时间:2014-02-18 17:50
人气:
作者:admin
对可穿戴型助力机器人控制策略进行分析。 根据研究目的及人体结构和功能的特殊性和复杂性,通过将人体下肢作适当简化及必要的假设,提出基于骨-肌肉功能模型的下肢助力机器人控制方法,该方法通过对骨-肌肉模型中的弹性系数和阻尼系数的调节能为人体下肢运动提供助力支持。 同时,通过人-机间交互力信息实现人体下肢的运动预判。
利用机器增强人类肌肉的力量和感知能力,同时保留人的灵活性和直接操作的感觉是机器人研究领域之一。 人体的所有运动都与力及其控制有关,助力系统利用特定装置给人提供一定的力补偿,降低人自身能量的消耗,或是对那些有异样运动行为的人提供治疗或矫形。
根据助力对象的不同,可穿戴型助力机器人可分为两类:1)直接式:直接给使用者提供动力,如下肢助力、背部助力及上肢助力等,这种情况下,助力装置的运动需超前于人体相应的运动。 2)间接式:分担使用者的劳动负荷,诸如背负的重物、搬运的货物等,从而达到减轻使用者劳动强度的目的,这种模式需要机器与使用者同步运动。
由于助力装置基本是刚性体,整体柔顺性差,这样人与装置运动时会造成不协调与不自然,这便涉及到关节自由度的确定及其驱动问题。 在运动辨识上,国外多数采用肌电信息作为人体运动信息的检测方法,这就要求搞清人体各肌肉块的功能,选择最能反应人体运动状况的肌肉块,但很多动作通常是靠肌肉群来完成,一块肌肉的收紧与松弛并不能完成全部动作,这给电极的安放及信号的提取带来很大的困难,肌电信号是人体的生理反映,它会受到人自身状况及环境因素的影响,如汗液的分泌、衣服厚薄、松紧等。 通过对国内外可穿戴型助力机器人的研究现状进行分析,结合多维力传感器方面的研究成果,提出基于人-机交互力信息的运动信息获取方法及肌肉功能模型的控制方法。
1 人体运动的描述和人体简化模型

人是人-机-环境系统中的主导因素。 在人体运动位置检测中,高速摄影机实地拍摄是最常用的方法。 由于这种方法是非接触式的记录,因此不影响人的实际运动,最能真实反映人的实际运动情况。 对于该文的研究来说,上述检测系统显得过于庞大,且受到空间的约束,显然不适用。 因此,采用一种即实用又简捷的运动信息检测系统是该文研究中必要环节。从研究方法来说,对对象进行研究离不开对对象进行合理的抽象,当分析各种动作时,姿势分析特别是人体各部分之间的相对位置分析是关键,将特定时刻各个关节点的位置连接起来,就能形成棍状链式结构,将人体下肢简化为一个多杆多关节棍状链式结构,也就是一个具有有限运动自由度的系统,如图 1 所示,以此结构作为计算模型对人体各部的运动和整体运动进行运动学及动力学分析。 表 1 为各关节活动度信息。

2 运动分析
髋关节及膝关节的协调屈伸运动是实现人行走功能的前提,助力机器人的助力腿可以看作为一个串联机构。 它是由一系列连杆通过转动关节串联而成的。 通过自主轨迹规划,助力机构可以完成类似双足机器人的动作,如行走、跨越障碍等动作。表 2 为各杆 D-H 参数和关节变量。

由表 2 中的参数,可求出末端的位姿矩阵:
(1)
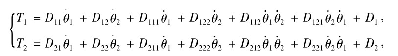
当步行助力机器人提供 100%助力时,这意味着助力机器人系统完全成为一个搭载器,对于下肢助力机器人来说,人的下肢就是其负载,人体下肢各段分散于装置各段连杆之上,这点与普通操作臂型机器人不同(负载主要集中在末端)。 图 2 为人体下肢与机器人混合图,图 3 为机器人的机械结构效果图。由图 2 中参数,利用二阶拉格朗日方法得髋关节和膝关节处力矩 T1和 T2的动力学方程式:
(2)
其中: D 系数是与质量、速度、加速度等有关的函数。


上一篇:可穿戴式生命体征监护设备的研制