时间:2010-05-27 09:47
人气:
作者:admin
有限带宽信号的采样和混叠分析
1引言
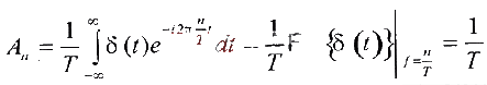
越来越多的应用要求采样模拟信号,将其转换为数字信号,对数字信号做各种计算和处理,然后再将它们转换成模拟信号。本文讨论了如何采样模拟信号并对其整形以保持原始信号的方法。 2 基带信号的采样和混叠分析 先从有限带宽信号着手讨论,有限带宽信号是指某个频率点(截止频点)之外的所有频率的频谱成分的幅度都为0的信号。如图1中的g(t),大于截止频点α的频率范围内的频谱分量全部为0。在这种情况下,α也就是这个基带信号的带宽。对g(t)的采样在数学上可以用以下方式表达:将g(t)乘以周期为T的冲激函数。g(t)在冲激点的信号值被采样,而其它点的值都为0。从模拟信号角度来看,就是按频率fSAMPLING=1/T对g(t)取样。采样后的信号s(t)可用以下公式表示:

为了得到采样后信号s(t)的频谱,可对s(t)做傅立叶变换: 
冲激串函数是一个周期函数,可以用傅立叶级数表示,如下式: 
此处的傅立叶系数为:

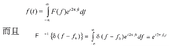
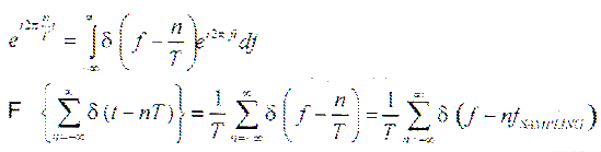
上式中积分的上下限只由一个周期来决定。在保证等效的前提下,可以进行以下变换:用从负无穷到正无穷的傅立叶积分代替上式中的积分,周期性的冲激函数用基频冲激函数代替,则上式可改写为: 
冲激串函数可用以下更方便做傅立叶变换的简化形式表示: 
考虑到一个信号可由它的傅立叶变换积分得到,如下式: 
可得到如下最终结果
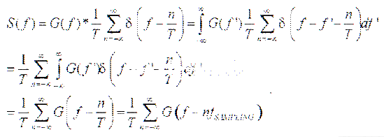
根据以上结果,再重新考虑被采样的基频信号,它的傅立叶变换为: 
两个信号A(f)和B(f)的卷积定义为:
则S(f)可改写为:
上式就是我们常说的采样定律。它表明在时域里按周期T采样得到的信号会以1/T 的频率重复原始信号的频谱,如图2所示。
为保留所有原始信号的信息,必须保证每一个重复频谱之间不发生混叠。否则,就不可能从采样信号中恢复出原始信号。混叠意味着高频段掩盖了低频段信号,如图3所示。为避免混叠,必须满足以下条件:1/T≥2α或1/T≥2BW。也可用采样频率表示为: fSAMPLING≥2BW 以上表明不会产生混叠的最小采样频率是2BW。这就是奈奎斯特采样定律。 
图3给出了被混叠的采样信号。高频信号分量fH叠加在低频部分。设计时,通常用一个低通滤波器来恢复原始频谱并将其它频谱分量滤掉。当使用截止频率为α的低通滤波器恢复图3信号时,它无法将混叠的高频信号滤掉,从而造成信号的劣化。 3 带通信号的采样和混叠分析 再来看另一种有限带宽信号,带通信号。带通信号的低频截止点不在0HZ。图4中的带通信号的频谱能量范围在αL和αU之间,它的带宽定义为αU-αL。带通信号和基带信号的主要差异就是带宽的定义。基带信号的带宽等于它的高频截止频率,而带通信号的带宽等于高频截止频率和低频截止频率之差。由前面的讨论可知,采样信号以1/T 的周期重复原始信号的频谱。因为这个频谱实际上包括从0Hz到原始带通信号低频截止频率之间的0幅值频带,所以实际的原始带通信号带宽要比αU小。 
这样就可以在频域做一定的频率偏移,而采样频率也可以降低。为满足奈奎斯特定律,一个实际带宽为αU/2的原始带通信号,其采样频率设为αU即可,采样信号的频谱如图5所示。这样的采样没有产生混叠,因此如果有理想的带通滤波器,可完全恢复出原始信号。在本例中,基带和带通信号的差别非常重要。对于基带信号,带宽和相应的采样频率只由高频截止点决定。而带通信号的带宽通常都要比高频截止频率小。 4 采样方式及结果分析 以上特性决定了从采样信号恢复原始信号的不同方法。对于高频截止点相同的基带信号和带通信号,只要采用合适的带通滤波器,带通信号的采样频率就可以降低(图5中的白色矩形部分)。而低通滤波器在这种情况下无法恢复出原始信号,由图5可明显看出,阴影部分仍然包含在恢复信号频谱中。所以如果要用低通滤波器恢复图5中的带通信号,采样频率必须在2αU以上以避免混叠。有限带宽信号必须在满足奈奎斯特定律的情况下才能被完全恢复。对于带通信号,用带通滤波器时,采用奈奎斯特采样频率可避免混叠。否则就必须使用更高的采样频率。在实际应用中选择ADC和DAC时,这一点很重要。
还要注意的是对有限带宽信号的假设。从数学上分析,一个信号不可能是真正有限带宽的。傅立叶变换定律告诉我们,如果一个信号在时域是有限的,则它的频谱就会扩展到无穷大,如果它的带宽是有限的,则它在时域上就是无限的。很显然,我们找不到一个具有无穷大周期的时域信号,所以也不可能有真正的有限带宽信号。不过绝大部分实际信号的频谱能量都集中在有限带宽中,因此前面的分析对这些信号仍然有效。采样正弦信号可以非常简单和方便地检测出采样频率是否偏低,因为混叠现象是采样频率偏低所特有的现象。正弦信号的频谱里的(冲激串函数)尖峰只在相应的频率点出现,出现混叠时,尖峰会移到另一个频率点,这一点对应着混叠信号。 以下测试结果是用Maxim公司最新推出的125Msps、12位ADC:MAX19541测试得出的。图6是它的输出信号频谱,对应的输入信号频率fIN=11.5284MHz。很明显,最高的尖峰恰好出现在该频率点上。频谱图里还有其他一些较小的尖峰,它们是由ADC的非线性引起的谐波造成的,和本文的讨论主题无关。由于采样频率fSAMPLE = 125MHz,远远大于奈奎斯特定律要求的输入信号频率的2倍,因此没有混叠现象。如果将输入频率提高到fIN = 183.4856MHz,大于fSAMPLE/2,此时应该会有混叠出现。图7是fIN>fSAMPLE/2时的输出频谱图,主尖峰落在58.48MHz处,这就是混叠信号。也就是说,在58.48MHz出现了一个原始信号不包含的信号。在图6和图7中都只给出了奈奎斯特频率以下的频谱,因为频谱是周期性的,图中的显示部分已经包含了所有必要信息。 图6和图7
5 结论
以上测试结果表明?采样定律是信号采样应用的基本工具,严格的数学分析对于应用中的参数选择也很重要。