时间:2009-12-22 17:53
人气:
作者:admin
RFID系统天线设计
RFID(Radio Frequency。Identification,射频识别技术)是自动识别技术的一种,通过无线射频方式进行非接触双向数据通信,对目标加以识别并获取相关数据。它的核心部件是读写器和电子标签,通过相距几厘米到几米距离内读写器发射的无线电波,可以读取电子标签内存储的信息,识别电子标签代表的物品、人和器具的身份。RFID技术在国内外得到了大量的应用,在公共交通、地铁、校园、社会保障等领域均有应用。本文主要通过实际工作中对于各种RFID读写系统的对比,总结研究RFID读写器天线设计中比较实用的方法。
1 实际RFID天线设计主要考虑物理参量
1.1 磁场强度
运动的电荷或者说电流会产生磁场,磁场的大小用磁场强度来表示。RFID天线的作用距离,与天线线圈电流所产生的磁场强度紧密相关。
圆形线圈的磁场强度(在近场耦合有效的前提下,近场耦合有效与否的判断在1.3节)可用式(1)进行计算:

式中:H是磁场强度;I是电流强度;N为匝数;R为天线半径;x为作用距离。
对于边长ab的矩形导体回路,在距离为x处的磁场强度曲线可用下式计算。
结果证实:在与天线线圈距离很小(x

1.2 最佳天线直径
在与发射天线的距离x为常数并简单地假定发射天线线圈中电流I不变的情况下,如果改变发送天线的半径R时,就可以根据距离x与天线半径R之间的关系得到最大的磁场强度H。这意味着:对于每种射频识别系统的阅读器作用距离都对应有一个最佳的天线半径R。如果选择的天线半径过大,那么在与发射天线的距离x=0处,磁场强度是很小的;相反,如果天线半径的选择太小,那么其磁场强度则以z的三次方的比例衰减,如图2所示。
不同的阅读器作用距离,有着不同的天线最佳半径,它对应着磁场强度曲线最大值。
从数学上来说,也即对R求导,如式(3)所示:

从公式的零点中计算是拐点以及函数的最大值。

发射天线的最佳半径对应于最大期望阅读器的2孺值。第二个零点的负号表示导电路的磁场强度在x轴的两个方向传播。这里需要指出的是,使用此式的前提条件,是近场耦合有效。下面简介近场耦合的概念。
1.3 近场耦合
真正使用前面所提到的公式时,有效的边界条件为:
d《R以及x<λ/2π,原因是当超出上述范围时,近场耦合便失去作用了,开始过渡到远距离的电磁场。一个导体回路上的初始磁场是从天线上开始的。在磁场的传输过程中,由于感应的增加也形成电场。这样,最原始的纯磁场就连续不断地转换成了电磁场。当距离大于λ/2π的时候,电磁场最终摆脱天线,并作为电磁波进入空间。在作为电磁波进入空间之前的这个范围,就叫做天线的近场,本文所涉及的RFID天线设计,是基于近场耦合的概念。所以距离应当限定在上述的范围之内。
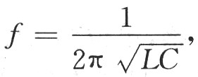
1.4 调谐
RFID系统读写器可以等效为一个R-L-C串联电路,其中R为绕线线圈的电阻,L为天线自身的电感。一般调谐过程当中,由于天线线圈本身的电容对于谐振的影响很小,可以忽略不计,故为了使阅读器在工作频率下天线线圈获得最大的电流,需要外加一个电容C,完成对天线的调谐,达到这一目的。而调谐电容,天线的电感以及工作频率之间的关系,可以通过以下汤姆逊公式求得,即:
1.5 电感的估算
电感量值的物理意义是:在电流包围的总面积中产生的磁通量与导体回路包围的电流强度之比。实际RFID天线调试的时候,读写器天线电感量值可以通过阻抗分析仪测出,在条件有限的情况下,也常采用估算公式进行估算。假定导体的直径d与导体回路直径D之比很小(d/D<0.001),则导体回路的电感可简单地近似为:

式中:N为绕线天线的匝数;R为天线线圈的半径;d为导体的内径;μ0为自由空间磁导率。
线圈匝数还有以下的近似公式进行估算,在实际应用中,两个公式可以进行对照使用:
式中:L为线圈电感,单位为nH;A为天线线圈包围面积,单位为cm2;D为导线直径,单位为cm。
1.6 天线的品质因数
天线的性能还与它的品质因数有关。Q既影响能量的传输效率,也影响频率的选择性。过高的Q值虽然能使天线的输出能量增大,但是同时,读写器的通带特性也会受到影响。所以在实际调节Q值的时候,要进行折中的考虑。调节Q值,是通过在R-L-C等效电路上面串接一个电阻R1实现的,具体的公式如下:
Q=ωL/(R+R1) (8)
2 实际调试
RFID天线的设计需要考虑很多因素,上述几个是实际的调试过程中的重要物理参量。明确了上述物理参量之后,在给定期望距离以及工作频率等RFID系统要求之后,在条件有限的情况下,就可以根据需要进行简单的RFID天线设计了。下面给出一个应用于轨道交通的RFID天线设计的实际例子。此处设计一个期望最大作用距离为1 cm,工作频率在125 kHz的绕线天线,系统要求阅读器天线线圈的半径尽量小,不超过1 cm。具体步骤如下:
首先确定天线的最佳半径,不宜太大也不宜太小,理想的最佳天线半径应当为期望作用距离的2倍,在实际设计的时候,应当根据设计需求在设计中进行折衷的考虑,在保证系统要求的前提下,尽可能地接近最佳值。本例中阅读器天线的最佳半径应当为1.4 cm,但是考虑到系统对于天线半径尺寸的要求不超过1 cm,所以实际中取半径为0.8 cm。在允许的条件下,为使效果更好,可以加入一个带有适量铁氧体的天线骨架、天线以及阅读器板子,如图3所示。
其次,再根据工作频率以及系统本身的要求确定电感量的大致范围,本系统中取电感量在600~800μH。再者,用电感量与匝数关系的经验公式大致估计绕线的匝数。本例中,取电感量在700μH,用直径为0.27 mm的铜导线进行绕制天线。由公式
计算出匝数大概在266圈左右,绕完后,根据汤姆逊公式
选取所用的调谐电容。用相关的仪器(如频谱仪和矢量网络分析仪)测量出谐振频率,这个时候,由于电感量只是估算的,而且选用的匹配电容也是具有一定标称值的,并不能做到与计算一致,所以总是会存在误差。
由于调谐的电容是已知的,而且有固定的标称值,可以根据汤姆逊公式由这个时候测得的频率反推出在恰好达到此频率的时候所需要的电感的大小,即绕线线圈电感。看频率的偏移情况,按电感量估算公式逐步增加或者减少线圈匝数,直到达到指定的谐振频率125 kHz。用矢量网络分析仪以及频谱仪测谐振频率的实际图片如图4,图5所示。
3 结 语
根据矢量网络分析仪以及频谱分析仪的显示,本RFID天线已经成功谐振在125 kHz。接下来便可根据所提到的公式,计算出调Q值所用的电阻的大小,然后根据系统的要求进行进一步的联调测试了。实际工程中,RFID读写器及标签有各种电路结构,但是归根到底都是等效成R-L-C谐振电路的,比如说PHILIPS的MIFARE系列读写器的天线设计,所以本文对于各种RFID系统的天线设计具有普遍的指导意义。