全球最实用的IT互联网信息网站!
AI人工智能P2P分享&下载搜索网页发布信息网站地图
采用精简协议栈的ZigBee网络节点分析
阅读全文2009-03-29
DNS 重定向的缺陷
阅读全文2009-03-25
CDN 路由的概念
什么是CDN
第三代无线通信标准
阅读全文2009-03-24
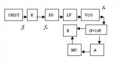
双模前置型锁相频率合成器的结构原理图
ResourceSmart™ (Green) I
阅读全文2009-03-23
Calculating Energy Usage: How
MC1496模拟乘法器构成的混频器电路图
阅读全文2009-03-22
MC1496构成的相位鉴频器电路图 (含原理说明)
无线连接Wi-Fi设备将帮助您解决三大设计
6G的下一步:太赫兹技术新进展
摩尔斯微电子与移远通信合作,将Wi-Fi
移远通信携手MediaTek在悉尼科技大学开展
CPU | 内存 | 硬盘 | 显卡 | 显示器 | 主板 | 电源 | 键鼠 | 网站地图
Copyright © 2025-2035 诺佳网 版权所有 备案号:赣ICP备2025066733号 本站资料均来源互联网收集整理,作品版权归作者所有,如果侵犯了您的版权,请跟我们联系。