时间:2010-03-02 10:47
人气:
作者:admin
实时频谱分析在EMI诊断中的应用
从第一次进行无线传输开始,设计工程师就一直关注电磁干扰(EMI)。法规机构已经确立了EMI的限制,规定了符合性测试中使用的测量方法。这些方法已经应用了几十年,撰写这些方法的目的,是满足语音和视频的模拟广播需求以及撰写时采用的测试方法,如CISPR平均方法和准峰值检波器。这些测量技术旨在对人的耳朵和眼睛分别接收声音和视频时提供可以接受的干扰水平。随着数字调制数据传输和超宽带(UWB)传输方法出现,加上高速数字时钟形式的非预计辐射装置的频率日益提高,当前EMI规范标准已经不能全面解决目前存在的所有干扰类型及其对通信系统的影响。
突发在消费电子和通信中偶发的短高频干扰正变得越来越常见,例如,计算机中使用的与模式相关的扩频时钟,以及嵌入式系统设计中运行有噪声的定期硬盘访问周期的硬盘驱动器。这些复杂的数字设备正日益接近以频率捷变、基于分组模式运行的无线通信系统。
随着通信系统的干扰特点发生变化,测试设备也在变化。模拟电路以前实现的功能,现在可以以数字方式实现,测量速度不断提高,我们可以更快地获得测量结果。泰克公司推出的实时频谱分析仪可以即时查看非常宽的频谱跨度,而不会丢失频段中的信息,从而可以发现、捕获并测量对传统技术极具挑战性的瞬态峰值。
诊断、预一致性和一致性测试
在电磁兼容性(EMC)领域中,设计和检验的不同阶段会使用不同的设备和技术。在开发的早期阶段,EMC设计技术与诊断相结合导致较低的EMI特征,对外部干扰和内部干扰的灵敏度低。通常使用带有相应滤波器和检波器的通用频谱分析仪,确定设计优化对EMC的影响。通常直接在电路板上完成探测,或使用E场和H场探头,确定设计优化的影响和屏蔽效果。当然,诊断在保证优秀的EMC性能方面没有限制;通常要求对系统集成进行全面诊断和调试,为保证所有RF子系统达到要求的性能水平,并且不会被集成系统的其他部分劣化。在系统集成后进行预一致性测试,以确定设计中的问题区域。满足国际标准并不要求进行预一致性测试,预一致性测试的目标是发现潜在问题,降低一致性测试阶段发生故障的风险。使用的设备可以是非标准设备,如果在测试结果中增加充足的余量,其精度和动态范围可以低于标准接收机。预一致性测试可以在认证实验室中使用快速测量技术完成,这些测量技术旨在“迅速查看”问题区域;预一致性测试也可以在临时地点由工程设计人员完成。预认证通常采用包含相应滤波器和检波器的通用频谱分析仪,因为它们提供了快速测量工具,这些工具通常已经用于设计流程中,不要求额外的资本开支。如果在这个阶段发现问题,那么要求进行进一步诊断和设计改动。RSA6100A上提供的功能除诊断外,还可以进行某些预一致性测量。图5是预一致性扫描实例,它把CISPR QP检波的轨迹与天线因子表格和杂散信号搜索功能结合在一起。在本例中,轨迹是“环境扫描”,考察的是在没有被测设备时存在的背景信号。
一致性测试要求符合国际标准规定的方法、设备和测量地点。一致性测试通常作为设备生产前设计检验的一部分完成。一致性测试是穷尽型测试,耗时长,产品开发这一阶段的EMC故障可能会导致昂贵的重新设计,耽误产品推出。
滤波器、检测器和平均
接收机和频谱分析仪可以建模为拥有接收机带宽、信号检波方法和结果平均方法,以完成信号电平测量。
在许多商用EMI测量中,这些测量单元由Comite International Special des Perturbations Radioelectriques (CISPR)规定,CISPR是国际标准机构——国际电气技术委员会(IEC)下属的一家技术机构。其他标准和认证机构,例如日本的TELEC,也对测量方法和认证技术提出了要求。美国国防部已经开发了MIL-STD 461E标准,对军事设备提出了特殊要求。
测量带宽由接收机带宽形状或频谱仪的分辨率带宽(RBW)滤波器决定。测试带宽通常是频谱中可能存在干扰的频段,而随着频率的不同测试带宽也不尽相同。
检波器用来计算在某个时点上代表信号的单个点。检波方法可以计算正峰值或负峰值、电压的RMS或均值,或在许多EMI测量中,计算准峰值(QP)。
在测量期间,对检测到的信号使用平均方法。CISPR标准定义的平均算法旨在复现使用拥有规定响应时间的电压表读取信号值所产生的影响。通过对检测到的输出应用指定带宽,还可以使用“视频滤波器”进行平均。对EMI测试,TELEC标准中规定了视频滤波。
检测方法
尽管许多EMI测量可以使用简单的峰值检波器完成,但EMI测量标准规定了一种专用测量方法,即准峰值(QP)检波器。QP检波器用来检测信号包络加权后的峰值(准峰值)。它根据信号时长和重复率加权多个信号。QP检波器的特点是响应快、衰减慢,包含一个表示临界阻尼表的时间常数。发生频次较高的信号,其QP测量值要高于偶发的脉冲。
准峰值检波器在传统上一直用于模拟设计中,如图1所示。

图1 模拟实现方案中的准峰值检测器。准峰值检波器的响应快(充电时间)、衰减慢(放电时间)特点源于该电路中的R-C常数
在图1中,只要Sin高于S1,那么信号Sin的包络就会对电容器C到电阻器R1充电。如果输入信号Sin小于S1,那么电阻R2会对电压S1放电。
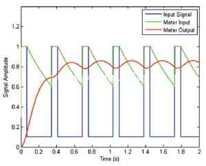
为帮助查看准峰值检波器与相关仪表组合的响应,图2把输入响应(重复脉冲,用蓝色表示)、得到的准峰值检波器响应(具有响应快、衰减慢的特点,用绿色表示)及检波器与仪表的综合响应(用红色表示)分开。
对于带有QP检波器的接收机上的常数指标,图3表明了CISPR 16-1-1标准描述的幅度和重复频率之间的关系。

图2 对重复信号的准峰值响应

图3 准峰值检波器的脉冲响应曲线
图4是峰值检波和QP检波实例。这里,峰值检波和QP检波中查看了8μs脉宽和10ms重复率的信号。得到的QP值比峰值低10.1dB。在测量被测设备的EMI时,通常会先测量峰值,找到超过或接近规定极限的问题区域。然后只在接近或超过限制的信号上进行速度较慢的准峰值测量。通常使用带有标准峰值检波器的频谱分析仪,迅速评估任何问题区域。

图4 峰值和准峰值检波对8μs脉宽和10ms重复率的信号的影响,准峰值比峰值低10.1dB
平均和视频滤波器
除QP检波外,实时频谱分析仪还支持CISPR规范中规定的峰值和均值检波器。峰值检波器检测信号包络的峰值,均值检波器计算包络的平均值。实时频谱分析仪能够从同一输入信号中同时测量QP、峰值和均值,以独一无二的方式了解DUT的信号特点。某些EMI测量指定了视频滤波器,视频滤波器是频谱分析仪中最早采用的方法,以降低测量噪声变化所产生的影响。视频滤波器一词源于最早的实现方案,即低通滤波器被放在检测到的输出与频谱分析仪CRT的Y轴模拟驱动输入之间。实时频谱分析仪和部分现代频谱分析仪采用数字技术来平滑信号上的噪声。
在大多数EMI测量中,视频滤波器指定为关闭,或视频滤波器指定为至少比测量的指定RBW高出三倍(参见表1)。

指定视频滤波器关闭(或不小于3倍RBW)的目的,是为了消除视频滤波器对检测到的信号的影响。图4是视频带宽(VBW)与RBW之比变化时视频带宽的影响。在VBW≥3*RBW或10*RBW(或失效)时,噪声标准偏差保持在5.4dB。在VBW=RBW时,例如在TELEC规范部分章节中,噪声变化降低到大约4.7dB。
EMI滤波器、检波器和平均算法的数字实现方案
对基于离散傅里叶变换(DFT)技术的频谱分析仪,通过对离散采集数据应用窗口功能,可以以数字方式执行滤波。采样率取决于要求的滤波器的带宽。在采样频率相同时,要求更多的样点来实现更小的滤波带宽。
实时频谱分析仪采用Kaiser窗口仿真EMI滤波器。窗口功能的频响幅度决定着IF滤波器形状,必须满足CISPR 16-1-1中规定的带通选择限制。
在实时频谱分析仪中,准峰值检波器使用数字滤波器实现。可以使用数字滤波器,如无穷脉冲响应(IIR)滤波器,仿真传统EMI接收机使用的RC充电电路和放电电路。这种临界阻尼表还可以建模为二阶数字IIR滤波器。仪表上显示的最大值取为准峰值检波器器值。
在实时频谱分析仪上,视频滤波器采用平均技术实现。使用的平均数量取决于选择的视频带宽及测量时使用的RBW。在使用VBW时,得到的测量分析长度取决于选择的VBW,如果在没有视频带宽时使用RBW,那么会比较长。实时频谱分析仪选择平均数量,实现与噪声变化对VBW/RBW曲线的良好相关性,如图5所示。

图5 VBW/RBW之比对随机噪声信号标准偏差的影响。在VBW不小于3倍的分辨率带宽时,其对VBW的信号偏差没有实际影响
测量速度和实时频谱分析仪
QP和均值的测量速度一直是测量接收机和频谱分析仪所面临的一项挑战。QP检波器和仪表响应时间长,因此在很宽的频率中一次扫描一个频率并不现实。为解决这个问题,测量使用峰值检波器完成,可以迅速确定被测设备中最高的EMI峰值。然后在所有问题区域使用单频率测量,重复执行测量。最近,市场上出现了能够处理大的信号跨度的接收机和实时频谱分析仪,其应用QP检波和平均功能的速度要比单频率测量技术高出几个量级。这种计算频宽中所有频率点的方法产生了明显的速度优势,与扫描技术相比,还有另一个优势:可以以高得多的侦听概率查看频段中的瞬态信号。这一点在当前的设计环境中尤为重要,因为信号随时间变化和移动,单频率测量不能表示这些动态变化的信号。
查找当前的EMI问题
尽管上面介绍的基于标准的测量方法对法定的一致性测试必不可少,但它们通常不能解决、甚至不能检测到当前系统中EMI设计所面临的问题。
幸运的是,测量技术的发展已经可以满足这些需求。上面介绍了如何使用实时频谱分析仪发现瞬态信号和EMI隐患。在下面的实例中,单个的瞬态信号会产生一串瞬态信号,这些信号每次只持续很短的时间。在本例中,该设备是一种嵌入式系统,在把数据缓存到硬盘时导致了瞬态EMI。在使用扫频分析仪的峰值检波器简单检查后(黄色轨迹,如图6所示),似乎只有一个连续信号;把仪器保持Max-hold几分钟,同时循环DUT工作模式,会指明问题(蓝色轨迹)。但在峰值检波模式下进行快速扫描会得到黄色轨迹,没有检测到问题。

图6 扫频分析仪峰值扫描(黄色轨迹)中漏掉的瞬态EMI,在DUT循环通过磁盘高速缓存操作、保持Max-hold模式一分钟后被发现
图7使用数字荧光处理(DPX)技术考察DUT的EMI特性,立即发现问题。泰克公司实时频谱分析仪独有的DPX频谱显示技术每秒可以处理超过48000个频谱,保证能瞬时捕获和显示持续时间超过几十微秒的信号。在图6中,发生频次较高的信号用红色表示,发生频次较低的信号用蓝色和绿色表示。这样,可以立即看到哪些信号是连续的,哪些信号是瞬态的。瞬态信号偶尔出现,但其电平要比连续信号高出15dB。

图7 使用DPX在5s后发现的偶发瞬态信号。红色区域是频繁发生的信号,蓝色部分和绿色部分是瞬态信号
在使用DPX发现潜在问题后,还要触发和捕获信号,以便进一步进行分析。通过根据连续信号曲线定义频率模板触发,然后在频谱中捕获偶发的瞬态信号,可以轻松触发和捕获信号。持续时间超过10.3μs、高出频率模板门限的任何信号都会导致触发,并把触发前和触发后的信号存储到存储器中。图8左侧的三维频谱图显示了瞬态信号触发的4个采集结果。

图8 使用频率模板触发技术捕获以1s重复率发生的瞬态信号
现在可以全面分析信号了。图8中的标记显示了瞬态信号的重复率是1.0s,但瞬态信号的长度并不是一直相同的,而是在5次采集过程中在752μs到200μs之间变化。这种重复频率和变化的脉宽提供了重要线索,以确定电路中瞬态信号的来源,在本例中是磁盘高速缓存操作,这种操作只在被测设备的特殊工作条件下才发生。
总结
进行基于标准的EMI测量要求使用标准机构规定的专用滤波器和检波器。接收机、传统频谱分析仪和实时频谱分析仪提供了这些专用滤波器和检波器。实时频谱分析仪和某些接收机使用的DSP技术的测量速度要比扫频方法快几个量级,因为其可以同时分析整个实时带宽(高达110MHz)。
与扫频技术相比,实时分析技术大大缩短了保证100%瞬态信号侦听概率所需的最低信号时长。通过使用拥有DPX频谱处理技术的实时频谱分析仪,可以简便地调试产生各种瞬态信号的系统,保证在分析过程中不会漏掉瞬态信号。这缩短了获得信息的时间,提高了确定被测设备质量的信心。