时间:2009-10-25 10:35
人气:
作者:admin
复杂背景下的车牌自动识别系统
随着现代交通的发展,车牌自动识别技术越来越成为智能交通的重要组成部分。车牌识别技术主要是采用计算机图像处理技术对车牌的图像进行分析,以自动提取车牌信息,确定车牌号。一般说来,在车牌自动识别系统中,处理的关键技术问题是车牌的定位及字符的分割。对于车牌自动识别系统已经提出了许多方法,如运用多重特征的车牌定位算法,基于彩色和纹理分析的车牌定位方法,用神经网络算法进行车牌自动识别等。针对通过摄像头动态采集到的图像有可能存在模糊、噪声干扰等问题,我们先用改进模糊C-均值聚类算法对采集到的图像进行分割,然后根据车牌区域的特点对车牌进行定位。车牌定位后,根据车牌中字符的分布特点,对字符进行分割及识别。对于采集到的复杂背景的图像进行实验后,得到了较理想的车牌自动识别效果。
1 车牌的定位
车牌定位是车牌识别系统的核心,它是从一个复杂背景的图像找到车牌所在的区域。为了更好对车牌加以定位,需先对采集到的图像进行分割。
1.1 用改进的模糊C-均值聚类算法进行图像分割
模糊C-均值(FCM)算法是常用的图像分割方法,它是通过迭代法优化目标函数来实现图像分割的,该算法的不足是收敛速度较慢。为了提高该算法的速度,已提出了不同的改进FCM算法,在文献[5]中,利用分层聚类把图像数据分成一定数量的色彩相近的子集,来提高FCM算法的计算速度。该改进算法是通过减少聚类样本来提高聚类的速度的。
在FCM算法中,初始聚类中心及聚类数目的选取对算法速度有一定的影响,较好的初始值,有助于提高聚类的速度。聚类中心与聚类数目与图像的灰度直方图的极值点相关联。对一幅较复杂的图像,其灰度直方图不是连续的图形,直方图中存在很多的毛刺,确定出的极值点一般有很多个。为了更有效地获取其极值点,我们对图像的灰度值做如下处理,将灰度值为[h,h+n]间的像素的个数叠加在一起,其中n为灰度区间,这可以避免一些像素值较小的极值点出现。通过处理后的图像灰度值col[i](其中0≤i≤255),来获得灰度直方图的极值点。当col[i-1]
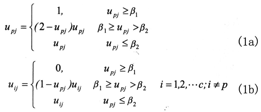
为提高聚类的收敛速度,还需对隶属度进行修正,在半抑制式模糊C-均值聚类算法(HSFCM)中引入了一抑制门限参数β,将最大隶属度值uRj与该门限进行比较,若其大于该门限,则对其进行修正;否则就不对其修正。为了更好地提高聚类的速度,将隶属度修正公式变为:

在式(1a),当最大隶属度值uRi大于门限值β1时,uRi=1,转为硬C聚类算法;当uRi小于门限值β2时,不修正;当β1≥uRj>β 2时,uRj增加为原来的2-uRj倍,提高其隶属度。在式(1b)中,将其它隶属度做相应的修改,以满足

改进后的模糊C-均值聚类算法的具体操作步骤如下:
(1)对图像进行灰度处理,获得灰度值的极值点及个数来初始化聚类中心初始聚类中心V(0)及聚类数目C,并具体选取ε>0,令迭代次数k=0。
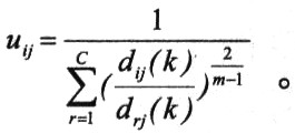
(2)计算U(K),如果∨j,r,drj(k)>0,则
如果存在j,r,使得drj(k)=0,则令urj(k)=1,且i≠r,uij(k)=0。
(3)根据式(1a)、(1b),修正隶属度矩阵U(k)。
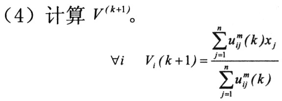
(5)如果||V(k)-V(k+1)||<ε,则停止,否则令k=k+1,重复步骤(2)、(3)、(4)、(5)。
对图1所示的原始图像中,处理后的灰度直方图如图2所示,获得的极值点的个数(即聚类数目)为4,聚类中心灰度值特征量的初始化值分别为(21、66、141、186)。通过改进FCM算法后,获得分割后的图像如图3所示。

1.2 车牌的定位
根据拍摄到的车牌图像的特点,牌照一般是在图像的下方,且牌照下方多数是地面,在水平方向上,地面的图像灰度分布比较均匀;而牌照区域由于图像字符的分布,使得图像灰度值在水平方向上的变化频率比较大,且变化间隔较均匀。根据上面的分析,车牌从下至上来定位可以避免上面复杂背景的干扰,缩短定位时间。图像不同部分的水平灰度值变化如图4~7所示,其中图4是车牌区域中字符下边缘的与上边缘的水平灰度值的变化(图中白线所示),图5是车牌区域外下边缘与上边缘的水平灰度值的变化。根据灰度值的变化便可定位出车牌的字符区域,如图6所示。

2 字符的分割
经过图像分割后的车牌区域中,字符与牌照底的内部灰度较均匀,而字符与底色在灰度上有较大差异,并且字符间有明显的间距。根据这个特点,将字符区域中字符像素的个数垂直投影来进行字符的分割。设置一个阈值T用来区分字符与牌照底色,hhi(0≤i
根据hhi的值,当

根据式(2)分割后的字符如图8所示,分割效果比较明显。
3 结论
本文提出了一种改进的模糊C均值聚类算法用来对车牌图像进行分割,改进算法中通过图像灰度直方图来初始化聚类中心与聚类数目,并对聚类中的隶属度做了相应的修正。在车牌定位与字符分割中,结合车牌中字符的分布特点,根据水平灰度值的变化曲线,来实现车牌的定位;根据字符区域中字符像素个数的垂直投影,来实现字符的分割。本文中的算法采用VC++6.0编程实现,并对多幅背景复杂的车辆图像进行了实验,实验结果表明该算法能够较快、较准确地获得车牌自动识别效果。
下一篇:超低中频CMOS下混频器的设计