时间:2022-08-23 11:45
人气:
作者:admin
可穿戴式脉搏血氧计是一种无创医疗设备,可用于测量血氧饱和度和脉搏率。这些技术依靠的过程是,让 LED 光穿过透亮的身体部位(通常是手指),然后对其进行检测。
虽然这是一项广为人知的技术,但由于它依赖于众多变数,因此很难获得准确的读数。在检测方面,这些变数包括实现最佳灵敏度所需的信号调节元素、动态范围、带宽以及处理来自 PIN 二极管的暗电流。此外,还存在成本和功耗等问题。
因此,利用光敏元件准确地检测高低信号可能极具挑战性。
对于许多设计人员而言,最好的前进方向不是重起炉灶,而是使用现有的电路。使用已有设计可以降低总体成本,同时还能确保最大限度提高设计成功的可能性。
本文将讨论可穿戴式脉搏血氧计的检测信号调节链的要求,然后介绍该调节链的关键要素,包括如何使用暗电流补偿二极管,最后介绍如何利用参考设计(在实际配置中结合了完美匹配的元素)来顺利实施设计。
脉搏血氧计的操作
脉搏血氧计可以连续测量患者的血红蛋白 (Hgb)、氧饱和血红蛋白 (HbO2) 百分比及脉搏率。测量过程中,光电二极管会检测穿过患者手指、脚趾或耳垂的交替红外 LED 光和红色 LED 光。在患者血液中,氧合血红蛋白 (HbO2) 可吸收红外 LED 光 (940 nm),无氧血红蛋白 (Hgb) 则可吸收红色 LED 光 (650 nm)。在脉搏血氧计中,两个 LED 受到两个电流源快速而有序的激励,并用一个光电二极管检测每个 LED 的光强度。该测量可计算 HbO2 和 Hgb 之间的比例,从而估算出百分比形式的血氧含量。脉搏率测量需要几个脉动血液波形样本。为精确测量这些参数,高速光电二极管的信号路径必须采用兼具低噪声和低失真特点的器件。
传统的光电感应电路
设计精密光电感应电路的标准方法是,跨运算放大器的 CMOS 或 FET 晶体管输入端放置一个光电二极管 (D1),并在反馈回路中与电容器并联放置一个电阻器。该电路使用 Analog Devices 的 光电电路设计向导进行建模(图 1)。为捕获红色光和红外光,使用了 OSRAM Opto Semiconductors 的 SFH 2701 光电二极管,该二极管的光学范围为 400 纳米 (nm) 至 1050 nm。

图 1:传统的光电感应电路跨运算放大器的 CMOS 或 FET 晶体管输入端放置一个光电二极管 (D1),并在反馈回路中与电容器并联放置一个电阻器。(图片来源:Bonnie Baker)
在图 1 中,光电二极管上的入射光会使电流 (IPHOTO) 从二极管的阴极流向阳极,最大值为 200 微安 (mA)。由于反向 CMOS 放大器的输入阻抗极高,光电二极管可以捕获来自红外 LED 和红色 LED 的入射光,从而使电流流过反馈电阻器 Rf。通过跟踪放大器非反向输入的虚拟电压,放大器反向输入端的电压可保持在接地电位。因此,输出电压会按照 IPHOTO x Rf 的结果而发生变化。
当光线照到光电二极管时,电路会将 IPHOTO 转换为输出电压,其转换函数如等式 1 所示。

等式 1
其中:
OUT = 运算放大器的输出电压
IPHOTO = 光电二极管的电流(安培)
Rf = 反馈电阻器阻值(欧姆)
s = 复合频率变量 (jω),其中 ω(弧度)= 2πf
Cf = 反馈电容(法拉)
需要注意的是,从等式 1 可以看出,信号频率极点(增益随频率的升高而降低的频率)等于 2 x p x Rf x Cf。
如果不考虑诸如放大器和光电二极管寄生电容之类的微妙细节,这种简单的解决方案往往注定会失败。例如,系统阶跃响应可能导致输出具有不可接受的瞬时振荡量。或者,电路可能会发生振荡。处理并解决不稳定性问题之后,输出响应可能仍然太嘈杂,无法获得可靠结果。
很显然,在可靠性和稳定性方面还需要更多考量。
稳定性和元件选择
若要实现稳定的光电感应电路,首先需要了解电路中的设计变量,分析总体传递函数,然后利用这些发现设计出可靠的电路解决方案。
第一个设计重点是为光电二极管响应选择合适的电阻器。第二个设计重点是建立稳定性。完成稳定性分析后,下一步工作是评估和调整系统的输出噪声,使其按照应用要求产生适当的信噪比 (SNR)。
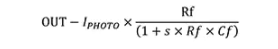
放大器和光电二极管模型有助于确定光电二极管感应电路的频率和噪声响应。然而,设计过程要取得良好的稳定性,首先需要评估系统的传递函数,并确定影响稳定性的关键变量。首当其冲的是确定反馈电阻 (RF) 的值(图 2)。

图 2:用于交流和噪声分析的光电二极管前置放大器等效电路(图片来源:Analog Devices)
该电路的设计准则是 5 伏满量程输出及 200 μA 的最大光电二极管电流。根据等式 2,可利用满量程输出电压和最大光电二极管电流确定反馈电阻的值:

等式 2
稳定性分析中需要考虑三个电路设计变量:光电二极管、放大器以及并联的 RF 和 CF (RF||CF) 放大器反馈网络。光电二极管的选择取决于其光响应特性,然而,其寄生电容 (CS) 对电路的噪声增益和稳定性有很大影响。
图 2 中的网络会直接影响电路的稳定性以及噪声性能。与 CMOS 或 FET 输入差分对一样,运算放大器应具有皮安 (pA) 级的低输入偏置电流。这些差分晶体管对可保持 pA 级的低输入偏置电流,以及数十至数百微伏的失调误差。如果这两种误差中某一种很大,或两种误差都很大,则非线性行为会影响放大器对 LED/光电二极管结果的响应。
此外,放大器的输入共模 (CM) 和差模 (CD) 寄生电容也会对系统的稳定性和总体精度产生不利影响。
实现足够稳定的带宽取决于 RF、放大器的增益带宽积以及放大器求和点的总电容 CIN。放大器求和点的总电容包括光电二极管 SFH 2701 的寄生电容以及实际放大器,即 Analog Devices 的 AD8065ARTZ-R2 的输入电容(差模和共模),可使用等式 3 计算得出:

等式 3
其中:
CIN = 求和点的总电容
CS = 光电二极管的寄生电容 = 1.7 pF
CD = 放大器的差模输入电容 = 4.5 pF
CM = 放大器的共模输入电容 = 2.1 pF
在本文中,CS 的值是从 5 伏反向偏压产生的光电二极管寄生电容。
放大器的增益带宽积为 65 兆赫兹 (MHz) (fCR)。由于 AD8065 可实现的最大带宽大于 2 MHz 的设计目标带宽,因此非常适合脉搏血氧计电路。
为验证可接受的 AD8065 带宽,等式 4 定义了具有 45° 相位裕量 (f (45)) 的信号带宽:

等式 4
其中:
f (45) = 具有 45° 相位裕量的系统信号带宽
fCR = 放大器的增益带宽积
f(45) 的值超过了 2 MHz 的设计带宽。
放大器回路传递函数中的 RF 和 CIN 极可能会导致峰值和电路不稳定。增加 CF 会在回路的传递函数中形成一个零点,从而补偿上述极点的影响并减小信号带宽(图 3)。

图 3:使用寄生输入电容 CIN 时光电二极管放大器电路的频率响应。(图片来源: Analog Devices)
等式 5 使用 f2 的转折频率 (2 MHz) 来确定 Cf 的值:

等式 6
2 MHz 目标信号带宽对应的 Cf 电容值 (3.3 pF) 大于放大器的 Cf 电容值 (0.903 pF)。较低的电容值说明系统稳定,因为增加反馈电容可以增加相位裕量。
光电二极管响应时间
有三个因素影响光电二极管的响应时间:
光电二极管耗尽区的载流子电荷收集时间
光电二极管未耗尽区的载流子电荷收集时间
光电二极管/电路组合电阻-电容 (RC) 时间常数
由于结电容取决于光电二极管的扩散面积和施加的反向偏压,因此上升时间会随着扩散面积的减小和反向偏压的增大而增加。SFH 2701 PIN 光电二极管的结电容在 0 伏偏压下的最大值为 5 pF,1 伏反向偏压时的典型电容为 2 pF,5 伏反向偏压时为 1.7 pF。出于此次讨论的目的,所有测量均在 5 伏反向偏压下进行。
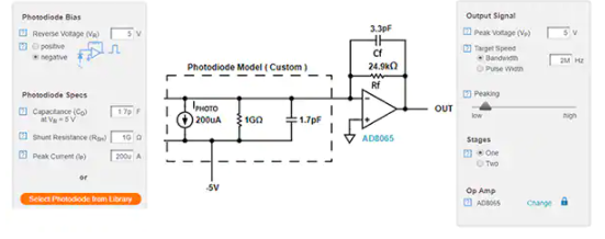
光电二极管的一个特性是,在没有照明的反向偏压条件下(光导模式),会有少量电流(被称为“暗电流”)流过光电二极管,这股电流需要使用第二个相同的光电二极管进行补偿(图 4)。第二个二极管会被遮挡传入的 LED 光,并且连接到运算放大器的非反相输入端,以消除第一个二极管暗电流的影响。

图 4:带有与输入端光电二极管 SFH 2710 并联的暗电流补偿二极管的完整光电感应电路图。(图片来源: Analog Devices)
实现这种暗电流补偿的器件包括:位于放大器输入端与 SFH 2701 并联的光电二极管、附加 Rf 24.9 kΩ 电阻器(以匹配 RF 反馈电阻)以及可大幅降低电阻器噪声的 0.1 mF 电容器。
该电路利用来自高速 SFH 2701 硅 PIN 光电二极管的电流,来驱动 Analog Devices 每秒 20 兆次采样 (MSPS) 的 AD9629BCPZ-20 模数转换器 (ADC) 的输入。这个器件组合提供:
2 MHz 的带宽
400 nm - 1050 nm 的频谱灵敏度
最低 49 nA 的光电流灵敏度
91 dB 的动态范围
整个电路采用 ±5 V 电源供电,功耗仅为 40 mA,因此该配置非常适合便携式、电池供电、高速、高分辨率的光强度检测应用。
脉冲血氧计就是此类应用之一,但首先还需要将电路的噪声降到最低。
脉搏血氧计光电感应输入噪声分析
选定元器件后,下一项任务是确定整个系统的分辨率。噪声源决定了分辨率窗口的基础,并且以平方和的根 (RSS) 的方式组合。
对于光电二极管前置放大器而言,主要的输出噪声源是运算放大器的输入电压噪声和反馈电阻噪声。
电阻噪声可使用约翰逊噪声公式进行计算,参见等式 7:

等式 7
其中:
k = 玻尔兹曼常数 (1.38 × 10-23J/K)
T = 绝对开氏温度
p/2 约为 f2 的单极带宽
输出噪声主要源于运算放大器的输入电压噪声以及发生在 f1 和 fCR 之间的系统噪声增益峰化,参见等式 8(图 3)。

等式 8
其中,VN = 输入电压运算放大器噪声 (7 nV/√Hz)。
表示 AD8065 输出的总均方根噪声是 VRFRTO 和 VNRTO 的 RSS 值,参见等式 9。

等式 9
前置放大器的总输出动态范围(以分贝为单位)的计算方式为:将满量程输出信号(5 伏)除以总输出均方根噪声 (56.54 μVRMS),取 log10 对数,然后乘以 20,参见等式 10:

等式 10
ADC 选型
有效分辨率等于转换为有效分辨率的最大位数,而最大位数(或总代码数)等于满量程输出除以总输出噪声,参见等式 11:

等式 13
根据便携式脉搏血氧计的规格,13 位可以满足甚至超过制造商的要求。
如果系统的 LSB 数值小于暗电流带来的噪声,则可以使用第二个光电二极管来消除暗电流。例如,在 16 位分辨率环境中,光电流 LSB 等于最大光电流除以 2 的位数次方,参见等式 14。

等式 14
由于流经 SFH 2701 的最大暗电流规格为 5 nA(25°C 时),所以在 16 位设计中需要暗电流补偿。此脉搏血氧计应用使用 12 位 ADC,因此 LSB 数值为 49 nA,无需进行暗电流补偿。请注意,温度每升高 20°C,暗电流会增加约 10 倍,因此,光电二极管 25°C 时的 5 pA 暗电流在 45°C 时将会变为 50 pA。
合理的设计原则是,若系统带宽为 2 MHz,则应选择一个 10 倍或更高采样率的 ADC。这表示,如果脉搏血氧计的带宽为 2 MHz,理想的 ADC 必须具有 12 位分辨率,且采样率不低于 20 MSPS。
AD9629-20 是一款 20 MSPS、12 位分辨率的理想 ADC。但是,该转换器要求差分输入,因此必须将 5 V p-p 单端 AD8065 信号衰减为 2 V p-p 差分信号。使用 AD8475 差分漏斗放大器可轻松满足这一要求,提供单端至差分信号转换。AD8475 的另一个优势是可提供共模电平位移和精确衰减。
AD8475 支持的最大输出电压为 2 V p-p,最高频率为 10 MHz。此外,AD8475 的最大输出失调电压仅为 500μV,具有 10 nV/√Hz 的差分输出噪声,以及 −112 dB 的总谐波失真加噪声 (THD + N) 性能。
AD8475 的增益由 AD9629-20 的模拟输入范围 (2 Vp-p) 和 AD8065 的满量程输出 (5 Vp-p) 共同决定,参见等式 15:

式 15
片载 AD8475 的共模电压为 0.9 V,补充了 AD9629-20 的 VCM 引脚。
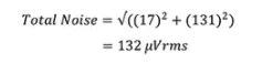
系统噪声的最后一道难题是 AD8475 的噪声。要计算 AD8475 的噪声,需要先将 AD8065 的输出噪声乘以 AD8475 的增益。
AD8475 输出端的 AD8065 噪声等于 0.4 × 43.6 μVRMS,即 17 μVRMS。AD8475 的输出噪声等于输出噪声密度 (10nV/μ Hz) 乘以输出滤波器带宽 (BW) 的平方根,参见等式 16:

等式 16
AD8475 输出滤波后噪声 =
(10 nV/√Hz) x √ (110 MHz x p/2) = 131 mVRMS
计算 AD8475 的总输出噪声需要 AD8065 噪声与 AD8475 经滤波后输出噪声的 RSS 值,参见等式 17:

等式 17
利用 AD847 的噪声贡献可以算出系统的总均方根 LSB 值、有效分辨率、无噪声分辨率和动态范围,参见等式 18:

等式 18
测试结果
理论是一回事,但设计人员只有通过实际试验才能真正了解电路中发生的情况。
例如,激光二极管可以驱动 D1 光电二极管并产生电流。光电二极管 D2 在电路中作为暗电流补偿器件,其覆有不透光的环氧树脂,以防止 D2 在 D1 受到激励时产生输出电流。通过迫使光电二极管驱动高于预期的电流,可以得出 AD8065 的近似最大上升和下降时间为 72 纳秒 (图 5)。

图 5:对光电二极管进行过驱得到的脉冲响应。(图片来源: Analog Devices)
图 6 显示了 CN0272 评估软件成功接收来自 AD9629-20 ADC 的转换数据,并以图形方式显示该数据的屏幕截图。

图 6:CN0272 评估软件将 2 MHz 可变光源进行数字化处理的屏幕截图。(图片来源: Analog Devices)
图 7 显示了与 EVAL-SDP-CB1Z SDP 板连接的 EVAL-CN0272-SDPZ 评估板。

图 7:与 EVAL-SDP-CB1Z SDP-B 板连接的 EVAL-CN0272-SDPZ 评估板。(图片来源: Analog Devices)
总结
可穿戴式脉搏血氧计通过发送穿透身体半透明部位的 LED 信号,来测量血氧饱和度和脉搏率。LED 检测信号调节电子设备需要能够补充最佳灵敏度、动态范围和带宽的器件。众所周知,传统光电二极管电路可以解决许多关键问题,但是,动态范围受到光电二极管暗电流的限制。
在本文提出的暗电流补偿技术中,通过在电路中加入第二个光电二极管来产生差分暗电流信号,可以成功地消除该误差。您可以使用 Analog Devices 的 EVAL-CN0272-SDPZ 和 EVAL-SDP-CB1Z SDP-B 评估板在自己的工作台上尝试一下。
1TOPS算力+6nm工艺,功耗再降30%!BES6000即将