时间:2018-03-16 09:02
人气:
作者:admin
前言定位是感知应用的一个重要属性。在室内环境中,如果位置信息可用并非常可靠,有更多的应用场景可以实现的。行人航位推算(PDR) 就是这样一种技术,在室内环境中可提供行人航位信息并提高定位可靠性。惯性传感器、磁力计和压力传感器是航位推算应用中必不可少的传感器组件,用之可大幅提升导航性能,这些器件的功耗必须极低,这样才能始终保持开启模式并提供数据用于航位推算应用。实现随时随地定位的目标离不开高品质的MEMS传感器和高性能的行人航位推算算法。本文主要讨论各种行人航位推算算法上需要用到的传感器组件的数学表述,以及可用性和可靠性更高的PDR行人航位推算算法的测试结果。定位技术概述全球导航卫星系统(GNSS)接收器已成为室外导航解决方案的常用电子元器件,今天几乎每一台智能手机内部都有一个这样的卫星接收器芯片,可实现各种与位置相关的移动服务,其中包括导航、兴趣点搜索和地图。
用户开始期待他们的设备在所有环境中都能提供位置信息,但是他们通常忽略卫星信号是不能穿透商厦和候机楼的墙壁和屋顶这个事实。建筑材料会使全球导航卫星系统信号衰减变弱,即使高灵敏度接收器也无法在室内收到定位信息。目前业内正在开发不同的行人航位推算解决方案,大都采用无线发射器充当信标,利用三角测量法计算接收器的位置。这些解决方案利用室内环境中的Wi-Fi接入点(AP)定位。类似的解决方案还包括使用蓝牙发射器、GSM和其它手机发射器或专用信标,例如Nextnavfor室内定位设备。这些技术整合运用服务器等基础设施传送的辅助GPS/GLONASS数据、星历扩展数据和Wi-Fi接入点(AP)位置数据。此外,还有一种使用MEMS传感器(加速度计、磁力计、陀螺仪和高度计)计算位置数据的室内导航技术。今天几乎所有的智能手机、平板电脑、数码相机、健身产品等便携消费电子产品都配有MEMS传感器。
这些传感器配合行人航位推算(PDR) 技术能够确定用户位置。每项室内定位技术都有其长处和短板。数据整合按照定位精度和功耗要求,微控制器整合处理各类信息源送来的信息,然后将具有不确定性的单一位置值提供给应用。使用信任参数、相关参数和过去测量数据推算每个位置,权衡Wi-Fi、蓝牙、行人航位推算和全球导航卫星系统等多个技术送来的信息,数据整合算法在其中发挥着关键作用。在室外,全球导航卫星系统接收器送来的位置信息精度良好,不确定性低。当控制器使用的测量数据是来自用户附近的Wi-Fi接入点时,位置计算信号强度高,Wi-Fi系统送来的位置估测数据精度也就比较高(相关不确定性低)。
不过,Wi-Fi接入点数据库(包含Wi-Fi接入点位置数据及其不确定性数据)的品质也会影响定位精度。PDR行人航位推算不依赖任何外力协助,无需任何外部基础设施配合,就能产生精确的相对位置定位信息。因此,其特点与绝对定位技术优势互补,例如,全球导航卫星系统或基于Wi-Fi的导航系统。因此,PDR行人航位推算适用于混合系统,可以在室内环境确定用户位置,定位的精确度、可用性和可靠性更高。
行人航位推算移动设备中的MEMS传感器因受到数据漂移和噪声的影响,会引起基于积分运算方法的传统惯性导航系统出现难以处理的位移和姿态误差。在行人航位推算应用中,传统积分运算导航方法效果不理想,因为与人体运动相关的复杂动力学很难建模,将其用于运算有不小的难度。
在过去十年中,业内主要开发出两种很有前景的室内环境行人导航方法,一种在参考文献[1]论述的基于零速率更新的INS-EKF-ZUPT (IEZ)惯导方法,另一种是包括步伐检测、步长估算和航向算法的基于人类步行动力学的惯导方法。基于零速率更新的(ZUPT)的方法基于一个假设和一个物理现象,即假设惯性传感器是安装在脚上,且每迈出一步后都是暂时静止状态。本文主要讨论通用性更强的方法。从通用导航方程式[2]可以推出行人航位推算过程的数学表述。在进行两次积分运算后,平台加速度变成了北东坐标系的位置,可以写为:

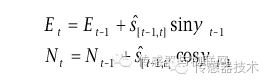
方程式1
其中,(t)是位移,(t)是航向。在行人步伐间隔期间,假设速度和航向是常量。考虑到折线法,方程式1可改写成:

方程式2
方程式2表述航位推算(DR)算法,该方法是基于步数计算,而不是加速度和角速率的积分运算。方程式2的航位推算过程有三个要素:1)在t-1 (Et-1, Nt-1)时最后一次已知的用户绝对位置(用东北坐标系表示);2)从t-1到t(3.png)的步长;3)从时间t-1开始的航向 (ψ) 可以算出新位置相对已知位置(Et-1, Nt-1)的坐标(Et, Nt),如方程式2所示。我们仔细观察方程式2不难发现,行人航位推算精度取决于两个要素:1)行走距离的计算,2)用户航向(或方向)在行人航位推算原理中,行走距离的计算方法是检测估算行人每行走一步的步长,然后累计步长估算值。精确地估算全球用户的步长是一项具有挑战性的任务。目前业内开发出了多个步长精确估算模型,见参考文献[3][4]。图1所示是含有各种组件的行人航位推算系统框图。惯性传感器数据通过校准监视逻辑处理,以保持对加速度计和陀螺仪测量偏差和标度系数的精确估算。磁强计数据通过校准监视模块处理,以决定是硬铁参数还是软铁参数。磁力计数据监视的另一个目的是确定测量数据有无磁性干扰数据,防止磁干扰影响校准参数。

图 1 行人航位推算框图
步伐检测算法利用模式匹配法与人类步态模型特征匹配。加速度模式随着设备携带位置(裤子口袋、腰带包、衬衫口袋)不同而变化。载物位置确定模块用于确定设备常用存放位置,例如,手里拿着摆臂走路;举在头部附近,放在裤子口袋、衬衫口袋、腰带包、双肩背包里。用户航向是行人航位推算方程式的第二个术语,包括设备航向和用户行走方向。计算设备航向需要使用经过倾斜修正的罗盘测量值。不过,因为外部磁扰会影响罗盘的性能,完全依赖罗盘的测量值不现实,这是我们采用一个数据整合滤波器又称姿态滤波器,整合磁力计、陀螺仪和加速度计数据的主要原因。姿态滤波器可以计算设备在人体坐标系相对大地参考坐标系的方向。因为这个数学表达式比较紧凑,所以设备方向用四元数表示,与Euler角度或 9 X 9 方向矩阵相比,四元数更具有数字稳定性。姿态滤波器基于扩展卡尔曼滤波器(EKF)概念,以解决外部磁场强度不断变化和用户在常用情况下导致的设备动态运动对航向的影响。因为航向对总体定位精度的影响巨大,所以必须认真考虑传感器随机噪声、偏差、偏差不稳定性、非线性以及其它的可能降低系统性能的因素。低噪声磁力计的重要性在3-D空间正常旋转设备时,传感器各轴受地磁场强矢量影响,我们使用此时采集到的测量数据计算磁强计校准参数(硬铁和软铁)。偏移估算精度与磁强计数据中的噪声信号直接关联。如果磁力计的噪声非常高,偏移估算精度将会变差,最终将会影响航向估算结果。偏移估算误差对高纬度地区定准更加重要,因为高纬度地区磁场水平场强较弱。即便在水平场强中等地区,1 ?T偏移误差可以引起5度的航向误差,这对于行人航位推算应用是一个不小的误差。行走角度确定姿态滤波器用于计算设备在身体坐标系内的航向。不过,设备可能随意置于用户身体某一位置,姿态滤波器航向与用户航向或行走方向并不一致,如图2所示。

图2行走方向
行走角度α的计算运用了行人运动的身体特征以及加速度波形的周期特征和统计学。测试结果我们采用加速度计和陀螺仪模块(LSM6DSM)、磁强计(LSM303AGR)和压力传感器(LPS22HB)和STM32微控制器开发出一个行人航位推算解决方案,这个由传感器、微控制器和蓝牙组成的硬件参考设计叫做SensorTile™ (详情访问www.ST.com),可以利用一个安卓应用在手机上实时显示行人航位推算轨迹输出。六轴传感器LSM6DSM(加速度计 + 陀螺仪)正常工作模式下功耗小于400 ?A。在这个传感器模块内,陀螺仪的角速率噪声密度为3.8 mdps /√Hz。加速度计噪声密度为90 ?g /√Hz。磁力计的RMS噪声为3 mGauss,采用AMR技术,无温度漂移问题,在高分辨率模式下,工作电流小于200 ?A。压力传感器RMS噪声为0.0075 hPA,温度漂移0.1 hPa。上文描述的传感器的噪声特性和偏移稳定性,配合稳健可靠的高性能行人航位推算算法,可以实现随时随地定位的目标。下图3所示是某些常用场景行走测试轨迹。

图3 行人航位推算在常用场合行走测试结果