时间:2020-10-06 16:39
人气:
作者:admin
考虑到美观、整洁和成本效益等方面的因素,在包括消费类电子产品、家用电器等在内的许多电子产品中,触摸传感应用正变得越来越流行。本文将讨论与电容触摸传感">电容触摸传感工作相关的基本概念,以及如何简便地实现电容触摸传感">电容触摸传感功能。
电容的相关物理性质
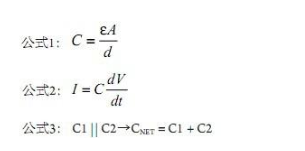
为了更好地理解在电容触摸传感">电容触摸传感应用的硬件、布线和软件开发中需要采取哪些措施,了解它内在的物理性质非常重要。控制它的是两个基本公式和一个常识。第一个公式(见公式1)用于求电容值,它说明如何根据极板模型使用面积、距离和材料属性来定义电容。第二个公式(见公式2)说明电容电压与电流的关系,并引入RC电路的充电速率(等于时间常数τ)。第三个公式(见公式3)说明并联电容的总电容值等于两者相加。

公式1是双极板电容的模型。它适用于触摸传感应用,因为在将手指靠近传感器极板时,手指的作用也类似于一个极板。传感器具有一定的标称电容C1(由于走线、附近的地线等原因而产生)。将手指靠近时,距离“d”下降,而和A上升,并引入了并联的附加电容“C2”。所产生的效果就是传感器线路上的电容上升,上升值等于附加电容C2。然后,软件必须通过硬件(向单片机中输入传感器读数)来检测电容变化。硬件将利用公式2(充电时间公式)的某种形式向单片机传达传感器读数。
传感器设计
传感器设计通常很简单。设计布线时,需要注意容性耦合效应及其关联的物理性质。焊盘的面积及覆盖在其上方的材料的厚度是最关键的因素。对于小键盘类型的应用,传感器的大小应当至少为将手指按平时,指尖面积的大小。根据公式1中的面积“A”,传感器较大时,其传感能力通常也较好。此外,人们并不一定能够恰当地控制手指的放置位置(从而控制产生的电容),而不同的两个人也不会具有完全相同的电容。所以,传感器的容限必须尽可能很大,可以处理遇到的各种触摸情况,同时准确地报告按下状态。
有些时候,指尖大小的传感器并不总是最佳的。作为一条准则,传感器焊盘上方的材料越厚,焊盘就必须越大,才能检测到是否有手指按下。这是因为根据公式1,当传感器焊盘上方的材料厚度增加时,距离“d”就会增大,从而手指的电容就会下降。对于需要非常精确的传感器控制的应用(例如,传感器很小),如果材料覆盖层很厚,则最终会限制传感器检查按下状态的能力。因此,如果传感器非常小,覆盖层必须尽可能薄。此外,如果非常小的传感器相互紧邻,还会产生容性耦合,在传感器之间布置接地电路可以减少这种耦合效应。此外,还可以使用一些软件技巧来辨别相互耦合程度很高的传感器。
用于捕捉传感器数据并将其转换为数值(读数)的硬件可采用许多方式开发。在电容触摸传感">电容触摸传感设计中,用硬件区分不同单片机供应商针对此应用推出的产品。根据公式2,可以测量和电流与电压关系有关的3个基本量:
1. 充电至固定电压需要的时间变化量(Δt,固定V);
2. 固定充电时间内的电压变化量(ΔV,固定t);
3. 固定时间周期中的频率变化量(Δf,固定T) 。
频率测量方案基于充电速率公式(重复许多次),但它对应于较长的周期T,而不是单个充电周期t。所以,充电至固定电压需要的时间变化量(Δt,固定V)和固定充电时间内的电压变化量(ΔV,固定t),定义了检测电容变化的基本方法。根据需要,可以基于这些基本方法来构造新的测量方案。
对于测量充电至固定电压需要的时间变化量这种方法,手指产生的附加电容会增加充电时间(C上升),所以时间读数会相应地上升。对于测量固定充电时间内的电平变化量这种方法,附加电容会降低相同时间量内所能达到的电压,所以电压读数会下降。最后,对于测量固定时间周期中的频率这种方法,频率会随振荡器RC常数的上升而下降。因此,频率读数会下降。
本文以频率测量方案为例进行说明,但每个系统都会应用后处理方案。使用一种方案时,电容读数可能会上升,而使用另一种方案时,电容读数可能会下降,但这可以在软件中调整。选择了硬件方案之后,读数将根据请求输入单片机,或按照软件配置指定的其他时间间隔输入单片机。
单片机软件与后处理
单片机中的软件负责处理电容触摸传感">电容触摸传感应用中的许多工作,前提是硬件和传感器均正常工作。传感器和整个系统的质量越好,软件的实现就越简单。开发软件之前,需要记住每个传感器都具有一定的固有寄生电容:Cp(或公式3中的C1)。因此,每个传感器都可以检测到某个标称值。通过观察传感器的输出,可以直观方便地确定它,但必须先在软件中设定该标称值,然后才能以此为基准计算相对于它的偏差。实现它的最好方式是创建一个滑动平均值——即,16 点平均值。通过存储先前16个值来计算平均值的效率很低,所以改为使用一种看起来较复杂,但计算较简单、可节省存储空间的求均值方法。
与具有极强计算能力的较大的计算机处理器相比,单片机通常在这方面受到限制。与实际执行除法相比,使用移位、加法和减法可以降低性能损失。此外,这个求均值程序并不仅限用于电容触摸传感">电容触摸传感——它对于8位单片机的很多应用都非常有用。
确定了平均值后,接下来必须构造传感器扫描循环,目的是监视相对于平均值的偏差。从一个简单循环开始,如图1流程图所示。扫描循环使用中断来驱动,并使用两个定时器和频率偏移检测方法。Timer0决定固定的时间周期T,在该时间周期内,将测量进入Timer1捕捉模块的正边沿数量,然后它产生一个频率测量值。正边沿数量越多,说明频率越高。准备好获取测量值时,Timer0发生溢出以触发中断,而Timer1会测量正边沿数量。流程图的“捕捉读数”框显示了何时获取读数。

下一步是确定按钮是否被按下。如果按钮未被按下,则继续对传感器读数求均值。如果按钮被按下,则不对传感器读数求均值,也就是说它将继续一直跟踪读数(通常这不是所期望的)。然后,通过在C代码中使用位标志或通过其他方式,向应用程序代码指示按钮已被按下。不要在中断服务程序(ISR)中调用需要大量进一步计算的程序——较好的做法是设置一个标志,让主循环进行响应。
此时,如果只有单个按键,则按照基本方法的描述,通过将定时器清零或将电容对地放电来重新开始测量过程。如果存在多个按键,则按顺序扫描每个按键。按照图1中的流程图,基本的系统可以定期扫描按键。
尚待讨论的是如何确定按键是否被按下。最需要考虑和注意的是图1中的“按键是否被按下?”判断块的细节。这将在下一步讨论。
为了确定按键是否被按下,需要先确定滑动平均值。确定平均值之后,根据测量值相对于平均值的偏差可以指示按键是否被按下。对于我们的系统,读数下降表示按键按下。因为涉及到一些环境效应和其他因素(例如噪声),所以必须设置一定的容限。但是,该系统未提供迟滞值,若读数在均值与判决门限值之差附近上下变化,就会出现系统在判定按下与未按下之间来回振荡这一糟糕的情形。为了避免这一点,需要包含迟滞值:
if (reading < average – trip) {
Buttons.SENSOR0 = PRESSED;
} else if (reading > average – trip + hyst) {
Buttons.SENSOR0 = UNPRESSED;
}
以上代码在按钮释放中增添了迟滞值,使按钮不会产生振动。这也为电容开关构造了最低程度的消抖功能。机械按钮会在0-VDD之间来回抖动。电容按钮不会产生该问题;但是,通过增添迟滞值,按钮按下的操作与原来无异,只是加强了对按钮释放的判断。这可以产生最低程度的消抖效果,因为单次按下仍然可以触发按键。要进一步增强消抖,可以要求连续几次的传感器读数均有效,才表示按钮确实按下,然后向应用程序指示按钮被按下。这样可以防止虚假的低读数影响系统。
复杂解码方案
上面用于确定按钮是否被按下的解码方案是相当简单的。
对于百分比按下检测,将继续使用前面讨论的求均值方案。但是,读数变量将变换为如下形式:
unsigned long percent;
percent = average – (reading*16);
if (percent < 0) {
percent = 0; // 忽略电容上升
} else {
percent = percent * 1000; // 乘以1000
percent = percent / average; // 结果使用100.0%的形式
}
结果变量percent包含0~1000的值,更具体地说,值的范围约为0~200(代表20.0%)。结果值保持单个小数位,因为更多小数位并不会提高精度。
更换先前的“if”语句,产生类似于以下语句的“if”语句:
#define PCT_ON 50 // >5.0%,打开
#define PCT_OFF 30 // <3.0%,关闭
if (reading < PCT_ON) {
Buttons.SENSOR0 = PRESSED;
} else if (reading > PCT_OFF) {
Buttons.SENSOR0 = UNPRESSED;
}
下一个复杂解码方案称为“多键表决”。如前面所讨论,传感器不仅会与手指和周围的地产生耦合,而且会相互耦合。因此,触摸一个传感器会影响另一个传感器,但影响程度通常会低于其他意外激励。如果即使影响程度较低,影响仍足以触发按下状态,会发生什么情况?
开发多键表决系统可以帮助解决该问题,以及与小键盘污染关联的其他问题。多键表决系统会选择按下后受影响最大的按键,代价是多次按下动作只能产生单个按键响应。例如,如果触摸会影响两个按键,但手指按下的按键受到的影响最大,该算法将选择受影响最大的按键。
该算法必须获取来自所有可用传感器的数据。举例来说,假定使用了4个传感器。算法还是使用百分比按下检测方法,因为每个传感器的读数可能会稍有不同,采用相对与原始值的偏差可以起到一些帮助。系统必须扫描全部4个传感器,并在扫描之后执行以下步骤:
1. 首先,扫描所有传感器;
2. 在每次扫描期间,记录每个传感器的受影响百分比;
3. 根据受影响程度进行排序;
4. 基于步骤3,对索引进行排序;
5. 位于数组单元0的传感器的受影响程度最高;
6. 确定是否大于最小门限值;
7. 指示按下/未按下。
代码示例1(略)
最后一个复杂解码方案也是百分比方案。百分比计算会占用8位单片机上可用存储器总空间中大量的程序和RAM存储空间,占用。在可能的情况下,最好降低这种存储器消耗。如果使用较大的数值,并可以承受一定的分辨率损失,则可以使用一种较简单的百分比方法。
通过使用更多的移位来代替除法(类似于求均值方案),可以用如下方式确定平均值的百分比门限值:
threshold = average >> 3; // 传感器
// 门限值现在为1/8,即12.5%
if (reading < average – threshold)
{...}
以下列出了一些有用的百分比。
threshold = reading >> 1; // 1/2 = 0.500
threshold = reading >> 2; // 1/4 = 0.250
threshold = reading >> 3; // 1/8 = 0.125
threshold = reading >> 4; // 1/16 = 0.063
threshold = reading >> 5; // 1/32 = 0.031
threshold = reading >> 6; // 1/64 = 0.016
threshold = reading >> 7; // 1/128 = 0.008
对于进行移位的每个位,门限值会损失一定的舍入分辨率。但是,使用较大的16位数值时,对于1/16的百分比(即6.25%),损失4个最低位是可以接受的。现在,对于简单百分比计算,可以省去前面使用的unsigned long percent变量,以及执行除法所需的额外计算量。这是另一种并不仅限用于电容触摸传感">电容触摸传感的技术,但它对于触摸传感的实现非常有用。
结论
有许多方法可以实现电容触摸系统,市场上针对此应用推出的各种嵌入式产品充分证明了这一点。关于这些解决方案有趣的一点是它们基于相同的物理原理,具有共同的基础。其中一些解决方案采用了不同的布线方式(将地与传感器组合);许多解决方案涉及到使用专有的材料。但是,电容触摸传感">电容触摸传感背后的概念是相当简单的——关键在于在实现设计时需要理解应用背后隐含的物理原理。基于这种理解,结合对于所用硬件和软件方案的良好理解,就可以简便地实现电容触摸传感">电容触摸传感系统。
作者:Thomas Perme 微芯科技公司 应用工程师