时间:2022-07-10 11:46
人气:
作者:admin
肝脏作为人体内重要的代谢器官,肝脏疾病的探索和临床研究一直是我国医疗卫生事业发展的重中之重。肝细胞性肝癌(HCC)是全球第六大最常见的恶性肿瘤,也是癌症相关死亡的第三大原因。
目前,手术切除是HCC的主要根治方式。然而,约60~70%的HCC患者术后5年内出现复发,长期预后仍较差,如何评估和预测HCC手术切除后的复发和预后成为研究热点。HCC又具有极高的肿瘤异质性,具体表现为同一分期、相同治疗的患者可以表现为迥异的生存情况,而不同分期、不同治疗的患者却可以表现为相似的生存情况,严重制约了患者的精准、规范治疗。
针对相关研究热点和课题,近日,浙江大学医学院附属邵逸夫医院放射科胡红杰教授团队联合温州医科大学附属第一医院杨运俊教授团队和商汤科技在 Journal of Hepatocellular Carcinoma(2021 IF:4.962)上在线发表了题为“CT-Based Radiomics for theRecurrence Prediction of Hepatocellular Carcinoma After Surgical Resection”的研究论文。
该论文探索了HCC复发预测的客观影像学标志物,通过挖掘放射影像学特征来预测HCC患者在手术切除后的无复发生存期(RFS),帮助临床进一步筛选可能从术后辅助经动脉化疗栓塞术(PA-TACE)获益的患者。
这一研究,结合了肿瘤本身局部特点和肝实质整体健康情况综合评估治疗方案,使得预后预测方式从宏观的肿瘤形态分级进入到通过人工智能细化肿瘤的微观生物学信息,有助于临床制定合理的精准治疗方案,降低HCC患者术后复发率,提高总体预后。
AI释放CT影像价值,复发情况有效预测
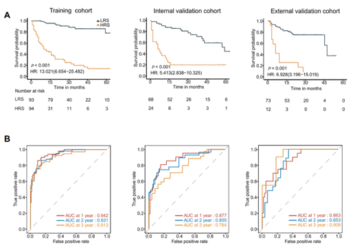
基于364例多中心数据,双方团队分别建立了基于CT的影像组学模型、基于临床因素的临床模型以及基于影像与临床因素的联合模型对RFS进行预测,采用一致性指数(C-index)对三个模型的性能进行评价。
此外,团队根据影像组学评分将所有患者分为高复发风险组和低复发风险组,以分析从PA-TACE的获益情况。
研究结果表明,影像组学模型显示了在训练集、内部验证集和外部测试集上对HCC术后复发有良好的预测能力,C-index分别为0.892、0.812、0.809。单因素和多因素COX分析显示,影像组学评分是一个独立的预后影响因素。在三个数据集中,高、低复发风险组之间的RFS预测均存在显著差异。
进一步分析显示,高复发风险组患者能显著从PA-TACE中获益,而对于低复发风险组的获益不大。

图1:基于影像组学评分的Kaplan-Meier生存分析(A)和时间依赖性ROC曲线(B)。

图2:用于预测RFS的列线图(A),以及校准曲线(B)和决策曲线(C)。

图3:用于评估PA-TACE获益的Kaplan-Meier分析曲线。(A)未做PA-TACE组;(B)PA-TACE组;(C)低复发风险组;(D)高复发风险组。
论文DOI:10.2147/JHC.S362772
深入前沿研究,赋能临床应用
HCC的治疗方案选择,如是否可外科切除,流域解剖学切除还是非解剖学切除等决策需要从肿瘤生物学行为、肝功能和病人实验室指标等多方面综合考虑,其中前两者的确认多依赖于有创病理学检查。
近年来临床上诸多研究者尝试使用放射影像学方法对肿瘤微观生物学行为和肝功能进行无创术前预测,而本论文基于人工智能方法建立预测预后模型能够兼顾精准度与实用性,且与现有的临床工作流程完全兼容,对指导临床决策具有重要意义。
事实上,围绕AI技术在肝脏诊疗临床领域的应用,商汤科技很早就开始与邵逸夫医院开展深入合作。双方团队基于多模态影像肝细胞癌β-catenin突变与预后预测的深度放射学研究,基于人工协同智能的LI-RADS精确诊断与疗效评估系统开发的研究,分别入选国自然面上项目和浙江省科技厅重点项目。
SenseCare肝脏系列产品落地邵逸夫医院放射科及肝胆外科
商汤科技的SenseCareLiver CT肝脏CT智能分析系统、SenseCareLiver MR肝脏MR智能分析系统及SenseCareLiver Surgical Planning肝脏智能手术规划系统等已经在放射科、肝胆外科等多个科室应用,无缝嵌入工作流程当中,帮助医生高效快速地完成腹部疾病的诊疗工作,服务于广大患者。
得益于长期的技术优势积累和临床实践经验,商汤全球独创的融合CT与MRI多模态、覆盖肝局灶病变检出、定性、定量、治疗推荐全临床流程的一体化腹部疾病解决方案,目前已在全国数十家医疗机构顺利落地应用,为影像科医生提供全方位的阅片辅助,助力肝胆外科医生提升进行个体化术前评估与规划的效率与精度。
而腹部产品只是商汤科技原创的SenseCare智慧诊疗平台搭载的临床应用之一,该平台集合领先的人工智能算法与丰富的三维后处理功能,旨在为不同科室提供便捷高效的智能辅助诊疗工具,已形成覆盖10余个人体部位和器官、拥有针对多病种智能分析能力,面向多科室的高性能辅助诊疗解决方案,为临床诊、疗、愈提供覆盖全流程的智能工具,普惠广大医生、患者。
原文标题:预测肝癌术后复发率 商汤与邵逸夫医院联合研究发布AI最新成果
文章出处:【微信公众号:商汤科技SenseTime】欢迎添加关注!文章转载请注明出处。
审核编辑:彭静