时间:2009-10-21 08:42
人气:
作者:admin
SDMA扩频原理
小波分析的基础理论为寻找合适的正交小波函数族提供了强有力的理论依据,也是SDMA的数学基础.小波函数定义为
(1)
式中w(t)称为基本小波.实际应用中,通常采用进二小波,定义为
ψmn(t)2m/2ψ(2mt-n) (2)
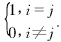
根据小波函数性质,有<ψmn.ψkl>=δm,kδn,l,其中δi,j=
对任意信号x(t),其离散二进小波变换及反变换为
xmn=∫+∞-∞x(t)ψmn(t)dt (3a)
(3b)
现在考虑M条二进制码流sm∈{0,1},m=1,2,…,M,对于在L2(R)上的正交集ψmnT,可将sm合并为
(4)
其中n表示一个序列的第n个比特,T是一个比特的持续时间.因此,在接收端信号的解调就是根据(3b)对c(t)进行小波变换以提取序列sm.下面从式(4)出发来推导c(t)的功率谱表达式.
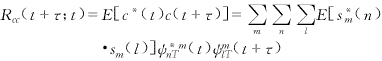
c(t)的自相关函数为

假定信息序列{sm(n)},m=1,2,…,M,是广义平稳过程,其自相关函数定义为Rss(k)=E[s*m(n).sm(n+k)],所以

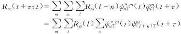
因为c(t)为广义周期平稳过程,故有
(5)
从式(5)的傅立叶变换得到c(t)的功率谱密度表达式
(6)
其中
,并定义信息序列的谱密度为
![]()
代入式(6)就得到Φcc(ω)的进一步表达式
(7)
从式(7)可以看出,信息序列经过小波变换编码后,其频谱得到了扩展,并且扩频系数η=2m,m>0.可见,各信道的扩频系数是不相同的.
上一篇:小波在扩频通信中的应用
下一篇:基于SDMA的调制解调模型