感值也会相差几千倍。

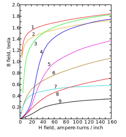
9种铁磁性材料表示磁饱和的磁化曲线
(1.钢板 2.硅板 3.钢铸件 4.钨钢 5.磁钢 6.铸铁 7.镍 8.钴 9.磁铁矿)
“成也萧何,败也萧何。”μ帮助我们获得高感值,却也带给我们饱和的问题。磁场强度H和磁感应强度B的关系可以用磁导率表示:
磁性材料的磁导率不是一个恒定不变的量,而是取决于磁场强度H。在会发生磁饱和的金属中,随着通过电感的电流增加,相对磁导率μ随磁场强度H的增加达到一个最大值,然后随着它的饱和减小,最后会变为1,所以相应的电感L也趋向空心电感。
换句话说,就是变成了导线,这就是电感饱和的物理意义。电感不会消失,只会退化成空心电感。
B-H曲线(在很多教科书里它有另一个名字:磁滞回线,当然,磁滞回线还有另外三个象限)如下图所示,在H的右极限处,所有的材料都会趋向于同一根直线,这就是大自然的物理收敛:

因为磁饱和,铁磁性材料的磁导率μf会随磁场强度增加,上升到一最大值,之后渐渐下降。
用麦克斯韦方程组计算一切 —— 一切电磁相关的物理量,都可以从麦克斯韦方程组得出。电感并不例外:

电感(这里只考虑自感)的物理定义式是:

它描述的是在单位电流变化率:

物理上最挠人的几个事实之一就是,定义式往往不是用来设计的公式,针对后者我们还会有一个更常用的计算公式,下面来推导一下:根据法拉第定律(麦克斯韦方程之一),感应电动势等于磁通(
)变化率,如果是多匝线圈还需要考虑绕组等效匝数:

编辑:hfy