时间:2018-09-02 09:17
人气:
作者:admin
监护仪是一种用以测量和监控病人生理参数、并可与已知设定值进行比较、如果出现超差可发出报警的装置或系统。便携式监护仪小型方便,结构简单,性能稳定,可以随身携带,可由电池供电,一般用于非监护室及外出抢救病人的监护。导联系统采用通用的三电极方式,右胸上电极及左腹下电极为心电采样电极,右腹下电极为右腿驱动电极。这种联接方式有效实用,有利于便携使用。便携式监护仪分析处理系统可以分为两大部分,一是携带在被检查者身上的袖珍监护仪,另一为由微机系统组成的心电图处理诊断系统。被检查者将某一时段的动态心电信号由监护仪记录下来,通过GPRS通信方式将数据传送到医院的心电图处理诊断系统中。
体表心电信号的频率主要集中在0. 05~ 100Hz,幅度为10μV~ 4mV (典型值为1mV ) ,是一种低频率的微弱双极性信号。它淹没在许多较强的干扰和噪声之中。这些干扰主要包括肌电信号、呼吸波信号等体内干扰信号和以50Hz工频干扰、电极与皮肤界面之间的噪声为主的体外电磁场干扰信号的影响。因此,要对心电信号进行精确测量,必须设计出性能优良的放大器。放大器的核心和关键是前置级的设计。整个前置级电路是由前置放大电路和滤波电路构成,其结构见如图1.

便携机前置放大电路是对心功能进行自动检测的关键部件,要求该系统能在强的噪声背景下,通过体表传感器不失真地将心电信号检测出来,放大至合适的幅度,送入A/ D变成数字信号,供计算机分析处理。
根据心电信号的特点以及通过电极提取的方式,前置级应满足下述要求:
(1)高输入阻抗。通过电极提取的心电信号是不稳定的高内阻源的微弱信号,为了减小信号源内阻的影响,必须提高放大器的输入阻抗;
(2)高共模抑制比CM RR.人体所携带的工频干扰以及所测量的参数以外的生理作用的干扰,一般为共模干扰。前置级采用CM RR高的差动放大形式,能减小共模干扰向差模干扰的转化;
(3)低噪声、低漂移;
(4)高安全性,以确保人体的绝对安全。
1. 1差动放大电路
对于心电信号而言,采集的信号属于差模信号,因此采用三运放差动放大电路作为第一级放大电路,它具有输入阻抗高(一般达109 欧以上) ,低偏置电流,高共模抑制比,单端输出的特点。它在基本运算放大器的基础上每个输入端各连接一个同相放大器。所以差动放大电路的第一级是两个同相放大器( U 1A和U 1B) ,第二级是一个差分放大器( U 1D)。总的电压增益A u等于两级增益之积。由于第一级采用同相输入,有较高的输入电阻,电路的平衡对称结构对由共模抑制比、失调及温度等产生的输出误差电压具有抵抗作用。第二级差放电路将双端输入变单端输出。把两级电路级联后,他们相互取长补短,使组合后的这个电路具有输入阻抗高、电压增益调节方便、共模抑制比和漂移相互抵消等一系列优点。运放U 1C是一个积分电路,它的作用是和U 1D共同构成一个负反馈电路,来消除基线变化对输出信号的影响,稳定输出电压。由于采用串联反馈形式,使放大电路有较高的输入阻抗,减小失真的产生。
计算放大器的增益如下:R5= R7= R‘, R4= R8= R’‘
因此,差动放大电路的总增益为:

1.2单极性调整电路
心电信号是一种低频率的双极性信号。对于由电池供电的便携机来说,结构简单,降低功耗是它的重要特性。为此,我们设计了一个直流分压电路,把心电信号抬升为正电平范围内的单极性的信号。为了使运算放大器工作在线性放大区内,我们把该直流电压设定为VCC(3.3V)的一半。
1.3放大级电路
由于Ui2的信号是由直流信号和微弱的心电信号构成的。第二级放大电路的作用是放大心电信号,而使直流信号保持比较稳定的状态。为此,调整VR2的位置,使Uc的电压与Ui2的直流分量相等,则Ui2的直流分量不会被U2D放大。

Uo2= U-=Ui2放大级电路的增益为:
由此可得到前置放大电路总的增益接近为600,可以使毫伏级的心电信号放大到伏级,并处于0V到2. 5V之间。
对心电监护仪器来说,评价其整体性能的好坏的首要标准是心电信号在不失真的前提下具有较高的抗干扰能力,而且安全可靠。为避免干扰所造成的影响,最有效的措施是消除干扰源。但在实际应用中,不可能完全将干扰源排除,所以要在硬件电路上采取措施来提高系统的抗干扰性。通常采用的措施可分为两类:一类是消除干扰进入系统的通道;另一类是削弱系统对干扰信号的灵敏度。
2. 1提高前置放大器的输入阻抗和共模抑制比
人体置身于充满电磁场的空间,恰如一个天线接收器,人体上感应有各种频率的电压,对心电仪器的输入端大多以共模电压形式存在,其中最强的是由动力线通过分布电容耦合到人体的50Hz交流电压。对共模信号的抑制包括提高前置放大电路的共模抑制比( CM RR)和提高电路、导联和电极电气特性的对称性,以提高输入阻抗这两个方面。
通过采用高精密度、高共模抑制比的集成运放器件来搭建三运放的差动放大电路,可以提高共模抑制比。值得注意的是放大器的实际共模抑制能力受到放大器前边电极系统的影响。通过两个电极提取生物电位时,两个等效源阻抗一般不相等,其数值大小与人体汗腺分泌情况、皮肤清洁程度有关。各个电极处的皮肤接触电极是不平衡的,而且因人而异。这种不平衡造成的危害是共模干扰向差模干扰的转化,从而造成共模干扰的输出。对于已经发生的这种转化,放大器本身的共模抑制能力再高也将无济于事。但是,提高放大器输入阻抗,则会减小这一转化。
2. 2设计硬件滤波器消除高频干扰
由于心电信号属于低频信号,而高频干扰相对心电信号比较高,所以低频的截止频率可以在一个比较宽的范围内选取,一般的心电图机或监护仪选取低通的截止频率为90 ~ 120Hz.考虑到便携机结构简单的特点,低通滤波器的设计采用了一阶滤波电路。以后介绍的软件滤波也将配合用来消除高频干扰。
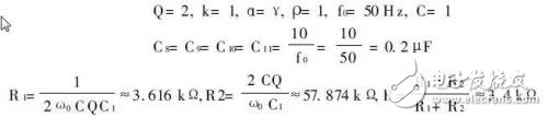
2. 3设计硬件滤波器消除工频干扰
工频干扰属于共模信号,对心电信号的干扰特别强。因此,必须从模拟、数字两方面加以抑制。工频干扰的消除在模拟电路中可用二阶压控电压源带阻滤波器来实现。参数选取如下:

