时间:2023-10-09 10:26
人气:
作者:admin
说一说索引的底层实现?
Hash索引
基于哈希表实现,只有精确匹配索引所有列的查询才有效,对于每一行数据,存储引擎都会对所有的索引列计算一个哈希码(hashcode),并且Hash索引将所有的哈希码存储在索引中,同时在索引表中保存指向每个数据行的指针。

B-Tree索引(MySQL使用B+Tree)
B-Tree能加快数据的访问速度,因为存储引擎不再需要进行全表扫描来获取数据,数据分布在各个节点之中。

B+Tree索引
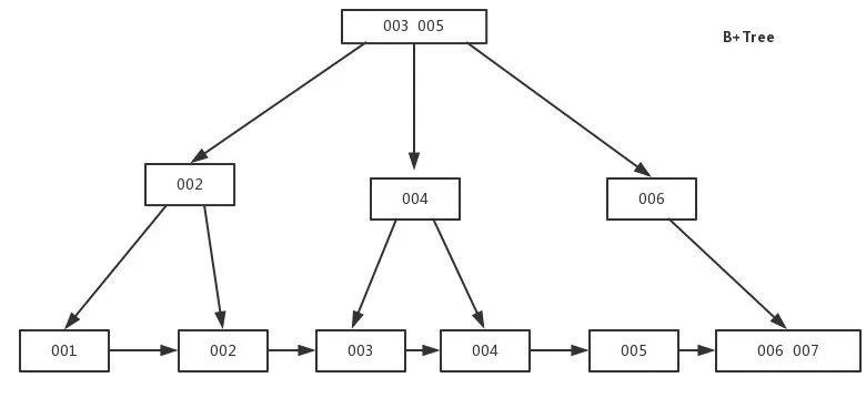
是B-Tree的改进版本,同时也是数据库索引索引所采用的存储结构。数据都在叶子节点上,并且增加了顺序访问指针,每个叶子节点都指向相邻的叶子节点的地址。相比B-Tree来说,进行范围查找时只需要查找两个节点,进行遍历即可。而B-Tree需要获取所有节点,相比之下B+Tree效率更高。
B+tree性质:
n棵子tree的节点包含n个关键字,不用来保存数据而是保存数据的索引。
所有的叶子结点中包含了全部关键字的信息,及指向含这些关键字记录的指针,且叶子结点本身依关键字的大小自小而大顺序链接。
所有的非终端结点可以看成是索引部分,结点中仅含其子树中的最大(或最小)关键字。
B+ 树中,数据对象的插入和删除仅在叶节点上进行。
B+树有2个头指针,一个是树的根节点,一个是最小关键码的叶节点。

上一篇:索引是什么意思 优缺点有哪些
Fidus Sidewinder-100集成PCIe NVMe 控制系统,有