时间:2008-11-17 23:41
人气:
作者:admin
SAW滤波器基本理论
SAW是在压电基片材料表面产生并传播,且振幅随着深入基片材料的深度增加而迅速减少的一种弹性波。SAW滤波器的基本结构是在具有压电特性的基片材料抛光面上制作两个声电换能器-叉指换能器(Interdigital Transducer,IDT),分别用作发射换能器和接收换能器,如图1所示[1, 2]。

图1 SAW滤波器结构图
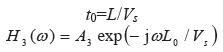
发射换能器将RF信号转换为声表面波,在基片表面上传播,经过一定的延迟后,接收换能器将声信号转换为电信号输出。滤波过程是在电到声和声到电的转换中实现,所以可以将SAW滤波器等效为一个两端口的无源网络,如图2所示。图中H1(ω)是发射(或输入)叉指换能器IDT1的频率响应, H2(ω)是接收(或输出)叉指换能器IDT2的频率响应, H3 (ω)是SAW在两叉指换能器间的传输特性。设声表面波的波速是Vs,由于Vs是非色散性的,显然H3(ω)可等效为一个具有一定延时t0的全通时延网络。若输入和输出叉指换能器中心间的距离为L,则有
式中 A3为常数,一般记为1。于是,SAW滤波器总的传输函数(或频率响应)是
应用傅里叶变换特性,在分析中考虑1|)(|3≈ωH,因此,可以不计入)(3ωH。声表面波滤波器的频率响应为

图2 SAW滤波器的等效图
2 无线通信中用SAW滤波器的研究
在移动通信系统中,无论是数字式还是模拟式,其发射和接收信号的功能模块电路结构基本相同,如图3所示。在Tx端,在载波上对信号进行调制, 通过放大电路将功率放大,然后经过SAW滤波器滤波后由天线将信号发出,本通道要求滤波器损耗低,可承受大功率;在R x端通道,天线接收到的微弱信号经SAW滤波器过滤后,进行放大解调,最终获得所要的信息,要求滤波器损耗低,阻带抑制高。

图3 GSM系统的发射和接收模块
传统的介质滤波器一般具有损耗低、大带宽以及较高的功率承受能力等特点。但其致命的弱点是体积太大,难以适应移动电话向微型化方向发展的趋势。而SAW滤波器具有体积小,适合于微型封、一致性好、无须调整的优点。本文以无线通信系统中移动电话用SAW滤波器(其技术要求为:Tx端中心频率f 0为902.5 MHz,带宽为25 MHz;R x端f 0为947.5 MHz,带宽为25 MHz)为例,介绍梯型结构SAW滤波器的等效电路分析,并给出设计结果。
2.1 等效电路分析
采用电网络分析与综合理论,将梯型结构的SAW滤波器由单端对SAW谐振器来代替网络中的各个单元。此结构具有电感电容(LC)滤波器低损耗的优点,而且可承受大功率,体积较小。这种结构一般用来设计射频滤波器,工作频率范围为300~2 400 MHz,相对带宽为2%~6%, 插入损耗小于5 dB, SAW谐振器及其等效电路如图4所示。

图4 SAW谐振器及其等效电路图
图4中C0为静电容,C1、L1分别为动态电容、动态电感,等效电路忽略了动态电阻。梯型SAW滤波器基本结构如图5所示。

图5 梯形滤波器结构
设计单端对谐振器时,使并臂谐振器的反谐振频率与串臂谐振器的谐振频率相同。其中frp、fap、frs、fas分别为并臂、串臂谐振器的谐振频率和反谐振频率。根据梯型滤波器传输函数截止条件可知,串臂谐振器阻抗Zs和并臂谐振器阻抗ZP性质相同时,形成阻带;Zs、ZP性质相反,且Zs/ZP>-1时,形成通带;Zs/ZP<-1时,形成过渡带;Zs/ZP=-1时的频率点为截止频率。
2.2 滤波器的设计
设计梯型结构滤波器[3, 4],主要是对单端谐振器的设计,并协调好串臂和并臂谐振器的相互关系。谐振器的阻抗可用其谐振频率
式中 ω rs=2πfrs, ω rp=2πfrp分别为串臂、并臂谐振角频率;ω ra=2π fra , ω ap=2π fap分别为串臂、并臂反谐振角频率;为使梯型滤波器的匹配阻抗为线性阻抗R p,串、并臂阻抗应满足
谐振器的频率关系为fap≈frs,f0=frp=fas-f0。在通带频率范围内,Δ f=(fas-frp)/2,将式(4)、(5)代入式(6),可化为
式中 一般取为50 Ω。单端对谐振器的静电容可由下式获得

图6 梯型SAW滤波器电路结构示意图 图7 梯型SAW滤波器频率特性
设计得到的SAW滤波器频率特性如图7所示,其中心频率为947.5 MHz,3 dB带宽>30 MHz,插损≤4.0 dB,SS>30 dB,匹配阻抗为50 Ω,取得了较为满意的结果。
3 结 束 语
根据电网络分析与综合理论并结合SAW滤波器的传输函数,本文从理论上分析并设计了梯型结构SAW滤波器中的单端对谐振器,同时采用该结构设计了无线通信系统移动电话用的SAW滤波器,取得了较为理想的结果,且滤波器无需外加匹配电路,满足了无线通信系统的技术要求。
无线通信用SAW滤波器的分析与设计
上一篇:中国闪联又一项国际标准提案成为ISO/IEC 最终草案
下一篇:虚拟演播室系统原理