时间:2023-03-29 10:08
人气:
作者:admin
高性能超声成像系统广泛应用于各种医学场景。在过去十年中,超声系统中的分立电路已经被高度集成的芯片(IC)所取代。先进的半导体技术不断推动系统性能优化及尺寸小型化。这些变革都得益于各类芯片技术,如专用低噪声放大器、多通道低功耗ADC、集成高压发射、优化的硅工艺和多芯片模块封装。随着芯片功耗和尺寸减小至原来的20%。此外,得益于低功耗、高性能硅工艺的发展,部分波束合成预处理模块已经集成于通用的模拟或混合信号芯片而非专用的数字处理器。同时,先进的高速串行或是无线接口大大降低了系统布局复杂度,并且能够将尽可能多的RF数据转移到系统集成芯片(SOC)、CPU或GPU。当前超声技术的应用也从特定的放射学诊断扩展到各类便携式应用,床旁实时监测以及医疗现场就地检查等各个领域。
本应用指南综述了超声系统的架构和原理,分析了系统设计的注意事项,综述了应用于超声芯片的先进技术,最后讲解了医学超声芯片的模拟参数。
1. 医学超声成像
超声波是一种频率高于20KHz的声波。医学超声成像系统常采用1 MHz至20 MHz的频率,可达到亚毫米级分辨率。第一台商用超声成像系统诞生于20世纪70年代,可提供实时的2D亮度或灰度图像。如今,超声成像凭借安全性、成本效益和实时方面的优势,已经成为重要的医学成像技术。医学超声系统能够有效地监测婴儿发育,也可用于诊断心脏、肝脏、胆囊、脾脏、胰腺、肾脏、膀胱等内脏器官的疾病。
典型的超声系统包括压电换能器、电子电路、图像显示单元和DICOM(医学数字成像和通信)兼容软件。典型超声系统的简化框图如下所示。

图1.典型超声系统的简化框图
2. 声波产生和传播的原理
超声换能器是超声系统的关键组成部分,由压电元件、连接器和支撑结构组成。压电效应是指某种材料的物理尺寸随施加的电场而变化的现象,反之亦然。如下所示,超声应用中的大多数换能器是双共模式。换能器在发射相(模式)期间将电能转换成机械能。产生的机械波向介质传播,若介质不均匀则会反射。在接收模式中,接收反射的机械波形并由换能器转换成电信号。

图2.换能器振动、声波传播和反射
在换能器被电子激励之后,会产生声波并在介质中传播。在医学超声中,FDA(食品药品管理局)要求所有成像系统满足瞬时、峰值和平均强度的限制。
我们通常将换能器灵敏度或换能器插入损耗(IL)定义为接收(Rx)和发射(Tx)信号幅度之间的比率,如下所示:

换能器频率由压电材料L的厚度和材料中的声速cm决定:

如前所述,常用的频率范围为1MHz至20MHz。基于上述方程式,较高频率的换能器需要较薄的材料。因此,构建极高频的换能器具有一定的挑战性。
换能器频率响应或带宽是另一个关键参数。作为一般规则,若换能器被脉冲信号(即短尖峰)激励,则接收回波的持续时间决定了换能器的带宽。具有极快响应(即短回波)的换能器是宽带换能器,反之亦然。在大多数应用中通常优选更宽的带宽。在相同的换能器频率下,宽带换能器可实现更好的轴向分辨率,因为回波长度决定了超声系统的轴向分辨率。与此同时,宽带换能器适用于谐波成像,在该成像模式下超声能量以基频发射,而图像由接收到回波的二次谐波来重建。如没有宽带宽换能器的情况下,换能器灵敏度在其谐波频率点2f0处显著下降。因此许多换能器研究人员不断探索新材料、新架构和新制造工艺以进一步改善换能器性能。
在超声成像的早期阶段,用于超声系统的多通道电子电路既昂贵又不成熟。由电机驱动通过机械扫描方式成像单阵元换能器被广泛用于获得二维(2D)图像。由于机械结构的速度和精度限制,早期系统无法实现高帧率或高精度成像。如今,成熟的阵列换能器和多通道电子技术可支持64到512个阵元的换能器。以电子扫描为基础可获得高达> 100帧/秒的图像。为实现电子扫描,波束合成技术应用于聚焦换能器的声束。波束合成的细节将在下一节中讨论。与光学成像系统类似,超声系统可在聚焦焦点处实现最佳空间分辨率。根据应用,一维(1D)阵列换能器包括线性阵列、弯曲线性阵列和相位阵列。这些换能器之间的主要区别在于光束成形结构、成像范围和图像分辨率。此外,由超过2000个元件组成的最新2D阵列换能器可支持实时三维(3D)成像。下图所示为单阵元换能器、1D阵列换能器和2D阵列换能器。

图3.典型的换能器:(A)单元件换能器;b)1D阵列换能器;(c)2D阵列换能器(由USC、Vermon和Philips提供)
3. 换能器指标与图像质量
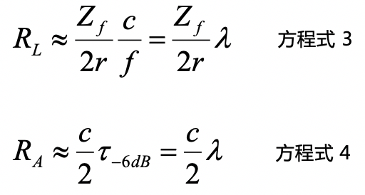
和任何成像系统类似,图像质量是医学超声成像中的重要标准。诸如空间分辨率和成像穿透等共同参数主要通过换能器指标和声波传播理论来决定。超声图像的纵向和横向分辨率与介质中的声波波长成线性关系:

方程式中,c是介质中的声速,Zf 是焦距,2r是换能器孔径或直径。当换能器被脉冲信号激励时,τ-6dB为接收回波的-6dB脉冲宽度的持续时间。 τ-6dB也与波长λ成线性关系。对于宽带阵列换能器,我们可分别比较5MHz和12MHz的横向分辨率,其工作频率为5MHz至14MHz。成像深度为5厘米。在两种情况下,64个换能器阵元形成有效孔径。元件之间的间距为0.3mm。介质中的声速为1540m/s。有效孔径尺寸为19.2mm。根据的公式,对于5MHz和12MHz的声波,λ分别为0.31mm和0.13mm。根据上述方程式,横向分辨率分别在5MHz时为0.8mm,在12MHz时为0.33mm。因此,更高频率的应用实现更佳的分辨率。
实际上,仅通过增加换能器频率来改善图像质量并非完全可行。一方面,更高频率的换能器需要更薄的压电材料,这需要更精密的制造技术,且成本更高。另一方面,如后面章节所示,较高频率的声波在生物组织中容易衰减。
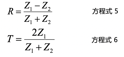
当介质不均匀时,声波的部分能量可在两个介质的边界处反射。未反射的声波继续传播,直到它在下一个边界被反射,或完全衰减。反射和透射系数由这两种介质的声阻抗(Z=ρc)的差异决定。方程式中,ρ和c分别是介质的密度和声速,假设波传播方向垂直于边界。

表1所示为所选生物组织、水和空气的特性。在两个声阻抗极其不同的情况下会出现强反射信号。骨骼密度高,声速快;因此它总是超声图像中的强反射组织器。另一方面,血液和肝脏的声阻抗相似,因此这两种组织之间的反射很弱。只有高灵敏度的换能器才能拾取微弱的信号。如表1所示,信号在传播过程中会衰减。累积衰减随着传播距离的增加而增加。以方程式7计算衰减,其中系数2体现了声波双向传播。

在超声波探查体内组织的典型应用中,来自人体表面的回波与来自内部器官的回波之间的动态范围很容易超过100dB。我们可假设平均衰减系数为0.7dB/MHz×cm和7.5MHz换能器。在10cm的深度处,基于方程式7,即7.5×0.7×10×2dB,计算所得105dB的衰减。假设表面回波为1Vpp,体内器官回波的幅度为<10uVpp,非常弱。该示例表明超声信号具有极宽动态范围才能表征皮肤表面至内脏器官的生理结构的差异。因此需要复杂的电子电路以提供足够的动态范围,而这在有限功耗的预算下是不容易实现的。

表1:典型组织和介质的声学特性
4. 超声成像模式:
当换能器接收到回波时,适当的处理单元需要将这些信号转换成超声波检验师或其他最终用户的可理解的图像信息。超声成像使用几种成像模式来研究组织特征、体液分布及流动、器官功能等。
A模式和B模式
在最早的超声系统中,通过显示回波的幅度及其时域信息来指导临床诊断。即A模式(振幅模式)超声成像系统,如下图所示,它以一维逐行扫描为基础,。由于人类视觉对图像更敏感,因此开发亮度或灰度成像模式有更积极的临床意义。为构建2D图像,需要在特定区域上扫描换能器的声束,且在扫描期间获得多个A模式扫描行。这些扫描行构成一帧图像,沿着扫描线的回波幅度以线性或非线性方式映射到像素值。当换能器的声束足够快地进行扫描时,可实现实时图像。这些图像被称为B模式(亮度模式)图像,其创建了与扫描方向平行的一个横截面图像。

图4:扫描模式:(a)A模式扫描行(b)B模式图像(c)3D声束扫描以及(d)B模式(子图1、2、3)和3D(子图4)临床图像(由Philips提供)
最近在最新的商业超声系统上产生了越来越新颖的成像模式(如3D和4D成像),这些是B模式成像的扩展。3D成像是以二维方式扫描声束并获取多个横截面B模式图像的叠加,如上图(c)和(d)所示。此外,4D成像被定义为实时3D成像。
多普勒超声
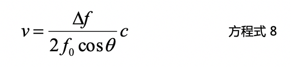
大多数临床超声系统包括另一个必不可少的特征:多普勒超声用来显示血液的流动信息。多普勒效应描述了由于介质中的目标运动导致的波长偏移。若从远离观察者的声源发射波,则其波长增加,反之亦然。因此,当声波传播并被体内的运动目标反射时,发射脉冲和接收回波的波长是不同的。该频率差是多普勒频移,可用于计算运动物体的速度:

方程式中,

是多普勒频移,f0是发射脉冲的中心频率,c是介质中的声速,θ是超声波束和运动物体之间的角度。
多普勒超声早在20世纪50年代就已用于医学应用。目前,它可评估血流和组织运动。在过去60年中,多种多普勒技术提供不同的诊断信息,包括连续波(CW)多普勒、脉冲波(PW)多普勒和彩色多普勒。这些多普勒模式之间存在较大的应用差异。

图5.连续波(CW)多普勒测量配置
连续波多普勒是最早采用的技术,即通过从接收的回波中提取多普勒漂移频率来实现。其测量设置如上图所示,测量中使用了两个换能器Tx和Rx。当Tx发射连续波时,Rx接收来自任何反射器的回波。例如,若Tx向介质发送余弦波,则Rx检测来自移动反射器的移频余弦信号:

其中ωc是换能器的中心频率,ωd是由运动物体引入的多普勒频移(可通过用混频器解调来提取)。这种技术可测量由于心脏瓣膜泄漏引起的极高速血流,以及深静脉内极低速度的血流。为了解决CW电路的低相位噪声和低热噪声的挑战,通常CW通路需要单独的模拟处理电路。。如前所述,超声图像的轴向分辨率取决于回波脉冲宽度。在CW操作中,脉冲宽度是无穷大;因此轴向分辨率很差,或者说是对轴向血流信息做平均。横向分辨率取决于两个换能器重合的聚焦区域。通常,CW测量的主要缺点是其有限的空间精度,因为CW也可检测到不相关的区域产生的无关信号。一般来说CW模块的性能是区分高端系统和低端系统的关键指标。

图6.脉冲波多普勒测量配置
脉冲波(PW)多普勒技术于20世纪60年代诞生,以解决CW空间分辨率差的问题。PW多普勒基于同样的B模式成像设置,因此它是原B超系统一个新功能。解调和采样保持技术用于提取流信息。PW多普勒系统的实验设置如上图所示。在该系统中,仅需要一个换能器,且阴影区域示出了由换能器的轴向分辨率(脉冲持续时间)和横向分辨率确定的样本体积。通常,换能器以特定周期重复频率(PRF)发送4-16周期正弦信号,并接收反射信号。由于接收的信号被血流中的移动粒子的(如红细胞和白细胞)散射,因此时间1的反射回波1与时间2的反射回波2相位略微不同。对接收信号进行放大和处理以提取相移频率。与CW多普勒相比,PW多普勒检测有限感兴趣区域(ROI)中的流速,其中共用换能器同时也用于B模式成像。通过修改信号处理软件,可在B模式成像平台上实现PW多普勒功能。
在CW和PW多普勒模式中,流信息是从一个聚焦声束中获得的,类似于A模式成像。在20世纪80年代,研究人员基于彩色多普勒技术完成了血流分布的二维信息可视化。彩色多普勒处理也是基于B模式/PW模式信号路径。从感兴趣区域收集多帧RF数据。由于感兴趣区域中的血液流动导致图像帧之间存在数据差异。相域中的自相关和时域中的互相关两种算法可从RF数据中提取数据方差(即血流速度和方向信息):。根据预定义的颜色渐变条相应地映射包括速度和方向的血流信息。通常,蓝色和红色代码分别识别朝向和远离换能器移动的血流。当流速增加时使用更亮的颜色,反之亦然。颜色映射的2D分布始终叠加在B模式图像上,以实时同时显示个体解剖结构和血流。它对于诊断心血管疾病,如血管闭塞和心脏瓣膜反流,极其有用。典型的彩色多普勒图像如下图所示,(b)显示颈动脉狭窄引起的血流流速变化。

图7.彩色多普勒成像:(a)以彩色多普勒和CW模式获得的图像(由Philips提供);(b)显示颈动脉狭窄的彩色多普勒(由GE提供)
彩色多普勒仍然是一个活跃的研究领域。众所周知,自相关和互相关处理技术需要强大的计算能力。正在开发新算法以较低的计算成本分析血流。与此同时,得益于半导体技术的最新进展,具有更低功耗和更高计算能力的数字信号处理器正应用于该领域。
其他成像模式
B模式、CW多普勒、PW多普勒和彩色多普勒是超声系统中最主要的成像模式。我们简略介绍下在日常诊断中常常用到的其他成像模式以获取更全面的临床信息
运动模式(M模式)是基于B模式;它可在一段时间内捕获心脏运动,并指示缺陷瓣膜或心室腔室的功能。
组织谐波成像(THI)于20世纪90年代开始流行,现在是新系统中的标准成像模式。谐波信号由组织中的声波传播失真而产生。在THI中,提取这些谐波以实现图像对比度和分辨率改善、伪像减少和信噪比(SNR)的增加。自20世纪90年代末和21世纪初以来,编码激励等技术也有所发展并应用到临床。总所周知良好的轴向分辨率需要短脉冲持续时间(即低发射声能),而为增加SNR,我们希望增加脉冲持续时间。通过优化的匹配滤波器和激励码,我们仍可使编码激励长脉冲实现短脉冲类似的轴向分辨率。
由生物安全的气体/微气泡组成的造影剂可显著提高SNR和对比度,因为这些微气泡是完美的声学反射器。造影剂增强成像有助于心血管诊断。此外,这些微气泡比正常组织具有更强的非线性特征,适用于谐波成像。
医学超声是一种安全且低成本的医学成像手段,是MRI、光学和PET系统的良好补充。多成像模式系统可利用每种成像模式优劣势互补集成以获得最佳诊断信息。例如,光声成像可将超声成像的深度穿透与光学成像的高对比度相结合。MRI引导超声治疗是多模态方法的另一个示例。
5.超声波电子学
下述框图表示典型的超声系统。主要组件包括高压发射电路、低噪声模拟前端、发射和接收器波束合成电路、数字信号处理单元、图像显示和存储单元以及其他配套电路。

图8.典型超声电子电路的框图
超声发射电路和接收电路
在当前系统中,多通道发射器用于激励阵列换能器。根据可用的成像模式,发射电压在±2V至±100V之间变化。有时,为降低系统成本,使用高压多路开关将一个发射器通道切换到多换能器元件。在低端到中端系统中,选择基于方波的高压发射电路,因为它们具有高集成度和低成本。在高端系统中,高压线性放大器可生成各种复杂波形。在换能器上,高压发射信号和低压回波共存。因此,T/R开关电路位于高压发射电路和低噪声放大器之间,其主要功能是保护低压放大器。超声信号可根据其传播距离或时间而显著衰减。因此,在接收器中,增益随着超声传播时间增加而增加。这一重要特性称为时间增益补偿(TGC),通常需要如下所示的电压控制放大器(VCA)。在放大和预处理之后,将信号数字化并传递到接收器波束合成器或连续波(CW)多普勒处理单元,其中混频器提取音频范围(20Hz到20KHz)中的多普勒信号。

图9.用于时间增益补偿的电压控制放大器
在过去30年中,超声前端电子设备已从分立电路升级为集成电路芯片。各类超声波前端解决方案大大简化系统设计并降低成本。
考虑到超声前端电子设备的极端要求,例如>100dB动态范围和20Hz~>GHz工作频率,每个小的改进都需要在晶体管级、芯片级、电路板级和系统级上进行大量的研发工作。与大多数混合信号系统类似,良好的模拟输出始终是后续信号处理和图像质量改进的基础。低功耗、低噪声和紧凑的尺寸是超声前端电子设计的首要考虑事项。
波束合成器
波束合成器包括发射和接收波束合成器来实现电子聚焦和控制多阵元换能器的声束。,如下图所示从一个换能器阵元到目标的距离与从另一个阵元到目标的距离不同;因此在发送相,针对每个阵元适当地延迟发送的信号,以使得发射器信号同时到达目标并在目标处产生最高声强,也就是获取最强回波。在接收阶段,通过对接收到的回波应用适当的延迟,以实现线性叠加来自多个换能器阵元的回波,以实现最高灵敏度。

图10.用于在(a)发射相和(b)接收相中聚焦声束的换能器波束合成器
由于发射电路主要是数字型,因此发射延迟实现是通过现场可编程门阵列(FPGA)或数字信号处理器(DSP)等高速计数器完成的。由于接收信号的复杂性,接收波束合成器显然需要更多的算法优化得以实现。早期基于分立晶体管电子电路信号处理能力有限。因此,接收器波束合成波束合成器以基于电感电容组合的模拟延迟线来实现。在20世纪80年代,接收器波束合成器开始使用多通道模数转化芯片和数字波束合成技术。

图11.数字波束合成器图解
在目前的主流超声系统中,接收波束合成器一般都是数字型的。数字波束合成器通常在具有极高的计算能力的FPGA、DSP、PC或GPU(图形处理单元)中实现。如前所述,较大的换能器孔径可实现更佳的分辨率。因此,在高端超声系统中,256个换能器元件形成一个聚焦光束,以获得精细分辨率图像。因此高端波束合成器所需的计算能力相当复杂。
生物组织在形状、密度、声速等方面存在异质性。实时延迟计算和校准会基于所涉组织的声学特性和形状。由于波束合成器设计的重要性和复杂性,大多数超声波公司都有自己的IP。在不影响波束形成性能的情况下,简化波束形成器设计仍然是一个热门话题。相信正在研发新的波束合成器架构将广泛用于未来的超声系统。
数字信号处理
超声信号需要大量的信号处理,以便从原始超声数据中提取各成像模式所需的信息。主要处理模块包括B模式图像重建、基于快速傅里叶变换的多普勒频谱信息提取、基于自相关和互相关的彩色多普勒计算、超声图像扫描坐标转换(2D超声坐标到笛卡尔坐标)、图像增强等。目前,商用处理器,如现场可编程门阵列(FPGA),数字信号处理器(DSP),被广泛使用,。FPGA使系统设计人员能够对内部逻辑门进行硬连线,并优化其算法的效率。另一方面,DSP为系统设计人员提供预定义的标准计算模块,可实时更改和优化他们的算法。换言之,FPGA以硬件效率取胜,而DSP以软件灵活性得宠。新的信号处理器,如PC和GPU;它们的计算能力高于FPGA和DSP,而软件开发成本则大大低于FPGA和DSP然而,由于PC和GPU的高功耗,它们并不一定适合低功耗便携式系统。
6. 模拟前端芯片设计中的工艺选择
在任何AFE设计之前,半导体工艺选择始终是基于设计目标的首要关键考虑注意事项。CMOS和BiCMOS工艺是超声模拟前端设计中最常用的工艺。它们中的每一个都有其自身优点,且适用于相应的电路块。
BiCMOS(双极CMOS)工艺目前比纯双极工艺更受欢迎,因为它包含用于模拟设计的高性能双极晶体管和用于数字设计的CMOS元件。双极晶体管适用于低噪声放大器设计,具有超低1/f噪声、宽带宽和良好的功耗/噪声效率。双极性工艺还降低了电路电容,以获得良好的总谐波失真。因此,基于双极或BiCMOS工艺的放大器可在比基于CMOS工艺的放大器小得多的区域和更低的功耗下实现相同的性能。
德州仪器的0.35um BiCMOS工艺用于研究双极和CMOS器件之间放大器设计的性能影响。下图(a)表明,基于双极晶体管的放大器在相同的偏置电流下可实现更低的噪声;它还说明双极晶体管具有超低1/f噪声特性,这对于具有调制和解调电路的多普勒应用至关重要;(b)与类似的CMOS设计相比,双极设计显著减小了面积。当然,由于半导体工艺的特征尺寸减小,在0.35um BiCMOS工艺和<0.35um CMOS工艺之间的面积差异变小。然而,一般来讲,由于上述优点,0.35um BiCMOS工艺仍然极其适于放大器设计。

图12.基于CMOS与BiCMOS工艺设计的比较
当电路具有更多数字内容和开关元件(如中速ADC)时,CMOS工艺更适合。医学超声信号频率处在1~20MHz范围内,其ADC采样率通常低于100MSPS,目前大多数CMOS工艺都可轻松处理。采用0.18um~65nm CMOS工艺,ADC设计可实现更佳的集成和功耗降低。此外,与可比较的BiCMOS工艺相比,CMOS工艺通常成本更低,且实现更短的制造周期。所有这些都表明CMOS工艺适用于超声AFE中的ADC设计。
总之,当降低噪声/功耗是主要目标时,BiCMOS工艺适于超声AFE中的TGC放大器设计,即压控放大器(VCA)设计。另一方面,CMOS工艺是在ADC设计中实现低功耗和高集成度的良好选择。特别是在0.18um至65nm的节点,与0.35um BiCMOS工艺相比,具有完整低压数字库的CMOS工艺可以具有竞争力的成本获得更高的集成度。
很明显,BiCMOS VCA和CMOS ADC的组合可达到一个噪声<0.8nV/rtHz,功耗<150mW/CH的出色模拟前端解决方案。这种组合不仅需要专用半导体工艺,还需要先进的封装技术。下图所示为一个模拟前端解决方案,在同一封装中具有两个芯片。实际上,还可以集成两个以上的芯片和多个无源元件。此外,多芯片模块(MCM)可为系统设计提供更大的灵活性。例如,若有更新的ADC或VCA解决方案,它可取代旧的AFE解决方案中的一个解决方案,且仍然保持管脚到管脚的兼容性,以获得更佳性能。

图13.多芯片模块封装
在过去十年中,超声波AFE的工艺技术从0.5um移至90nm,从CMOS仅移至BiCMOS和CMOS,从单芯片移至封装中具有无源元件的多个芯片。如图所示所有这些技术大大降低了功耗,提升了性能并缩小了芯片尺寸

图14.AFE集成度的发展
7. 超声模拟电路的主要参数
超声信号有其自身的特点。正如我们在前面部分所讨论的那样,系统中经常会观察到超过100dB的动态范围。低频音频电路、高频数字电路、低噪声放大器、低噪声时钟电路存在于同一系统、同一电路板或甚至同一芯片上。AFE设计和系统设计必须解决这些挑战。
过载恢复
过载信号通常是指高压发射脉冲通过高压收发开关(T/R switch)的泄漏大信号或者是强回波信号。若AFE设计中未考虑过载恢复,它们会降低LNA、PGA、ADC和CW电路的瞬态响应性能。模拟设计人员面临着在有限功耗预算条件下,在大动态范围内实现瞬时恢复响应且响应性能一致的挑战。作为一种较为常见的设计方案,应首先在高压收发开关设计中应用足够的限流限压技术,这可消除对模拟前端的第一级即低噪声放大器的过载影响。在LNA设计中,钳位二极管通常可防止LNA进一步饱和。
分析两种常见的过载情况。第一种是由于高压收发开关导通,考虑到超声成像的死区时间通常在3到5us左右,因此超声模拟前端的过载恢复时间必须达到微秒量级,。目前由基MOSFET的高压收发开关处理,仅允许<< 1Vpp发射泄漏直通;而基于二极管桥构成的高压收发开关,其泄漏电压可达2Vpp。因此大多数AFE设计为可处理~2Vpp过载信号,以满足各种收发开关的性能。另一种过载情况是由于来自血管壁的大反射信号,超声模拟前端必须立即恢复,以检测血液中的小回波。第二种情况在多普勒应用中极其常见,其性能决定了血流检测灵敏度和准确度。下图所示为模拟血管壁强回波,然后是来自血液的小信号的反应。下述信号具有60dB的动态范围,即5周期250mVpp信号和5MHz时的5周期250uVpp信号;小信号配置为具有0°或180°相移。下图所示为超声模拟前端的响应以及0°和180°响应之间的差异,即类似于多普勒应用中的相位检测相似。小信号和相位差的提取保证了多普勒应用中的良好性能。

图15.过载恢复(a)输入信号;(b)输出信号
除快速过载响应和精确的相位检测之外,多次过载恢复响应的一致性对于频谱多普勒和彩色多普勒应用也是至关重要的。一致的过载恢复可减少系统中的频谱噪声或彩色噪声。大家可通过比较来自多个信号的过载响应差异来评估一致性。
此外,谐波成像是大多数系统中的标准配置。脉冲反转成像被广泛使用。因此系统AFE保证对正脉冲和负脉冲有对称的过载响应。最后,在超声系统中经常叠加多个不同类型的图像便于诊断,如双工模式、即B模式转换到多普勒模式,甚至三共模式。以。各个工作模式使用到不同的发射电压和占空比的发射波形。因此,AFE需要快速响应两个或多个图像线内的不同过载信号。当快速切换图像模式时,不同的过载信号不应影响AFE过载性能的一致性。
多普勒应用中的信号和噪声调制
超声系统是复杂的混合信号系统,具有各类数字和模拟电路。数字信号和时钟信号会干扰系统级或芯片级的模拟信号。另外诸如晶体管和二极管之类的非线性元件可调制噪声,也会干扰RF信号。
在超声多普勒应用中,系统中的调制效应会影响图像质量和灵敏度。多普勒信号频率范围从20Hz到>50Khz不等。同时,多个系统的时序信号也在此范围内,如帧时钟、成像线时钟等。这些噪声信号可通过接地、电源和控制管脚进入芯片。研究芯片级的调制效应,如:(PSMR)电源调制比就很重要。具有一定频率和幅度的噪声信号可施加在电源管脚上。若存在调制效应,则可找到边带信号。PSMR表示为载波和边带信号之间的幅度比,如下所示:

图16.PSMR(a)和IMD3(b)描述
除PSMR外,三阶交调干扰(IMD3)是衡量混合信号IC性能的关键参数。同时,在超声应用中,用于IMD3测量的输入信号具有不同的幅度,其分别代表来自静态组织大回波和来自流动血液的多普勒小信号,其幅度差可达20到30dB左右。系统设计人员可使用IMD3来估计由多普勒镜像频率信号所产生的伪像。多普勒频谱显示中常用40到50dB的动态范围。因此,优于50dBc的IMD3不应影响系统性能。
连续波(CW)多普勒参数
作为中高端系统的关键功能,连续波多普勒已开始成为便携式系统的标配。与TGC路径相比,连续波多普勒路径具有处理更大动态范围和更低相位噪声的优点。此外,由于具备这些特点,连续波多普勒波束合成通常在模拟域中实现。多种波束合成方法都在超声系统中应用,包括无源延迟线、有源混频器和无源混频器。在过去几年中,基于混频器的连续波多普勒结构凭借体积小、易于实现且支持多个CW频率的良好灵活性而逐渐占据主导地位。此外,连续波多普勒波束合成器已集成在与TGC路径相同的芯片上。此外无源混频器不仅降低了功耗和噪声,也满足了连续波多普勒的处理要求,如宽动态范围、低相位噪声、精确I/Q通道增益和相位匹配等。
简化的连续波多普勒路径框图如下所示。整个CW路径包括LNA、电压电流转换器、基于开关电路的无源混频器、带低通滤波器的加法器和时钟电路。大多数模块包括性能严格对称的同相和正交通道,以实现良好的镜像频率抑制和波束合成精度。

图17.CW的简化框图
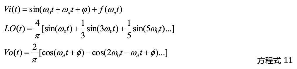
下述图解和方程式描述了混频器操作的原理。

图18.混频器操作的框图
方程式中,Vi(t)、Vo(t) 和LO(t)分别是混频器的输入、输出和本地振荡器信号。Vi(t)包括高次谐波;LO(t)代表方波,其包含奇数谐波分量,如下式所示:

根据方程式,来自LO(t) 的3阶和5阶谐波可与Vi(t)中这些频带中的3阶和5阶谐波或宽频噪声相调制。因此,混频器的噪声性能会降低。为了避免这种不良影响,在LNA输出或混频器时钟输入上都需要谐波抑制电路,以实现更佳的噪声系数。根据以上方程式,混频器的转换损耗约为20log2/π 也就是-4dB左右。
优于-46dBc镜像频率抑制是CW成像中的期望参数。CW I/Q通道匹配也可有助于镜像频率分量。文献表明,0.25°的I/Q相位误差可得到-53dBc抑制;且0.05dB的I/Q增益误差可得出-50dBc抑制。它们是CW路径的设计目标。因此,CW I/Q路径需要严格的增益和相位匹配。低容差电阻(0.1%)通常用于基于运算放大器的有源滤波器。
典型的CW多普勒移频处在100Hz到20KHz之间。由于混频特性,CW信号路径的相位噪声主导低血流速度。因此,大多数AFE以载波频偏为1KHz时的CW相位噪声作为主要性能指标。
最后,CW路径的动态范围基于输入参考噪声和最大输入信号:

为实现良好的CW性能,需要>160dBFS/Hz的发射器和接收器电路动态范围。
8. 总结
超声成像是一种安全的医学成像模式,具有很大潜力,。越来越多就地检查的床旁应用需要低功耗、低噪声和紧凑的系统。为了充分发挥超声信号的优点,必须选择合适的工艺以实现低功耗、低噪声和小尺寸的目的。BiCMOS工艺适用于低噪声放大器设计,具有超低1/f噪声、宽带宽和良好的功耗/噪声效率;而CMOS工艺在低功耗下实现了高数字密度。两者结合使用先进的封装技术,可提供最先进的模拟前端解决方案。为达到所需的超声波参数,如快速一致的过载恢复、低IMD3和PSMR、精确的I/Q匹配、连续波多普勒混频器中奇次谐波抑制等,需要考虑芯片中的各个参数已到达设计的综合优化。
审核编辑:郭婷