时间:2010-11-01 10:44
人气:
作者:admin
人体的神经信号直接表征着人体自我的意思,研究神经信号为了解、识别人体提供了一条途径。多年来。目前,研究内容主要包括神经电极和神经信号调理电路两部分。神经电极可以将神经电信号从人体中提取出来,而神经信号调理电路则对神经信号进行去噪、放大、识别等处理。
神经信号和人体的其它生物信号有相同的一些特点,也有其独具的一些特征。根据神经生物学的研究,神经信号一种形似脉冲的电信号,频率一般为1kHz左右,高的可达10kHz。例如一束控制肌肉的运动神经,当有冲动电位信号到来时,肌肉纤维便发生收缩反应,收缩的力度根据神经冲动频率的不同而有强弱的区别。因此,只要将脉冲电位进行识别,处理成数字控制信号,即可进行假肢控制等一类具体的应用。
当然,神经信号的检测也有其困难的一面。人体的神经信号是属于强噪声干扰下的低频微弱信号,由于其非常微弱,只有微伏级,同时干扰又异常强大,因此有效信号往往会被淹没。干扰信号一般包括高频的电磁干扰、50Hz工频干扰和极化电压等。工频干扰主要以共模信号的形式存在,通常幅值可达几伏至几十伏。而极化电压是由于测量的电极和生物组织之间构成了化学半电池而产生的直流电压,一般为几十毫伏,最大可达300mV。另外,由于生物体的复杂性和特殊性,其等效的信号源输出阻抗一般很大,可有几十千欧,这也是必需要考虑的。根据上文对神经信号特点的描述,设计了一款针对性强、性能优越、稳定可靠的神经信号调理电路。
1 电路系统结构及原理
根据神经信号的特性以及通用电极的特性,调理电路必须具有一些必备的性能。首先,电路必须具有很高的共模抑制比,比抑制工频干扰以及其它测量参数外的生理作用干扰。如果电路的共模抑制比是120dB,则输入信号中共模信号的影响将减弱100万倍,1V的共模信号等效力1μV的差模信号。同时电路的输入阻抗也是一个很重要的参数。高输入阻抗可以有效地减小信号源高内阻的影响。上文中提到生物体的等效信号源的输出阻抗一般可有几十千欧,这就要求设计的电路的输入阻抗大于百兆欧。另外,由于各个电极接触的人体组织不同,因而表现出不稳定的高内阻源性质,这会引起电极输入阻抗的不平衡,使共模干扰向差模干扰转化。提高放大器的输入阻抗有利于减小这一转化的影响。同时,相对于幅值为微伏的神经信号而言,调理电路的低噪声、低漂移等指标也是极为重要的。本文提出的神经信号调理电路的结构如图1所示。电路系统共分为三部分:前置输入放大电路、中间级信号处理电路和后续信号识别传输电路。

2 电路设计
早期的生物信号电路多采用分立元件设计,随着微电子技术的不断发展,出现了许多高性能的集成化仪器放大器,由于这类器件性能优异,避免了安装调试等工作,在生物医学仪器设计中受到了普遍的欢迎。本文的设计中充分应用了这类器件。
2.1 前置输入放大电路
前置级主要考虑噪声、输入阻抗和共模抑制比三项的影响。这里设计的电路由三部分组成:输入缓冲、高频滤波和仪用放大器。电路结构图如图2所示。

输入缓冲器由于采用了直接的电压负反馈设计,理论上输入阻抗为无穷大,有效地将人体与电路系统隔离,去除了信号源内阻高且不稳定的影响。
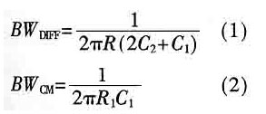
由R1a、R1b、C1b、C2组成的低通滤波器网络可有效地去除高频电磁噪声的影响。电路的差模信号截止频率BWDDFF和共模信号截至频率BWCM如式(1)、(2)所示,其中,R1a、R1b、C1a、C1b必须精确相等,C2>10C1。一般来讲,仪用放大器对于高于20kHz的信号已经没有了共模抑制能力,该网络的使用可以使仪用放大器更有效地工作。

仪用放大器因为其经典的三运放结构而具有较高的输入阻抗和共模抑制比,并且只需外接一个电阻即可设定增益,在生物信号处理领域被广泛地应用。这里选用的AD公司的AD8221是最新的一款型号,比通用的AD620在各方面的性能都要高一个数量级。另外由于极化电压的存在,为了避免电路的饱和,前置放大电路的增益必须在数十倍之内,不能过大。
2.2 中间级处理电路
中间级处理电路分为带通选频网络、二级放大电路、50Hz陷波器和增益调节电路等。
带通选频网络由RC无源网络组成,简单可靠,通带的最大范围设定为0.05Hz~10kHz。根据个体的差异,网络可由数字控制电路进行不同频带的组合来选择,以符合最佳的信号状态。
二级放大电路在结构上和增益调节电路类似,都是由运放接成电压负反馈的形式。前者进行信号的放大,而后者控制整体电路的增益,最大可达120dB。其结构示意图如图3所示。这里,运算放大器选用OP27,而且运用电压串联负反馈结构。其优点是结构简单,具有如下不可替代的优越的性能:(1)输入等效阻抗大,Ri=(1+AF)rid,输出等效阻抗小,Ro=ro/(1+AF),其中,rid为运放的输入阻抗,ro为输出阻抗。不仅完成了信号的放大作用,而且还起到了缓冲器的作用,有效地隔离了前后级的模块,不用额外增加阻抗变换器和匹配模块;(2)电容C的使用使整个模块具有了低通的功能,不仅可以去除信号中的高频干扰,还由于其超前补偿作用,对有效信号中的高频部分进行了相位补偿。通过合理的设计,电路频率段的相位将变化平缓。上位提及的神经信号是一种类脉冲形状的信号,信号形状不发生明显的畸变,在对其进行时域处理时有着积极的意义。
50Hz工频陷波器采用典型的有源双T陷波网络的方案,取Q=2.5,可有效去除信号中的工频干扰。其结构示意图如图4所示。

2.3 信号识别及光电耦合电路
神经信号是一种类脉冲的模拟电信号,将此信号传输到后续的数字电路前,需先将其规整成标准的方波信号。这由信号识别电路来完成,该电路由一个滞回比较器构成。为了保证安全以及防止模拟和数字电路之间的干扰,光电隔离电路也是一个必不可少的模块。信号识别及光电耦合电路如图5所示。

滞回比较电路是一种由运放构成信号正反馈的结构,抗干扰能力强,阀值可由UR根据实际情况调整,电路的阀值由式(3)、(4)给出。另外,由于信号的有效频率可达10kHz,所以光电耦合器的速度是一项重要的指标,这里选用6N137光电耦合器。

3 结果及讨论
电路调试完成后,利用函数发生器产生标准的信号,对电路进行一系列的性能测试。由上文讨论可知,神经信号是一种类脉冲的微弱模拟电信号,故电路的放大性能和相移特性是测试的着重点。图6中(a)、(b)分别为信号放大性能和相位偏移测试的结果。函数发生器产生500mV/1kHz的正弦标准信号,经过两次40dB衰减得到50μV/1kHz的测试输入信号,以此来测试放大性能。由图可知,电路将信号有效地放大了100dB。相位偏移测试由函数发生器产生的1kHz方波模拟神经信号进行。如果系统对信号各频段的相移显著不同,则非常容易引起信号形态的畸变,如要对信号进行时域处理,这是非常不利的。从结果可得,除了信号中的高频分量不属于有效的频率段而被滤除外,信号整体的相移平稳,保持了原有的形态,经过识别规整后可在时域中完整重视。

由以上的讨论可知,文中提出的电路有效地解决了神经信号调理的问题,电路系统地解决了神经信号调理的问题,电路系统实用可靠。目前已经完成了可提取神经信号的植入式电极的研究,利用文中的电路,将继续开展临床实验等研究工作。
上一篇:医学机器人进入临床医学应用