时间:2020-11-29 10:19
人气:
作者:admin
在大部分的教科书中,都会提到如何分频,包括奇数分频,偶数分频,小数分频等。
1、DDS相位累加器
(1)DDS合成流程
首先讲述DSS(直接频率合成法)的原理。
DDS是重要的频率合成方法,在波形发生器中有极其重要的应用。DDS主要由以下几部分组成:
a) 相位累加器
b) RAM数据读取
c) D/A转换器
d) 低通滤波器
直接频率合成法的流程图,有固定模块,输入频率控制器,输出固定频率的波形。如下图:
此电路最主要模块是相位累加器,通过相位累加器循环计数,循环读取RAM的数据,从而得到固定频率的波形数据。
(2)相位累加器原理
相位累加原理流程如下:
输入频率控制字,根据算法,来实现相位的变化,分析如下所示:
假定FPGA基准频率为50MHz,即基准频率:

假定计数器为32位计数器,即:

K为频率控制字,则相位输出的频率为:

即:

根据相位累加原理,以及RAM缓存读取数据,每一次0~(N-1)的循环, RAM数据间隔K读取一次。当K=1的时候,公式能输出最小频率,即:

最小波形频率步进为0.011655Hz。当fo=1Hz的时候:

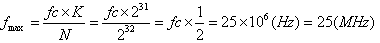
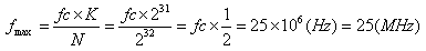
所以,频率每变化1Hz,K的步进为85.90。当K=N/2的时候,公式能输出最大频率(因为每个CLK跳变一次),此时:

因此,根据频率控制字K的变化,能输出及固定频率的波形。
2、任意频率分频原理
在FPGA中某些应用场合,对频率要求比较高的情况下,用相位累加器原理来生成固定频率的方法,未尝不可。
我们规定,对Cnt进行对半50%拆分,具体如下:当cnt < N/2时,f0 = 0,也就是低电平;而当cnt > N/2时,f0 = 2,也就是低电平。
同理:




在FPGA中应用,Verilog代码如下所示:
/*************************************************** * Module Name : clk_generator * Engineer : Crazy Bingo * Target Device : EP2C8Q208C8 * Tool versions : Quartus II 9.1SP1 * Create Date : 2011-6-25 * Revision : v1.0 * Description : **************************************************/ /************************************************* fc = 50MHz 50*10^6 fo = fc*K/(2^32) K = fo*(2^32)/fc = fo*(2^32)/(50*10^6) **************************************************/ module clk_generator # ( parameter FREQ_WORD = 32'd8590 //1KHz ) ( input clk, //50MHz input rst_n, //clock reset output reg clk_out ); //************************************************/ reg [31:0] max_value; always@(posedge clk or negedge rst_n) begin if(!rst_n) max_value <= 1'b0; else max_value <= max_value + FREQ_WORD; end //****************************************************/ always@(posedge clk or negedge rst_n) begin if(!rst_n) clk_out <= 1'b0; else begin if(max_value < 32'h7FFF_FFFF) clk_out <= 1'b0; else clk_out <= 1'b1; end end endmodule /*******************************************************/
本模块可应用在多个对频率精准度要求比较高的工程中(如UART中,需要115200Hz的bps,用这种任意分频的原理来得到精准的方法,一定程度上能够提高数据传输的准确率)。
DDS中的相位累加器的任意分频原理,在一般工程中同样可以应用。在某些应用场合,还是值得考虑的。
编辑:hfy
Fidus Sidewinder-100集成PCIe NVMe 控制系统,有