时间:2020-08-17 15:24
人气:
作者:admin
1研究背景
1.1电磁干扰的概念及其传播途径
一般认为,电子干扰(EMI)是指任何能够引起设备信号传输系统性能下降的电磁骚扰;而电磁骚扰是一种电磁现象,这种现象能够降低设备系统的性能,甚至能够危害人类的身体健康。例如,人类随身携带的手机就会时时刻刻的向外发射电磁场,也就是大家通常所说的电磁辐射,当他把手机带入医院,接近电子医疗设备时,就会降低该设备的性能和准确度。
电磁干扰形成实质损害必须具备三个要素:
(1)骚扰源,骚扰源即是产生骚扰的主体,包括电子元器件,设备和自然现象等;
(2)骚扰途径,也叫耦合通道,是骚扰源把骚扰能量传播到骚扰对象的途径,一般有直接耦合、感应耦合与辐射耦合三种;
(3)骚扰对象,也就是被骚扰源骚扰的敏感电子元器件或设备系统。

图1:电磁干扰三要素
从图1可以看出,要使设备达到电磁兼容性,必须从该三个方面入手,即:
(1)削弱骚扰源的电磁干扰强度;
(2)切断或破坏骚扰途径;
(3)提高骚扰对象的抗干扰能力。
1.2电磁干扰对电子医疗设备的危害
近年来,越来越多的医院进行现代化建设,引进了大批的先进的电子医疗设备,例如心电图、CT、电子心脏起搏器、电子胃镜、电子注射泵等等。但是各种电子设备也在各领域中广泛应用,例如,手机,iPad等等。这些人们随着携带的电子设备很可能对电子医疗设备造成干扰,影响检查或治疗结果,使电子医疗设备暴露在更复杂的电磁环境当中。
根据诸多医生的反馈及调查报告,作者发现电磁干扰对电子医疗设备的主要危害事件有:
(1)使心电图机或呼吸机显示错误的波形。
(2)电子监视器发生错误的报警信息。
(3)心肺复苏机突然停止工作等等。
2FDTD计算方法与电磁抗干扰设计
2.1FDTD在电磁兼容计算中的应用
数值法是电磁兼容的常用计算方法之一,数值法又包括有限元法(FEM),时域有限差分法(FDTD)和矩量法(MOM)等等,而时域有限差分法(FDTD)是最简单最直观最容易掌握的数值分析法。
FDTD的一般求解步骤如下:
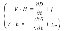
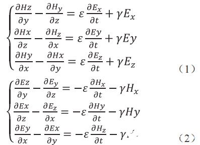
(1)列出时域麦克斯韦旋度方程,用中心差分法替代各场分量对时间、空间的微分,从而得到正交坐标系下的差分迭代式,如式
(1),(2)所示。
麦克斯韦旋度方程:

其中,D=εE,B=μH,J=γE,Jm=γmH得到6个标量方程:

(2)选择合适的网格尺寸,要求
λmin≥10∆,∆=min(∆x,∆y,z);
(3)选择合适的时间步长∆t;
(4)确定计算空间大小;
(5)设置边界条件;
(6)确定激励源;
(7)确定总时间步数。
通过上述步骤,可以运用时域有限差分法(FDTD)求出电场和磁场的量值。
2.2抗电磁干扰设计
2.2.1屏蔽技术
电磁屏蔽是抑制电磁干扰的最常用也是最重要的方法。它是利用屏蔽体对电磁骚扰能量隔离的特性,阻挡电磁骚扰能量传播的一种技术。电磁屏蔽效能是衡量电磁屏蔽效果的物理量,用SE表示,是指加屏蔽前后的场强之比。通常,其计算公式为:

其中,E表示加屏蔽前的电磁场强度,E0
表示加屏蔽后的电磁场强度。
2.2.2滤波技术
滤波技术是为了抑制电磁干扰的传导,它是对屏蔽能力的重要辅助,主要应用在以下领域:
(1)高频系统中,主要抑制非工作频段的干扰;
(2)信号线路中,主要是消除不相关的频谱分量;
(3)电源电路中,主要是消除控制或转换电路中发生的干扰。
3解决电子医疗设备电磁兼容问题的具体措施
3.1提高电子医疗设备的电磁兼容能力
(1)在进行电子电路设计的时候,做相应的电磁兼容性分析;采用屏蔽层屏蔽干扰,滤波器辅助屏蔽干扰的方法。
(2)在进行电源电路设计的时候,做相应的电磁兼容性分析;对医疗用电源增加过压、过流、过热保护电路,同时还要另外安装辅助电源。
(3)在进行显示电路设计的时候,做相应的电磁兼容性分析;优先采用LCD显示,而不是CRT显示器,从源头上杜绝电磁辐射。
(4)在进行机箱设计时,做相应的电磁兼容性分析。
3.2提高医疗单位对电子医疗设备的应用水平
医疗单位应该制定相对应的规章制度,保护电子医疗设备远离辐射源。例如,规定在特定区域内禁止使用手机等无限上网设备,禁止医护人员、患者携带无限设备靠近电子医疗设备,设置专门区域用来接打电话,在电子医疗设备上张贴告示,禁止无限上网设备靠近等等。
4结论
随着医院积极引进电子医疗设备,电磁干扰已经造成了多起医疗事故,电磁兼容问题研究已经是刻不容缓。利用FTDT时域分析方法可以简单直接的计算出电磁量,再运用抗电磁干扰技术,设计出电磁兼容性较佳的电子医疗设备。另外,医疗单位应该加强对电子医疗设备的管理,禁止一切干扰源靠近电子医疗设备。