阅读全文2023-05-15
阅读全文2023-05-12
阅读全文2023-05-10
阅读全文2023-05-08
阅读全文2023-05-08
阅读全文2023-05-08
阅读全文2023-05-05
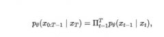
基于Diffusion Probabilistic Model的医学图像分割
阅读全文2023-05-04