时间:2011-08-09 18:59
人气:
作者:admin
引 言
研究表明不同频率和强度超声波对机体的作用是不同的,其次,温度对于经皮给药也有一定的影响,如一定的温度可以提高渗透率,但太高的温度会引起皮肤的烫伤,因为超声也有热效应;因此,如何把各个因素综合考虑以达到既保证较高的渗透率又避免对人体产生灼伤及生理机能的损伤是研究的难点之一。
单片机作为智能控制芯片,在电子信息、自动控制的各个领域发挥着极其重要的作用。医疗仪器的设计和研制也越来越多应用单片机技术,使其朝着智能化,小型化方向发展。综合考虑各种因素,在此介绍了一种采用高性能单片机C8051F340作为核心控制芯片的输频率、强度等可调,可控恒温的低频超声波促透皮系统。
1 硬件设计
该系统包括:温度测控模块、功率超声发生器、恒温控制模块、过流保护模块、显示模块和掉电存储模块。总体结构如图1所示。

系统各部分的工作是由高性能单片机C8051F340来进行控制协调的。它是整个系统的核心。C8051F340单片机是集成在一块芯片上的混合系统级单片机。具有与8051指令集完全兼容的CIP-51内核,采用了流水线指令结构,其运行速度最高可达48 MIPS,与标准的8051相比,在相同时钟下单周期指令运行速度为原来的12倍。并且,它在一个芯片内集成了构成一个单片机数据采集或控制系统所需要的功能部件;模拟多路选择器、可编程增益放大器、ADC、电压比较器、电压基准、温度传感器、SMBus/I2C、UART、SPI、USB可编程计数器/定时器阵列(PCA)、定时器、I/O端口、内部振荡器、看门狗定时器及电源监视器等几乎所有模拟和数字外设及其他功能部件。通过对C8051F340的编程,可以实现多种功能。
该系统利用键盘输入电路获得操作人员对各部分工作条件的要求,根据这些要求对加热丝以及超声发射进行设置,同时在每次测控过程中将各部分的温度值送LCD进行显示,并进行越限判断,在温度越限时启动报警电路发出报警。对温度的控制采用调功方式控制电炉丝加热使得实验过程中保持温度恒定,包括温度的读取、温度值的处理及输出信号驱动负载。
1.1 温度测控模块
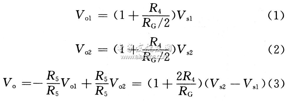
该系统温度传感器采用PT100铂电阻温度传感器,它具有线性度好,测量范围宽,灵敏度高,无需参考点等优点。利用铂电阻的温度电阻特性,将温度信号直接转化为电信号。然后经过前置放大后送入到单片机内12位开关电容逐次逼近型A/D转化器,完成模/数转换。在电子测量系统中,需要检测大量的电量或非电量信息,而且检测的电信号又非常的微弱,极易受到干扰。因此,对前置级获取信号的放大,提出如下要求:高输入阻抗、高共模抑制比、低漂移、低噪声、低输出电阻等参数要求。基于以上原则前置放大器选用美国BURR-BROWN公司生产的低电压通用型双通道仪表放大器INA2128,它除了满足以上要求外,并可用一个外部电阻方便地从1~100 000设定增益,使得INA2128能够广泛应用于信号采集放大。医用仪器及多通道系统等很多领域,可以在低至的+2.25 V电源电压下工作,并且静态工作电流很少。它与Pt100构成的温度检测和前置放大如图2所示。

INA2128内部是由过压保护电路和三运放组成的性能优越的测量放大器;A1和A2组成双端输入/双端输出的差动放大器,由于信号从两个同相端输入,使输入阻抗高大10 MΩ以上。第二级又采用差动输入,在运放参数和R5严格对称时,电路具有很高的共模抑制能力和低温漂。

上式表明:该电路可以通过调节RG进行增益的控制。