时间:2009-10-21 16:13
人气:
作者:admin
三维矢量散射积分方程中奇异性的分析
本文研究了电场积分方程(EFIE)中被积函数奇异性的处理方法,特别是三维矢量散射分析中出现的高阶奇异性,给出了两种解决积分方程奇异性的数值方法.一种方法是计算O(1/R)阶奇异积分的奇异转移法[1].另一种方法是为解决O(1/R2)高阶奇异积分的数值计算问题的,它是通过排除一包含奇点的有限小块,而这一小块区域对积分的贡献为零,从而使积分方程在整个积分域变得数值可积.
关键词:三维矢量散射;电场积分方程;自阻抗;主值积分
Singularity Analysis of the Integral Equation for Three Dimension Vector Fields Scattering
WANG Hao-gang,NIE Zai-ping
(Dept.of Microwave Eng.,UEST of China,Chengdu 610054,China)
Abstract:In this paper,the singularity in the integrand of electrical field integral equation (EFIE) for 3-dimensional vector fields scattering is first analyzed.Two numerical methods for solving the singularity integral equation are developed.One method is the singularity transferring method for calculating integral value containing O(1/R) singularity in its integrand[1].The other singularity is removed first and the integral contribution of this small area is proved to be zero.Thus,the integral on the whole integral area can be calculated properly by using numberical method.
Key words:3 dimension vector fields scattering;electrical field integral equation;self-impedance;principal integral
一、引 言
随着计算技术的发展,数值方法在求解三维矢量散射问题中的应用越来越广泛.用矩量法求解三维矢量散射问题的关键是精确求解阻抗矩阵的元素,特别是自阻抗元素.求解这些矩阵元素需要对场点和源点的面积分.在自阻抗元素的求解中,将遇到场点与源点重合时产生奇异积分核的问题.目前,国内外学者对此类奇异积分的处理,尽管有一些研究,但不尽如人意.有的对其作近似处理[3],降低了阻抗矩阵对角线元素的数值精确性,从而直接影响到电磁散射数值解的精度.对电场积分方程(EFIE)中被积函数奇异性(自阻抗元素的积分表示式中含有奇异性的来源)的分析可采用主值积分法,得到的电场积分方程是去除奇点的主值积分.由于在奇点附近,被积函数变化非常剧烈,所以不能对该主值积分使用一般的数值求积方法.但由于在主值积分中积分域不含奇点,被积函数是解析的,故可方便地对其进行数值分析.本文结合参数几何知识导出了对主值积分形式的电场积分方程进行数值求积的两种方法.其一是在奇异转移方法[1]基础上对电场积分方程中O(1/R)阶奇异积分项进行数值求积的具体方案.其二是对O(1/R2)高阶奇异积分项的处理,这种方法是去除奇点附近被积函数变化剧烈的一有限小块区域,然后证明了在这一小块区域内的积分为零,从而使积分变得数值可积,较圆满地解决了电场积分方程数值求解问题.运用本文方法对导体球及两端开口薄壁圆柱和正方形平板的RCS进行了数值计算,获得了满意的结果.
二、积分的奇异性及三维EFIE的主值积分
三维导体矢量散射的电场积分方程(EFIE)可表示为:
(1)
选择适当的局域电流基函数{jp(r′)}来表示金属散射体表面电流J(r′),得:
(2)
再选择适当的权函数{tq(r)},从而把式(1)离散成矩阵方程:
(3)
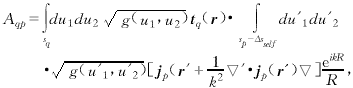
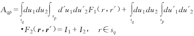
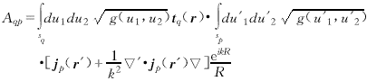
其中,Fq为激励项,ap为响应项,Aqp则为阻抗元素项.在参数空间中,阻抗元素的积分表达式为:
(4)
式中,sq和sp分别表示对场点和对源点的积分域;u1和u2与u′1和u′2分别为参数空是中场点和源点的坐标;r/ui和r′/ui(i=1,2)为实空间中物体表面上的r和r′点的切向矢量;g=det(gij),(i,j=1,2),gij=r/ui.r/uj,(i,j=1,2)为曲面s的第一类基本量[4].
参数空间中,基函数选择屋顶函数(rooftop functions):
(5)
(6)
式(5)、(6)中i=1时,j=2;i=2时,j=1,而且
(7)
(8)
当sself=sq∩sp≠φ时,Aqp被称作自阻抗元素,此时场点积分域与源点积分域部分或完全重合.当r′→r时,R→0,从式(4)可以看出,被积函数发散.在经典函数论中,该积分无意义.这对数值求解带来巨大的困难.
然而,在实际上电流产生的场总是有限和唯一的.对此,采用奇异积分的主值积分法[5]分析电场积分方程.式(1)可写成:
(9)
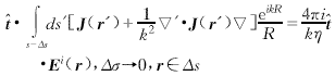
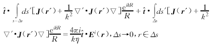
式中,电场积分方程被分为两项.第一项为不含场点(奇点)的主值积分.第二项为含场点的分离面积元积分.由于主值积分不含有奇点,故可用通常的数值方法计算.下面讨论第二项对整个积分方程的贡献.可以证明[6]不论Δs形状如何,当Δs→0时,Δs自身散射场Esself与场点处总场E(r)有以下关系:
(10)
由于在理想导体表面上电场与表面垂直,所以式(9)第二项为零,即:
(11)
上式就是电场积分方程的主值积分.不难看出式(1)和(11)的区别仅为:主值积分的积分域不含有奇点,因此可用经典函数论的方法分析其积分值收敛趋势.于是,阻抗元素计算式(4)可改写为:

其中r∈sq,Δsself∈{Δs},∑Δs=sq,Δsself
sself=sq∩sp,Δsself→0 (12)
由式(12)可知,在关于场点和源点的面积分中,被积函数包含了两项:
(13)
(14)
阻抗矩阵计算式(4)和(12)可分别简写为:
(15)
和
(16)
其中r∈sq,Δsself∈{Δs},∑Δs=sq,Δsself
sself=sq∩sp,Δsslef→0.
式(15),(16)都能用来求解矩阵自阻抗元素.但式(16)对源点使用主值积分,便于数值分析.两式中,I1=I′1,I2=I′2.为方便计,选择其中的I1和I′2.
三、奇异项转移方法
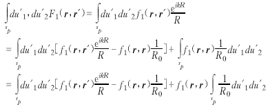
在式(13)中,仅包含弱奇异性的Abel积分核[7].一般来讲,对于这类积分,数值计算时只要分格越细(不取奇点),所得的数值结果就越精确.但计算量增加.若取较少的节点,则由于被积函数在奇点附近变化剧烈,导致误差增大.所以必须寻找一种在数值计算上实际可行的方案.处理这类奇异积分的方法之一是奇异转移法[1].本文将这种方法进行了推广,以便解决式(13)那样的奇异问题.经过简单的数学处理,得:
(17)
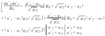
在上式中,第一项被积函数在积分域是连续有限的,因此数值可积.在第二项积分中,因子f1(r,r)只与场点有关,故可提到积分号外,因此简化了奇异项以便于使用积分的解析解:

式中R0=
(19)
四、挖除有限小块法
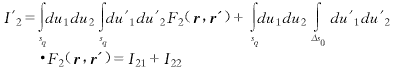
下面讨论I′2的数值积分.积分项I′2不包含奇点,其被积函数F2(r,r′)在积分域上是解析的.但在奇点r附近,由于F2(r,r′)随r′的变化非常剧烈,用一般的数值求积是很困难的.
用一有限小曲面块ΔS包围奇点(ΔS
sp),并设F2(r,r′)的陡变部分在ΔS中.取Δs0=ΔS-Δsself.在实际空间中,Δs0对应于一很小的曲面块,即Δs0<<1.而在参数空间中,Δs0则为一很小的矩形块,其长为Δu1,宽为Δu2,如图1.这时I′2变为:
(20)
式中第一项不含陡变部分,所以可用一般的数值求积方法计算.第二项不含奇点,可以得到解析结果.

|
图1 挖除有很小块Δs0.(a)参数空间对应的矩形有限小块,矩形中点为奇异点(u1,u2);(b)实空间对应的有限小块Δs0;(c)参数空间中,奇异点(u1,u2)平移到原点0后,矩形有限小块的极坐标图 由式(14)可知,由于含有随源空间r′变化的几何因子
在上式中,A(r)为不随源点变化的因子,而且
当Δs0<<1,有R0≈R.
其中,
把式(26),(27)代入式(28),化简后得I22=0.于是式(20)变成:I′2=I21+0=I21.从上述分析可知,分离的小块域对积分无贡献.所以,在实际计算中,可以方便地使用数值求积方法计算I′2,并令场点等于源点时的积分为零. 五、数值结果 |

|
图2 -ka=0.5的金属导体球和一两端开口无限薄金导体圆柱分别受到来自于负z向的平面波照射 |

|
图3 导体球的E面和H面的双站RCS |
图4 文[2]相应导体球的数值结果 |
| 例二则为一两端开口的无限薄金属导体圆柱受到来自于负z向(圆柱轴向)的平面波的照射,如图2所示.图5、图7分别为其E面和H面双站RCS曲线,圆柱半径的电尺寸为ka=1,圆柱长度的电尺寸kl=λ.与文[2]的数据(图6,图8)比较,十分一致.
图5 两端开口薄壁圆柱的E面双站RCS
图6 文献[2]相应的E面双站RCS
图7 两端开口薄壁圆柱的H面双站RCS
图8 文献[2]相应的H面双站RCS 例三是一边长为5λ的正方形导电平板(如图10)在仰角平面φ=60°上散射场的 |

|
图9 边长为5λ的正方形平板的双站RCS |

|
图10 文献[3]平板双站RCS的相应结果 六、结 论 |