时间:2021-04-19 17:01
人气:
作者:admin
作者:Signal Blue LLC总裁Bob Witte撰文
调制对于电子通信至关重要。调制信号本质上可以是模拟的(语音或音乐)或数字位流。大多数现代通信系统都是数字的,使用离散的幅度或相位电平来表示正在传输的数据。可以可靠地从发送器传输到接收器的独特条件越多,在给定的时间段内可以发送的数据越多。正交调制广泛用于5G及以下的数字通信系统。
调制背后的基本思想是通过调制信号来控制RF载波的一个或多个参数。在数学上,我们可以这样表示:

其中:
a(t)是调幅(AM)项
Θ(t)是调相(PM)项
fc是载频
该信号的幅度由a(t)控制,相位由Θ(t)控制。为了实现幅度调制(AM),我们将调制信号应用为a(t),并将Θ(t)设置为零。类似地,调相(PM)信号将具有设置为常数的(t),并且调制信号将被施加至Θ(t)。现在,我们将忽略频率调制(FM),但将显示可以使用PM创建FM。
矢量表示
矢量表示是通过定义同相(I)和正交(Q)分量来表示调制信号的便捷方法。
使用触发身份:
图1以图形方式显示了这一点,其中I分量在水平轴上,而Q分量在垂直轴上。这种格式对EE来说应该很熟悉,它基于正弦和余弦函数之间的90度相位偏移。

图1:矢量图表示调制信号的幅度和相位。(改编自参考文献1)
通过以下等式,调制信号的幅度和相位与I和Q分量相关:

我在方程式中保留了“(t)”,以强调这些变量是时间的函数,通常会根据所应用的调制而变化。对于经典AM,可以想象矢量在长度(振幅)上变化而相位角保持不变的情况。对于PM,请想象相反的情况:矢量的振幅保持恒定,但是角度根据调制而变化。用力蹲下,您可以看到矢量实时移动。
现在,这似乎只是一堆琐事,但正交调制通常是在具有框图的系统中实现的,如图2所示。

图2:正交调制器使用正弦和余弦函数来调制振荡器的载波。
我们可以将i(t)视为控制同相(余弦)部分,将q(t)视为控制正交(正弦)部分。将它们加在一起可创建所需的输出信号。可以使用模拟或数字技术(或两者的组合)来实现此框图。已经使用这两种方法创建了实用的系统,但是毫不奇怪,明显的趋势是使用数字电路和数字信号处理。
图2表示正交调制系统的发送端。在接收端,将有一个相应的正交检波器,该检波器从调制波形中提取I和Q信号。
数字调制
正交调制可用于实现无数种调制方案,但对于数字调制具有最大的价值。例如,使用向量的相位的数字调制被称为相移键控(PSK)。
图3显示了PSK的两个示例:4-PSK使用四个不同的相位来产生四个调制状态。(请注意,幅度保持恒定。)图3仅显示了矢量的尖端将落在的位置,这是显示这些状态的常用方法。这种类型的图通常称为星座图。因为调制格式具有四个可能的状态,所以每个调制状态都可以表示两个二进制值(在图中显示为00、01、10、11)。

图3:简单PSK信号的星座图(来自参考文献3)
图3还显示了8-PSK,它使用相位调制来创建八个调制状态。该图显示了三位的逻辑状态。具有更多的调制状态可以使系统在给定的时间内传输更多位的信息(以存在噪声的情况下增加的错误率为代价)。
正交幅度调制(QAM)同时使用幅度和相位来添加其他调制状态。图4显示了16-QAM(具有16种状态)。想象一下我们的调制矢量在跳动,基于数字调制指向这些状态中的每一个。为了简化起见,图中未显示逻辑值,但是将调制状态映射为16个值,代表4位信息。

图4:16-QAM信号的星座图(来自参考文献3)
FM呢?
如您所见,调制载波的幅度和相位是创建调制载波的一种灵活方法。尽管FM是1920年代的一种古老技术,但今天仍然在广播和陆地移动无线电等应用中使用FM。我们如何使用正交调制实现FM?
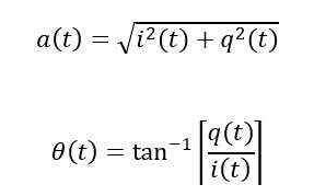
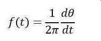
通常,瞬时频率是瞬时相位的导数(参考文献4)。

其中f(t)是瞬时频率,θ(t)是瞬时相位。
对于FM,瞬时频率必须根据调制信号而变化。

其中kd是偏差常数,m(t)是调制信号。
解决所需的相位信号,我们得到:

该结果表明,我们可以通过提供作为调制信号不可或缺的相位调制来创建FM信号。(是的,我忽略了积分的初始条件。)
可以使用模拟积分器或等效的数字算法创建所需的PM信号。因此,正交调制器可以使用PM产生FM信号。
正交调制和I / Q信号广泛用于电子通信系统中。特别地,数字调制充分利用了正交调制系统。但是,可以产生任何基于载波的调制,包括传统调制类型,例如AM和FM。I和Q数字流的概念由于其灵活性而在许多电子通信系统中使用,并已成为表示调制信号的事实上的标准。
参考
编辑:hfy