时间:2009-10-21 08:43
人气:
作者:admin
基于SDMA的调制解调模型
根据多分辨率分析理论,信号c(t)的调制与解调就是小波重构与分解过程.为此,引入另一个函数φ∈L2(R),且有φmn(t)=2m/2φ(2mt-n),使得分别以ψ和φ为基的两个空间相互正交,则存在两个序列{p(n)}和{q(n)}使得
(8a)
(8b)
(8c)
设fj和gj分别是尺度为j的两个正交空间Vj和Wj上的函数,则它们有唯一级数表示:
(9a)
(9b)
从式(8)、(9)可得到小波分解及重构算法
(10a)
(10b)
(10c)
在有限分辨率情况下(即m<),式(4)可以改写为
(11)
接收端收到的信号(t)=c(t)+n(t),n(t)是信道噪声,根据式(11)可以得到最佳接收机模型为
(12)
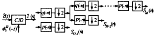
由式(10)~(12)可以得到SDMA的调制解调模型,如图1,2所示.

|
图1 SDMA的多速率调制模型 |

|
图2 SDMA的多速率解调(最佳接收机)模型 在实际系统中,总有
式中Em为每符号的平均能量,σ2为AWGN的方差.从式(13)可以看出,各信道的误码率会不一致. |
上一篇:SDMA扩频原理
下一篇:SDMA的性能及特点