时间:2009-10-25 12:37
人气:
作者:admin
超低中频CMOS下混频器的设计
低中频架构由于其镜像抑制能力强,易于集成等优点而被广泛应用于接收机的设计中。混频器作为接收机的重要模块之一,它的主要作用是完成频率转换,其性能对接收机有很大的影响。设计了一个工作于GSM 850频带的超低中频CMOS混频器。为了提高转换增益和降低噪声,输入级加入了分流单元。在输出级应用共模反馈稳定输出电平。混频器工作的频带为869~894 MHz,中频输出为100 kHz。仿真结果显示增益为17 dB,三阶交调点为9.6 dB,噪声系数为17.5 dB。
关键词:超低中频;CMOS;下混频器;Girlbert
随着无线通信的迅猛发展,人们对无线通信收发机提出了越来越高的要求。低中频架构的接收机由于集成度高,镜像抑制能力强等诸多优点而被广泛使用。混频器作为接收机的重要模块之一,它的主要功能是完成频率转换,其性能优劣对接收机有很大的影响。本文采用TSMC 0.18μm CMOS工艺实现了一个应用于GSM频带(869~894 MHz)的下混频器,混频器采用的结构为Gilbert双平衡结构,输出为100 kHz的超低中频,得到了良好的设计结果。
1 主体电路设计
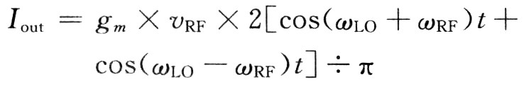
图1是典型的Gilbert单元。图中差分管M1和M2为混频器的跨导级,M3,M4,M5,M6为混频器的开关级。射频信号由M1和M2管的栅极输入,本振信号由M3,M4,M5,M6栅级输入,中频信号由开关管的漏级输出。本振信号足够强时,混频器输出的电流为:


该电流经过输出负载以后转化为所需要的电压信号。基于简单的Gilbert结构,为了达到要求的性能,对电路进行了如下的改进。具体的电路设计如图2所示。

1.1 驱动级的设计
在驱动级去掉了尾电流源,使用电流镜结构对M1和M2管进行偏置。这样做的好处就是可以提高电路的线性度,提高输出电压裕度。虽然无尾电流源结构可能使得更多的衬底噪声进入信号通道,但是通过精心的版图设计可以很好地减少衬底的影响。混频器的线性度和驱动级偏置电流的大小以及过驱动电压成正比,偏置电流越大,过驱动电压越大,线性度越好。根据混频器的增益公式
高增益需要有大的负载电阻。过大的偏置电流会使得RL上的压降太大,造成开关对和驱动管偏离饱和区,而且会增加开关对的噪声,并且增加了功耗。所以采用由M9,M10,M13和M14构成的电流抽取电路。抽取的电流不能太大,否则会严重影响混频器的线性度。M1管的Vgs是由M13管来提供的,根据:

在宽长比一定的条件下调节输入的基准电流源就可以确定Vgs的值。M1和M3的沟道长度都为350 nm,调节两个管子宽度的比值就可以控制M1管偏置电流的大小。设计中流过M1的电流为1.2 mA,抽取的电流值为0.5 mA左右。
1.2 开关管的设计
开关管的设计考虑主要是管子的闪烁噪声的影响。GSM的信道带宽为200 kHz,中频选为100 kHz可以使得本振信号的频率正好位于两个信道中心频率的中间,避免了本振信号对信道内信号的干扰。100 kHz的中频信号就要求具有极低的闪烁噪声拐角,设计中要求拐角在20 kHz以内。根据闪烁噪声拐角的公式:
![]()
要降低拐角频率只能增大器件面积(WL的值)。对于CMOS晶体管来说,闪烁噪声拐角一般落在500 kHz~1 MHz附近,这样是远不能满足设计要求的。所以开关管用了4个Bipolar的寄生管来进行设计,取代了由MOS管构成的开关级。这样能使得闪烁噪声拐角在20 kHz以内。
1.3 输出级的设计
输出级采用了PMos电流镜做负载,和M7,M8并连的两个MIM电容的作用是滤去高次谐波。M7和Ⅵs管子的面积必须尽量大,这样才能有效地减少闪烁噪声。设计中M,和M8管取值W/L一320μm/1μm。由于输出级的直流偏置电平不能确定,所以必须增加共模反馈。这个任务是由M…M12,M13,M14构成的简单运放来完成的。Vref的值为2.1 V,由电阻取出的共模电平和Vref相比较,输出的电平由M14的漏端反馈回M7和M8的栅级达到控制输出电平的目的。
2 仿真结果
图3是电路增益的仿真结果,在880 MHz时达到了18 dB左右。

图4是噪声系数的仿真,闪烁噪声拐点在20 kHz附近,在100 kHz时噪声达到了17.5 dB。

图5是三阶交调点的测试,在本振信号为一5 dB,输入的射频信号为一30 dB时,三阶交调点的值为9.6 dB。

3 版图设计
图6为设计的版图。要注意的是高频差分信号的走线应尽量对称。
4 结 语
本文设计了一个工作在GSM频段的超低中频混频器,采用TSMC 0.18μm CMOS工艺,输出中频为100 kHz,增益为18 dB,噪声系数为17.5 dB,三阶交调
点为9.6 dB,可以应用于GSM接收机中。
上一篇:复杂背景下的车牌自动识别系统
下一篇:低压电源的超声波发射电路设计