时间:2009-10-21 16:18
人气:
作者:admin
一种宽频带20/30GHz波纹馈源
本文介绍用于跟踪数据中继卫星系统(TDRSS)地面测控天线的20/30GHz波纹圆锥馈源,给出了设计性能与试验件测试结果。辐射方向图等化<1dB,交叉极化优于-26dB;在18.1~20.2GHz,VSWR<1.12,在28.5~30GHz,VSWR<1.05。
关键词:TDRSS Ka波段 波纹馈源
一、 20/30GHz波纹馈源设计
对于L、S、C、X、Ku等较低频段而言,波纹馈源设计及制造方法都已有成熟的技术,而作为TDRSS系统Ka波段测控天线[1]的初级馈源,则其设计与工艺制造方法均有待于研究和探索。一方面由于工作频率很高,波纹喇叭及其输入模转换过渡段的波纹槽结构尺寸很小(0.1~2mm),另一方面电气设计指标对外形尺寸的加工公差要求很高(±0.02mm),给机械加工带来较大的难度,主要的难度在于环加载过渡段的保精度加工方法,因此必须采用高精度工艺制造技术或者新的设计方法。
一种办法是采用其他形式的馈源,不用波纹喇叭,另一种办法是采用按单频段设计,过渡段为变槽深的波纹馈源。由于工作频带宽(1:1.65),这两种办法都对天线系统的整体性能影响较大。文献[2]中采用变槽深过渡段的波纹喇叭在20GHz和30GHz照射电平分别为-10dB和-27dB,差异很大,如果用它作馈源,天线系统在20GHz和30GHz性能差异大,尤其20GHz旁瓣难以达到(29-25lgθ)dBi的强制性包络要求。其他形式的馈源也存在类似的情况以及方向图等化和交叉极化问题。经过方案论证,我们采用环加载展宽频带技术,在波纹喇叭输入模转换过渡段设计时,特意将前几个波纹齿适当加宽,适当减小加工难度,我们采用了单个波纹片精密加工,然后再由高精度工装将二十个波纹片固定,最后电铸成型工艺,实际达到的加工精度已通过电气性能测试,这种波纹馈源的测量性能完全满足天线系统的要求,这也表明了设计方法和制造工艺非常成功和有效。
设计的波纹喇叭外形尺寸为,口面半径a=59mm,相位中心d=177.5mm,喇叭半张角α=12.56°,长度L=264.96mm。考虑到用TE21模跟踪,取输入端直径为17.8mm,波纹槽深度3~4mm,最小加载宽度0.1mm,w=2mm,P=3mm,环加载厚度为相应波纹槽深度的0.3倍,设计方法可参考文献[3]~[5]。波纹馈源结构如图 1所示。波纹模转换过渡段半径a采用{Aexp(Bx2)-A+a0}曲线形式,以实现宽频带匹配。

图 1 20/30GHz波纹馈源结构
二、 Ka波段馈源设计性能与测量结果
波纹馈源HE11模辐射特性设计结果如图 2所示,计算公式为[4,5]:

图 2 计算的波纹馈源辐射方向图

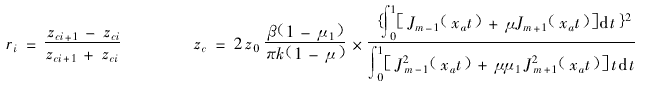
其中:Q±=∫10J0(xat)J0(ut)
μ11j2(xat)J2(ut)exp(-jφmt2)tdt
S=∫10J0(xat)exp(-jφmt2)tdt
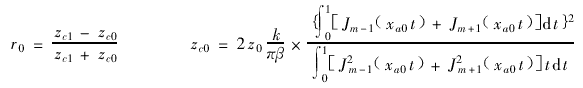
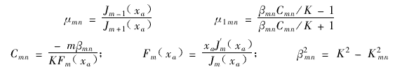
HE21模的计算方向图也示于图 2中[5]。设计的波纹喇叭HE11模电压驻波比在18.1~20.2GHz频带内小于1.06;28.5~30GHz小于1.02,计算式如下[4,5]:
![]()



式中,xa0为TE11模特征值,xa为HEmn模的特征值。测量的20~30GHz波纹馈源试验件HE11模性能如图 3所示。关于HE21跟踪模的性能待试验完成后将另文发表。


图 3(a) 图 3(b)


图 3(c) 图 3(d)
图 3 测量的20~30GHz波纹馈源性能
三、 结 论
波纹馈源是高性能Ka波段TDRSS测控天线的核心部件之一,本文介绍了设计方法和计算结果,并示出了测量的试验件性能,实验结果表明这种20/30GHz波纹馈源HE11模辐射性能满足天线系统的要求,达到了预期的研制目的。
下一篇:高灵敏无线调频话筒制作与电路设计