时间:2023-06-11 09:44
人气:
作者:admin
热效应一方面是因为玻璃与机械件的热胀冷缩,另一方面则是因为玻璃的热折射率效应。玻璃和机械的热系数虽然会有不同,但总是正值,即随温度的升高而膨胀,温度降低时就会缩小。而玻璃的热折射率效应却有正负值甚至为零,而且玻璃的热折射率效应对整个系统焦移的影响与这块玻璃在系统中所起的光焦度作用有关。因此光学系统的无热化就是利用玻璃热折射率效应补偿玻璃与机械件的热胀冷缩。本文用一阶的方式对系统进行无热化分析。
首先,假设玻璃的热折射率为零,或者假设材料的热折射率对系统的焦移贡献为零,那么温度变化时,探测器的离焦量主要由材料和机械件的热胀冷缩决定(暂时不考虑热胀冷缩导致的曲率变化);当一个系统的总长和机械件的材料确定了,那么这个离焦量也大致为定值,即使变化系统的结构,其对离焦不会带来太多影响。
假设第j面玻璃的热系数为αj ,第j面空气的机械件的热系数为βj ,表面之间的厚度为lj,温度变化量为ΔT ,那么总的离焦量为:

(1)
考虑到整个镜头一般都是用同一种金属材料封装,假设这种材料的热系数为γ,系统总长为L ,那么总的离焦量就为:
ΔL=γLΔT (2)
玻璃的热折射率系数比较复杂,对于不同材料在不同波长或不同温度下差别很大,假设某种材料的热折射率系数为:

(3)
因为温度变化导致玻璃的折射率变化,玻璃的折射率变化导致元件的光焦度变化,元件的光焦度变化导致系统的光焦度变化,系统的光焦度变化会产生系统焦移量。无热化的思想就是,用这个焦移量来补偿由温度热胀冷缩而产生的离焦量。
单片薄透镜的光焦度P与折射率的关系为: P=n(c1-c2) (4) 其中n为玻璃的折射率,c1和c2分别为两个面的曲率,所以光焦度与温度的关系为:

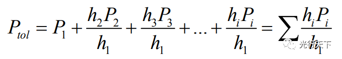
(5) 单个镜片的光焦度与系统的光焦度的一阶关系为:

(6) 其中 Ptol表示系统的总光焦度,hi表示边际线在第i片薄透镜的高度,Pi表示第i片薄透镜的光焦度。因此总光焦度与温度的关系为:

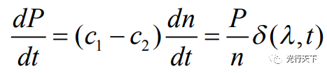
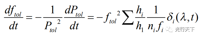
(7) 又因为在空气中焦距是光焦度的倒数即 f=1/p (8) 所以温度导致的焦移量为:

(9) 当热胀冷缩的焦移量与热折射率导致的离焦量相等时,就实现了无热,结合式子(2)和(9):

(10) 温度变化会导致镜片热胀冷缩,从而导致曲率变化,曲率变化也会导致光焦度变化。以上推导未考虑这个因素,然而可以推出 ΔP=αPΔT (11) (以上分析仅供参考,热效应非常复杂,但是简化的模型至少可以判断应该在哪里往哪个方向换玻璃)
编辑:黄飞