时间:2020-11-02 13:56
人气:
作者:admin
一.LDPC编码介绍
1.为什么要用LDPC编码,LDPC编码相对其他编码的好处
LDPC(低密度奇偶检验)码是由稀疏校验矩阵定义的线性分组码,具有能够逼近香农极限的优良特性,其描述简单,具有较大的灵活性和较低的差错误码特性,可实现并行操作,译码复杂度低,适合硬件实现,吞吐量大,极具高速译码的潜力,在码长较长的情况下,仍然可以有效译码。
目前常用的信道编码体制有BCH码、RS码、卷积码、Turbo码和LDPC码等。其中BCH码和RS码都属于线性分组码的范畴,在较短和中等码长下具有良好的纠错性能;卷积码在编码过程中引入了寄存器,增加了码元之间的相关性,在相同复杂度下可以获得比线性分组码更高的编码增益;Turbo码采用并行级联递归的编码器结构,其分量采用系统的卷积码,能够在长码时逼近香农极限,同时译码复杂度也可以接收,但是它的译码复杂性仍然较大,且码长较长时,由于交织器的存在具有较大的时延。
相比之下LPDC具有以下特性:
(1)译码的复杂度很低,运算量不会因为码长的增加而急剧增加;
(2)采用迭代译码算法,可以实现并行操作,具有高速的译码能力;
(3)吞吐量大,从而改善系统的传输效率,并且便于硬件实现;
(4)译码复杂度与码长成线性关系,克服了分组码在长码时所面临的巨大译码计算复杂度的问题,使长编码分组的应用成为可能。
二.LDPC编码基础
1. LDPC编码的定义及矩阵表示
LDPC码是一类具有稀疏矩阵的线性分组码,在线性分组码中,任意两个码字的和仍属于这个分组码,输出的码字只和输入的信息位有关,即每个消息是独立编码的。
假设信源输出一系列的二进制0和1,这些二进制块分成固定长的消息块,每个消息块记作M,由k比特信息组成,其中M=[m0,m1,…m(k-1)]。然后根据一定的编码方式产生一个n维向量,这个向量就叫做m的码字,假设信息M对应的码字位C,其中C=[c0,c1,…c(n-1)],则可以找到k个线性无关的码字g0,g1,…,g(k-1),使得:
C= m0*g0+m1*g1+……+m(k-1)*g(k-1)
在C中,信息位不变,校验位附加在信息为之后,写成矩阵的形式就是:
C= M*G
G是k行n列的矩阵,又称为生成矩阵。
另外,可以由n-k个n维线性无关向量h0,h1,…h(n-k-1)生成C⊥(表示与C对应的零空间)。因此对于任意的i,hi*CT=0写成矩阵的形式就是H*CT=0。
H为(n-k)行n列的矩阵,通常被称为校验矩阵,用来判断码字是否合法。
2. LDPC码的Tanner图
LDPC编码可以用Tanner图来唯一确定,其和校验矩阵是完全等价的。Tanner图的顶点称为节点,分为变量节点和校验节点,每个变量节点与每个码字比特相对应,它对应校验矩阵的每一行,每个校验节点与每个校验方程相对应,它对应校验矩阵的每一列,变量节点和校验节点之间的连线称为沿,也代表校验矩阵中的1。例如校验矩阵H如下:

图1
用Tanner图来表示H矩阵如下:

图2
在上图中,从节点v1出发,经节点c1,v2,c3,再回到v1,称为一个环,环的周长为该环所包含的边数,周长较短的环影响译码的性能,短环的存在会使得译码重复迭代,影响译码效率,使译码收敛速度变慢,在构造LDPC编码时应尽量避免出现短环。
3.eIRA编码算法
对LDPC码的编码可以采用线性分组码的通用编码方法,但通用编码方法的编码复杂度与码长的平方成正比,编码时延较大,实用性不强。eIRA(extended Irregular Repeat Accumulate,扩展的非规则重复累积码)编码算法,利用校验矩阵的稀疏性进行有效编码,使编码复杂度与码长成线性关系。
eIRA编码算法需要构造具有如下形式的校验矩阵
H=[H1 H2]
其中,H1是一个mXk维稀疏矩阵,H2是一个阶梯状下三角形矩阵,H2的形式如下:

图3
系统码的生成矩阵形式为G=[I P],其中I是单位矩阵 P=H1TH2-T,H2-T的形式为:

图4
H2-T可以看成一个累加器,也称差分编码器。因此,eIRA 编码算法分两步进行,首先将待编码的信息矢量 m 乘以稀疏矩阵H1T,得到中间结果S,然后将中间结果S进行重复累加,得到校验比特,最后将信息比特和校验比特合并起来就得到最终的码字。
三.LPDC编码实现
1.LDPC编码过程
LDPC编码器的任务是将K个信息比特M=[m0,m1,…,m(k-1)]通过编码得到(N-K)个奇偶校验比特P=[p0,p1,…,p(n-k-1)],最后得到的码字是将信息比特与校验比特合并,即得到码长为N的码字[i0,i1,…i(k-1),p0,p1,…,p(n-k-1)]。假设LDPC的码长位16200,码率为1/2,其中Nldpc = 16200,Kldpc =7200,Qldpc=25。
具体计算步骤如下:
(1)初始化p0=p1=p2=…=p(n-k-1)=0
(2)在表格中第一行指定的校验位地址处累加信息位i0,如下图所示,这一步的操作为编码的信息矢量i乘以稀疏矩阵H1T,一共有20行,即360*20 = 7200。

图5
对于接下来的359个信息位,im,m=1,2,…,359。在{x+(m mod 360) * Qldpc } mod(Nldpc-Kldpc)指定的校验位地址累加信息位im,其中x表示信息为i0对应的校验位地址。
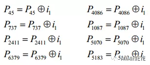
(3)对于信息i1,校验位的地址需要根据 i0的地址来求,例如第一个校验位地址,{20+(1 mod 360) * 25 } mod (9000) = 45,第二个校验位{712+(1 mod 360) * 25} mod (9000) = 737,求出所有的校验位地址,然后进行信息累加,如下:

图6
(4)对于第361个信息位i360,在表中的第二行指定了累加器对应的校验位地址。和步骤3相同的处理方式,接下来的359个信息位对应的校验位地址为{x+(m mod 360) * Qldpc} mod (Nldpc-Kldpc),其中x表示i360对应的校验位地址。
(5)以同样的方式处理每一组信息位,给出每一组对应的校验位地址。
(6)从i=1开始,按照下面的公式完成迭代计算

图7
2.matlab实现
在matlab中,有专门的函数来实现ldpc编码,但是在实现编码之前,需要我们产生一个我们需要的校验矩阵H。这里以Nldpc = 16200 ,码率1/2为例,介绍校验矩阵H的产生过程。
(1)按照上述LDPC编码中提到的,把校验位起始的地址存储起来,用于计算
其他的校验位。

图8
把数据分成两组是因为数据的列数不一样,把相同列数的归到同一组里,这样更方便计算。
(2)根据公式,第一行,计算剩余359个校验位地址,其他行也做同样的操作,如下代码表示计算ct1所表示的校验位,ct2校验位的计算同ct1。

图9
(3)计算完所有的校验位之后,按照如下操作产生校验矩阵

图10
(4)用产生的校验矩阵,计算LDPC编码,这里使用comm.LDPCEncoder函数来实现,在较早的matlab版本中是fec.ldpcenc函数。

图11
3.FPGA实现
FGPA不可能一次性存储那么多的数据,并且也不现实,需要根据实时的计算产生校验位。通过上述的分析可知,LDPC码的编码具有周期为360的并行结构,如果把长度为K的信息比特分成r=K/360组,长度为N-K的校验比特分成s=(N-K)/360如下所示

图12
由每个信息比特对应的校验比特公式pj=pj⊕im,其中j={x+(m mod 360)*q} mod(N-K),x是第im个信息比特所对应的校验比特地址。可知,每一组信息比特均参与了同一组校验比特校验的过程。
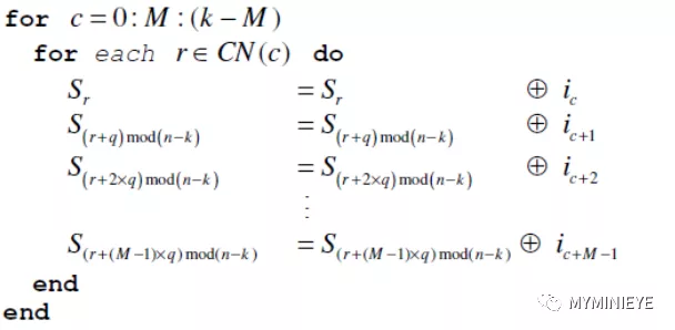
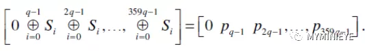
考虑到码的周期性,我们可以同时进行M=360次并行处理,增加编码效率,可以写成以下迭代公式:

图13
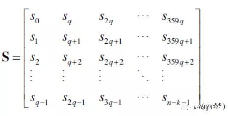
其中符号‘r’和‘c’表示校验矩阵 H 的行和列,和信息节点连接的所有检验节点的集合定义为CN(c)。两个迭代循环,每次计算M个信息位,按照下面的矩阵形式存储Sr

图14
从公式中可以看到,并行更新的M个Sr处于矩阵的同一行,但是输出的顺序并不是我们想要的顺序,不是从行的第一位到最后一位,因此需要对输入的信息位做循环移位,以保证S矩阵的结构。
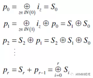
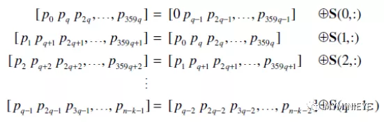
一旦得到Sr就可以得到pr

图15
计算S矩阵所有列的累加和,可以的到下面的向量

图16
然后按照下面的公式计算s’

图17
其中,L位MXM的下三角矩阵,然后将s’逻辑右移一位,得到

图18
最后按照下面的公式,每次计算Mbit校验位

图19
根据以上的公式推导,提出以下的实现结构,有三个主要部分组成:第一部分计算Sr的值,第二部分就算S矩阵中列的累加和,第三部分计算校验位。编码器的系统结构主要包括编码配置模块(Ldpc_contrl),信息位分组计数模块(data_recv),基地址产生模块(Bom_addr),数据地址计算模块(ADDER_GEN),校验位计算模块(iterator),整个系统结构如下图所示:

图20
3.1编码配置
在配置模块中提供了1/4,1/2,3/5,2/3,3/4,4/5,5/6七种码率,为了实现编码方式的可配置,利用寄存器保存不同码率下的参数,主要包括Qldpc,Kldpc,可以在整个系统结构中看到。首先检测配置使能信号,然后加载配置数据,保存参数。其中fram和fram_en是输入信息位和使能延迟输出,考虑到最坏的情况下,配置信号和数据同时到来,需要先配置,才能进行数据的处理,所以对数据要延迟几个时钟周期。
3.2 信息位分组计数
模块的主要作用是对输入的信息比特进行序号标记,采用三个计数器,其中data_cnt为 0~14 表示15个数据 rom_cnt 为 0~23,24组表示共24*15=360个数据,0表示初始数据,fram_cnt,360bit的组数统计。如对应1/2码率,输入数据为7200bit,则数据可分为:20*360 = 20*15*24 =7200,下图为信息位分组计数模块主要信号的时序图,延迟的是因为在计算校验位地址的时候会花费时间,为了后边计算校验位时信息位能够和校验地址对齐。

图21
3.3 基地址产生
基地址产生模块根据输入的码率选择存在rom中的基地址,选择基地址的读取位置由输入的码率和输入序号共同确定,输入码率确定及地址的起始位置,序号fram_cnt确定基地址的偏移。以1/2码率为例,rom中初始地址为63,当fram为0时表示第一行,读取的基地址如下:
图22
仿真时钟周期为20ns,地址输出相对信息位使能延迟了16个时钟周期,其中移位输出的计数器分别延时了两个时钟周期。延迟是为了在校验位计算的时候,地址能够和信息位对齐。
3.4 数据地址计算
地址计算模块需要根据公式{x+(m mod360) * Qldpc } mod (Nldpc-Kldpc),计算每个信息位所对应的校验位。但是这个公式所用的取模以及乘法运算不适合在FPGA中运算,会占用很多的DSP资源,而且也是不必要的。以1/2码率为例,可以转化为如下的加减运算。

图23
result = Amod B ,当A小于B时result等于A本身,当A大于B时result等于A-B,通过这个模块计算出每个信息位所对应的的校验位。
图24
其中data_in_bom为初始地址,data_in_addr为计算的校验位地址。
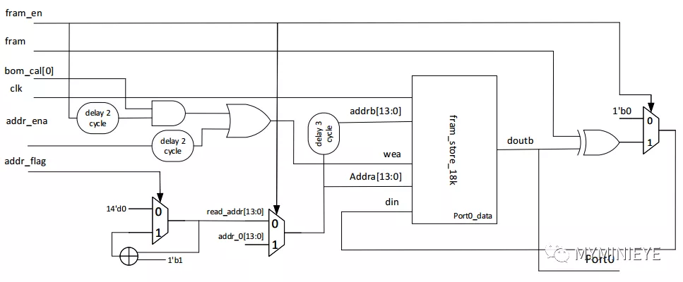
3.5校验比特计算
校验比特计算需要完成两个部分,第一部分为信息位的输出,第二部分为校验位的输出。因为在硬件中为实时处理。以1/2码率为例,发送的16200bit码字,包括7200bit信息位,9000bit校验位,两个部分分时段进行。系统采用13个并行度计算校验位,其中的一个的时序如下:

图25
双口ram设置为read first,数据相对于地址有三个时钟的延迟。上述中所涉及的延迟均在调试中根据运算所需时钟数进行的延迟。采用13个并行度计算校验位,其中的一个的结构如下,addr_ena和addr_flag均由read_addr控制。

图26
最后把每个13个并行度的数据相加,然后与上一位的值异或,得到最终的输出。

图27
通过modelsim把结果输出和matlab计算的结果进行比较,可以看到我们使用FPGA实现的结果和用matlab做出的结果是一样的。

图28
编辑:hfy上一篇:神经网络加速器架构的优劣分析
Fidus Sidewinder-100集成PCIe NVMe 控制系统,有