全球最实用的IT互联网信息网站!

AI人工智能P2P分享&下载搜索网页发布信息网站地图

当前位置:诺佳网 > 电子/半导体 > 制造与封装 >

工业与民用电力装置的接地设计规范

时间:2008-09-04 14:08

人气:

作者:admin

标签: 接地规范  电气装置 

导读:工业与民用电力装置的接地设计规范-第一章 总则...

第一章  总则

第1.0.1条        电力装置接地设计必须认真执行国家的技术经济政策,并应做到:保障人身与设备安全、供电可靠、技术先进和经济合理。

第1.0.2条        电力装置接地设计应根据工程特点、规模、发展规划和地质特点,合理地确定设计方案。

第1.0.3条        电力装置接地设计应节约有色金属,节约用铜。

第1.0.4条        本规范适用于工业、交通、电力、邮电、财贸、文教等各行业交流、直流电力设备接地设计。

第1.0.5条        电力装置接地设计尚应符合现行的有关国家标准和规范的规定。

第二章一般规定

第2.0.1条        为保证人身和设备的安全,电力装置宜接地或接零。交流电力设备应充分利用自然接地体接地,但应校验自然接地体的热稳定。能对地构成电流闭合回路的直流电力回路中,不得利用自然接地体作为电流回路的零线、接地线、接地体。直流电力回路专用的中性线、接地体以及接地线不得与自然接地体有金属连接;如无绝缘隔离装置,相互间的距离不应小于1米。三线制直流回路的中性线,宜直接接地。

第2.0.2条        变电所内,不同用途和不同电压的电气设备,除另有规定者外,应使用一个总的接地体,接地电阻应符合其中最小值的要求。注:本规范中接地电阻系指工频接地电阻。

第2.0.3条        如因条件限制,按本规范的要求接地有困难时,允许设置操作和维护电力设备用的绝缘台。绝缘台的周围,应尽量使操作人员不致偶然触及外物。

第2.0.4条        中性点直接接地的电力网,应装设能迅速自动切除接地短路故障的保护装置。中性点非直接接地的电力网,应装设能迅速反应接地故障的信号装置,必要时,也可装设延时自动切除故障的装置。

第2.0.5条        低压电力网的中性点可直接接地或不接地。当安全条件要求较高,且装有能迅速而可靠地自动切除接地故障的装置时,电力网宜采用中性点不接地的方式。

第2.0.6条        在中性点直接接地的低压电力网中,电力设备的外壳宜采用低压接零保护,即接零。如用电设备较少、分散,采用接零保护确有困难,且土壤电阻率较低,可采用低压接地保护。但如用电设备漏电,设备外壳和与其有电气连接的金属部分可能带电,应采取装设自动切除接地故障的继电保护装置、使用绝缘垫、安装围栏或均压等安全措施。由同一台发电机、同一台变压器或同一段母线供电的低压线路,不宜采用接零、接地两种保护方式。在低压电力网中,当全部采用接零保护确有困难时,可同时采用两种保护方式,但不接零的电力设备或线段,应装设能自动切除接地故障的继电保护装置。城防、人防等潮湿或条件特别恶劣场所的供电电力设备的外壳应采用接零保护。

第2.0.7条        在中性点非直接接地的低压电力网中,应防止变压器高、低压绕组间绝缘击穿引起的危险。变压器低压侧的中性线或一个相线上必须装设击穿保险器,低压架空电力线路的终端及其分支线的终端,还应在每个相线上装设击穿保险器。在安全电压网络中,宜将安全电压供电网络的中性线或一个相线接地,防止高电压窜入引起危险;如接地确有困难,也可与该变压器一次侧的零线连接。

第2.0.8条        确定变电所接地装置的型式和布置时,应尽可能降低接触电势和跨步电势。小接地短路电流系统发生单相接地时,一般不迅速切除故障,此时变电所及电力设备接地装置的接触电势和跨步电势,应符合下列公式的要求:
    Ej=50+0.05ρb  (2.0.8-1)、Ek=50+0.2ρb  (2.0.8-2)
式中Ej——接触电势(伏);Ek——跨步电势(伏);ρb——地表面的土壤电阻率(欧·米)。
在条件特别恶劣的场所,例如矿山、井下和水田中,接触电势和跨步电势允许值宜适当降低。

第2.0.9条        设计接地装置时,应考虑土壤干燥或冻结等季节变化的影响。接地电阻在四季中均应符合本规范的要求,但防雷装置的接地电阻,可只考虑在雷季中土壤干燥状态的影响。

第三章  保护接地的范围

第3.0.1条        电力装置的下列金属部分,除另有规定者外,应接地或接零:
  一、电机、变压器、电器、携带式及移动式用电器具等的底座和外壳;
  二、电力设备传动装置;
  三、互感器的二次绕组;
  四、配电屏与控制屏的框架;
  五、房内外配电装置的金属架构和钢筋混凝土架构以及靠近带电部分的金属围栏和门;
  六、交、直流电力电缆接线盒、终端盒的外壳和电缆的外皮,穿线的钢管等;
  七、装有避雷线的电力线路杆塔;
  八、在非沥青地面的居民区,无避雷线小接地短路电流架空电力线路的金属杆塔和钢筋混凝土杆塔;
  九、安装在配电线路杆塔上的开关设备、电容器等电力设备;
  十、控制电缆的外皮。

第3.0.2条        电力装置的下列金属部分,除另有规定者外,可不接地或接零:
  一、在木质、沥青等不良导电地面的干燥房间内,交流额定电压380伏及以下、直流额定电压440伏及以下的电力设备外壳,但当维护人员可能同时触及电力设备外壳和接地物件时除外;
  二、在干燥场所,交流额定电压127伏及以下,直流额定电压110伏及以下的电力设备外壳;
  三、安装在配电屏、控制屏和配电装置上的电气测量仪表、继电器和其他低压电器等的外壳,以及当发生绝缘损坏时,在支持物上不会引起危险电压的绝缘子金属底座等;
  四、安装在已接地的金属架构上的设备,如套管等(应保证电气接触良好);
  五、额定电压220伏及以下的蓄电池室内的支架;
  六、与已接地的机床机座之间有可靠电气接触的电动机和电器的外壳。

第四章  接地电阻

第一节  高压电力设备

第4.1.1条        中性点非直接接地的电力设备其接地装置的接地电阻,应符合下列公式的要求:
  一、高压与低压电力设备共用的接地装置
       (4.1.1-1)
      式中 R——考虑到季节变化的最大接地电阻(欧);
           I——计算用的接地故障电流(安)。
      当并列运行的变压器等电力设备总容量不超过100千伏安时,接地电阻不宜超过10欧。
  二、仅用于高压电力设备的接地装置
       (4.1.1-2)
      接地电阻不宜超过10欧。

第4.1.2条        在中性点经消弧线圈接地的电力网中,接地装置的接地电阻按公式(4.1.1-1)、(4.1.1-2)计算时,接地故障电流应按下列规定取值:
  一、对装有消弧线圈的变电所或电力设备的接地装置,计算电流等于接在同一接地装置中同一电力网各消弧线圈额定电流总和的1.25倍。
  二、对不装消弧线圈的变电所或电力设备的接地装置,计算电流等于电力网中断开最大一台消弧线圈时的最大可能残余电流值,但不得小于30安。

第4.1.3条        确定接地故障电流时,应考虑电力系统5~10年发展规划以及本工程的规划。

第4.1.4条        在小接地短路电流系统中,为保证迅速切除接地故障,应根据变电所接地装置的接地电阻验算继电保护装置的两相异点接地短路动作电流,或熔断器熔体的熔断电流。接地短路电流不应小于继电保护装置换算到一次侧的动作电流的1.5倍,或熔断器熔体额定电流的4倍。当不能符合要求时,可降低接地电阻或采取其他措施。

第二节  低压电力设备

第4.2.1条        低压电力设备接地装置的接地电阻,不宜超过4欧。使用同一接地装置的并列运行的发电机、变压器等电力设备,当其总容量不超过100千伏安时,接地电阻不宜大于10欧。

第4.2.2条        中性点直接接地的低压电力网中,采用接零保护时,零线宜在电源处接地,但移动式电源设备除外。架空线路的干线和分支线的终端以及沿线每1公里处,零线应重复接地。电缆和架空线在引入车间或大型建筑物处,零线应重复接地(但距接地点不超过50米者除外),若屋内配电屏、控制屏有接地装置时,也可将零线直接连到接地装置上。
    低压线路零线每一重复接地装置的接地电阻不应大于10欧。在电力设备接地装置的接地电阻允许达到10欧的电力网中,每一重复接地装置的接地电阻不应超过30欧,但重复接地不应少于三处。零线的重复接地,应充分利用自然接地体。

第4.2.3条        直流电力网中零线重复接地应采用人工接地体,并不得与地下金属管道等有金属连接,如无绝缘隔离装置,相互间的距离不宜小于1米

第4.2.4条        为防止触电危险,在低压电力网中,严禁利用大地作相线或零线。

第三节  高土壤电阻率地区的电力设备

第4.3.1条        在高土壤电阻率地区,当要求接地装置达到规定的接地电阻值在技术经济上极不合理时,小接地短路电流系统中的电力设备和低压电力设备,接地电阻可达到30欧,变电所可达到15欧,但应符合本规范第2.0.3条的规定。

第4.3.2条        高土壤电阻率地区的独立避雷针,当要求达到规定的10欧确有困难时,可采用较高的接地电阻值,并可与主接地网连接,但应符合《工业与民用电力装置过电压保护设计规范》第5.1.1条和第5.1.3条的规定。

第四节  架空线路和电缆线路

第4.4.1条        小接地短路电流系统中,无避雷线的高压电力线路在居民区的钢筋混凝土杆宜接地,金属杆塔应接地,其接地电阻不宜超过30欧。
    中性点直接接地的低压电力网和高低压线路共杆的电力网,其钢筋混凝土杆的铁横担和金属杆应与零线连接,钢筋混凝土杆的钢筋宜与零线连接。与零线连接的电杆可不另作接地。
    中性点非直接接地的低压电力网,其钢筋混凝土杆宜接地,金属杆应接地,接地电阻不宜大于50欧。
    沥青路面上的高、低压线路的钢筋混凝土杆和金属杆塔以及已有运行经验的地区,可不另设人工接地装置,钢筋混凝土杆的钢筋、铁横担和金属杆塔,也可不与零线连接。

第4.4.2条        三相三芯电力电缆的两端金属外皮均应接地。变电所内电力电缆金属外皮可利用主接地网接地。与架空线路连接的单芯电力电缆进线段,首端金属外皮应接地;如果在负荷电流下,末端金属外皮上的感应电压超过60伏,末端宜经接地器或间隙接地。

第五节  其他电气设备

第4.5.1条        由中性点不接地系统供电的电弧炉设备,其外壳应接地,接地电阻不应大于4欧;在高土壤电阻率地区,不应超过10欧。

第4.5.2条        X光设备应接地,接地电阻不应大于10欧,可与车间接地干线相连接。如高电压发生器在X光设备内,则仅将X光设备的外壳接地。如高电压发生器与X光设备分开设置,则高电压发生器的接地端子应首先与X光设备的外壳相连接,然后再接到接地干线或接地体上。X光管的外包金属体和金属支架均应接地。

第五章  接地装置

第一节  自然接地体和人工接地体

第5.1.1条        交流电力设备的接地装置,应充分利用直接埋入地中或水中的自然接地体。
    当自然接地体的接地电阻符合要求时,一般不敷设人工接地体,但变电所除外。
    利用自然接地体和外引式接地装置时,应用不少于两根导体在不同地点与接地网相连接,但电力线路除外。

第5.1.2条        人工接地体的材料可采用水平敷设的圆钢、扁钢、垂直敷设的角钢、圆钢等。接地装置的导体截面,应符合热稳定与均压的要求,且不应小于表5.1.2所列规格

5.1.2  钢接地体和接地线的最小规格

类    别

地    上

地  下

屋内

屋外

圆钢直径(毫米)

扁钢截面(cm2

厚    度(毫米)

角钢厚度(毫米)

5

24

3

2

6

48

4

2.5

8

48

4

4

钢管管壁厚度(毫米)

作为接地体

2.5

2.5

2.5

作为接地线

1.6

2.5

1.6

注:1、电力线路杆塔的接地体引出线,其截面不应小于50 cm2,并应热镀锌。
    2、经常流过直流电力电流的接地体和接地线,其地下部分的最小规格见本规范第八章。
    3、作为接地线的钢管,表中地下系指车间地坪内。
    敷设在腐蚀较强场所的接地装置,应根据腐蚀的性质采取热镀锌、热镀锡等防腐措施,或适当加大截面。

第二节  变电所的接地装置

第5.2.1条        变电所的接地装置,除利用自然接地体外,还应敷设人工接地网。但对10千伏及以下变电所,若用建筑物的基础作接地体且接地电阻又满足规定值时,可不另设人工接地。人工接地网应以水平接地体为主,接地体工频接地电阻的计算可按照附录一。
    人工接地网的外缘应闭合,外缘各角应做成圆弧形。当不能满足接触电势或跨步电势的要求时,人工接地网内应敷设水平均压带。人工接地网的埋设深度宜采用0.6米
    35千伏及以上变电所接地网边缘经常有人出入的走道处,应铺设砾石、沥青路面或在地下敷设两条与接地网相连的帽檐式均压带。
    杆上配电变压器的接地装置宜敷设成闭合环形

第5.2.2条        35千伏及以上变电所的接地网,应在地下与进线避雷线的接地装置相连接,以降低变电所接地网的接地电阻。连接线埋设长度不应小于15米,连接处应便于分开,以便测量变电所的接地电阻。

第三节  架空线路杆塔的接地装置

第5.3.1条        高压架空电力线路的接地装置应符合下列要求:
    一、在土壤电阻率ρ≤100欧·米的潮湿地区,可利用铁塔和钢筋混凝土杆的自然接地,不必另设防雷接地,但变电所的进线段除外。在居民区,如自然接地电阻符合要求,可不另设人工接地装置。
    二、在100<ρ≤300欧·米的地区,除利用铁塔和钢筋混凝土杆的自然接地外,还应敷设人工接地装置,接地体埋设深度不宜小于0.6~0.8米
    在300<ρ≤2000欧·米的地区,一般采用水平敷设的接地装置,接地体埋设深度不宜小于0.5米
    敷设在耕地中的接地体,埋设深度应在耕作深度以下。
    三、在ρ>2000欧·米的地区,可采用6~8根总长度不超过500米的放射形接地体,或连续伸长接地体;放射形接地体可采用长短结合的方式。接地体埋设深度不宜小于0.3米
    四、居民区和水田中的接地装置,宜围绕杆塔基础敷设成闭合环形。
    五、在高土壤电阻率地区,当采用放射形接地装置时,如杆塔基础附近有土壤电阻率较低的地带,可部分采用外引式接地。

第四节  高土壤电阻率地区和永冻土地区

第5.4.1条        电力设备的接地装置条在高土壤电阻率地区,为降低电力设备工作接地和保护接地的接地电阻,可采取下列措施:
    一、一般如在电力设备附近有电阻率较低的土壤,可敷设外引式接地体;经过公路的引外线,埋设深度不应小于0.8米
    二、如地下较深处的土壤电阻率较低,可采用井式或深钻式接地体。
    三、填充电阻率较低物质或降阻剂。
    四、敷设水下接地网。

第5.4.2条        在永冻土地区,还可采取下列措施:
    一、将接地装置敷设在溶化地带或溶化地带的水池或水坑中。
    二、敷设深钻式接地体,或充分利用井管或其他深埋在地下的金属构件作接地体。
    三、在房屋溶化盘内敷设接地装置。
    四、除深埋式接地体外,还应敷设适当深度的伸长接地体,以便在夏季地表层化冻时起散流作用。
    五、在接地体周围人工处理土壤,以降低冻结温度和土壤电阻率。

第六章  固定式电力设备的接地

第6.0.1条        交流电力设备的接地线应尽量利用金属构件、普通钢筋混凝土构件的钢筋、穿线的钢管和电缆(通信电缆除外)的铅、铝外皮等。
    低压电力设备接地线可利用金属管道,但可燃液体、可燃或爆炸性气体的金属管道除外。
    利用以上设施作为接地线时,应保证其全长为完好的电气通路,利用串联的金属构件作为接地线时,金属构件之间应以截面不小于100 cm2的钢材焊接。
    如上述设施符合本规范要求,可不另设接地线。

第6.0.2条        不得使用蛇皮管、保温管的金属网或外皮以及低压照明网络的导线铅皮作接地线。在电力设备需要接地的房间内,这些金属外皮应接地,并应保证其全长为完好的电气通路,接地线应与金属外皮用螺栓连接或低温焊接。

第6.0.3条        接地线一般采用钢材。但移动式电力设备的接地线、三相四线制照明电缆的接地芯线以及采用钢接地线有困难时除外。
    钢接地线的截面,应符合载流量、短路时自动切除故障段以及热稳定的要求,且不应小于表5.1.2所列规格。
    在地下不得利用裸铝导体作为接地体或接地线。

第6.0.4条        低压电力设备的铜或铝接地线的截面不应小于表6.0.4所列数值。

表6.0.4低压电力设备的铜或铝接地线的最小截面(cm2

种        类

明设的裸导体
绝缘导线
电缆的接地芯或与相线包在同一保护外壳内的多芯导线的接地芯

4
1.5
1

6
2.5
1.5

第6.0.5条        小接地短路电流系统中,与设备和接地体连接的钢、铜、铝接地线,在流过计算用的单相接地故障电流时,应保证其长时间温度:敷设在地上的,不超过150℃;敷设在地下的,不超过100℃。
    在一般情况下,可不校验发生两相异点短路时接地线的热稳定。

第6.0.6条        中性点不接地的低压电力设备,接地线的截面应按相线允许载流量确定。接地干线的允许电流不应小于供电网中容量最大线路的相线允许载流量的1/2;单独用电设备,接地线的允许电流不应小于供电分支线相线允许载流量的1/3。
    中性点不接地的低压电力设备,接地线的截面,一般不大于下列数值:
      钢——100cm2
      铝——35 cm2
      铜——25 cm2

第6.0.7条        中性点直接接地的低压电力网,接地线和零线应保证在导电部分与被接地部分成零线之间发生短路时,电力网任一点的短路电流能使最近处熔断器或自动开关可靠地切除故障。

第6.0.8条        中性点直接接地的低压电力设备,另设接地线或零线宜与相线一起敷设,如已利用第5.4.1条所列的设施作接地线,其另设接地线的钢接地线截面一般不大于160 cm2
    中性点直接接地的低压电力设备,接地线的截面一般不大于下列数值:
      钢——800 cm2
      铝——70 cm2
      铜——50 cm2

第6.0.9条        用于接零保护的零线上不得装设开关和熔断器;单相开关应装在相线上。

第6.0.10条    在同时符合下列各项条件时,照明线路的零线可兼作由另一线路供电的电力设备的接地线。
    一、零线的电导符合要求。
    二、在线路运行时,零线不可能断开。
    三、线路均由在同一接地网接地的变压器供电。当线路由在不同接地网接地的变压器供电时,将形成接零和接地混用的方式,应按本规范第1.0.5条处理。

第6.0.11条    接地线不宜作其他用途。在个别情况下,接地线也可作为机床设备控制回路的零线。

第6.0.12条    携带式接地线应采用裸铜软绞线,其截面应符合短路时热稳定的要求,短路时的温度不应超过730℃,且截面不应小于25cm2
    携带式接地线的夹具应保证与电力设备及接地体在连接处的电气接触良好,并应符合短路电流作用下的热稳定和动稳定的要求。

第6.0.13条    接地线的连接应符合下列要求:
    一、钢接地线连接处应焊接。如采用搭接焊,其搭接长度必须为扁钢宽度的2倍或圆钢直径的6倍。
    架空线零线的连接,可采用与相线相同的连接方法。
    潮湿的和有腐蚀性蒸气或气体的房间内,接地装置的所有连接处应焊接。如不能焊接,可采用螺栓连接,但应采取可靠的防锈措施。
    二、接地线与接地体的连接,宜采用焊接。接地线与设备的连接,可采用螺栓连接或焊接。用螺栓连接时应设防松螺帽或防松垫片。
    三、接地线与管道等伸长接地体的连接处,应焊接。如焊接有困难,可用卡箍,但应保证电气接触良好。
    连接地点应选在近处,并应在管道检修而可能断开时,接地装置的接地电阻仍能符合本规范的要求。
    管道上的表计和阀门等处均应装设跨接线。

第6.0.14条    直接接地或经消弧线圈接地的主变压器、旋转电机的中性点与接地体或接地干线连接应采用单独的接地线。

第七章  携带式和移动式电力设备的接地

第7.0.1条        携带式用电设备应采用专用芯线接地,此芯线严禁同时用来通过工作电流。严禁利用其他用电设备的零线接地,零线和接地线应分别与接地网相连接。

第7.0.2条        携带式用电设备的接地芯线,应采用多股软铜线,其截面不应小于1.5cm2

第7.0.3条        携带式用电设备的插座上应备有专用的接地触头。而且所用插销的结构应能避免将导电触头误作接地触头使用。
    插座和插销的接地触头应在导电的触头接触之前连通,并应在导电的触头脱离之后才断开。金属外壳的插座,其接地触头和金属外壳应有可靠的电气连接。

第7.0.4条        由固定式电源或由移动式发电设备供电的移动式机械的金属外壳或底座,应与电源的接地装置有可靠的金属连接。
    在中性点不接地的电力网中,可在移动式机械附近装设接地装置,代替金属外壳或底座与上述电源接地装置的金属连接。如附近有自然接地体应充分利用,但接地电阻应符合要求。
    如根据移动式机械的特殊情况,按本规范的要求接地实际上不可能或不合理时,可利用自动切断电源装置代替接地。

第7.0.5条        移动式电力设备的接地应符合固定式电力设备接地的要求,接地线截面亦应符合本规范第五章的要求,但下列情况一般可不接地或接零:
    一、移动式机械自用的发电设备直接放在机械的同一金属支架上,且不供给其他设备用电时。
    二、不超过两台的机械由专用的移动式发电设备供电,机械距移动式发电设备不超过50米,且发电设备和机械的外壳之间有可靠的金属连接时。

第八章  直流电力设备的接地

第8.0.1条        经常不流过电流的直流电力系统,其接地保护、接零保护的要求应与交流系统相同。在直流设备特别少的情况下,一般采用中性线绝缘方式。
    汞弧整流装置的一极或中性点接地时,应采用接零保护或装设接地短路继电器,以保证在设备发生接地短路时能迅速切除故障。
    为降低大型电解槽的泄漏电流,一般不采用接地保护方式,而应采取加强绝缘的方法。

第8.0.2条        直流电力网中的接地装置,应符合下列要求:
    一、能与地构成闭合回路且经常流过电流的接地线,应沿绝缘垫板敷设,不得与金属管道、建筑物和设备的构造件有金属的连接;
    二、经常流过电流的接地线和接地体,除应符合载流量和热稳定的要求外,其地下部分的最小规格不应小于:圆钢直径10cm,扁钢和角钢厚度6cm,钢管管壁厚度4.5cm。
    三、接地装置应尽量避免敷设在土壤中含有电解时排出活性作用物质或各种溶液的地方,必要时可采用外引式接地装置,否则应采取改良土壤的措施。

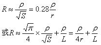
附录一  工频接地电阻的计算公式

附表1.1工频接地电阻(欧)计算公式

接地体型式

适用条件

计算公式

垂直式

长约3米的接地体

R≈0.3ρ

单根水平式

长约60米的接地体

R≈0.03ρ

n根水平放射式

n≤12,每根长约60米

钢筋混凝土杆的自然接地

一个拉线盘R≈0.28ρ

单杆R≈0.3ρ

双杆R≈0.2ρ

拉线单、双杆R≈0.1ρ

复合式(接地网)

公式适用于面积大于100m2的闭合接地网

注:1、ρ为土壤电阻率(欧·米)。

2、r为与接地网总面积S等值的圆的半径,即接地网的等效半径(米)。

3、L为接地网水平和垂直接地体的总长度。

附录二  名词解释

一、接地体、接地线和接地装置:埋入地中并直接与大地接触的金属导体,称为接地体。兼作接地体用的直接与大地接触的各种金属构件、金属井管、钢筋混凝土建构筑物的基础、金属管道和设备等称为自然接地体。
    电力设备、杆塔的接地螺栓与接地体或零线连接用的在正常情况下不载流的金属导体(本规范第6.0.9条和第6.0.10条所述情况除外),称为接地线。
    接地体和接地线的总和,称为接地装置。

二、接地、工作接地、保护接地、过电压保护接地:电力设备、杆塔或过电压保护装置用接地线与接地体连接,称为接地。接地按目的分为三种:
    在电力系统中,运行需要的接地(如中性点接地等),称为工作接地。
    高压电力设备的金属外壳、钢筋混凝土杆和金属杆塔,由于绝缘损坏有可能带电,为了防止这种电压危及人身安全而设的接地,称为保护接地。
    过电压保护装置为了消除过电压危险影响而设的接地,称为过电压保护接地。

三、接地电阻:接地体或自然接地体的对地电阻和接地线电阻的总和,称为接地装置的接地电阻。接地电阻的数值等于接地装置对地电压与通过接地体流入地中电流的比值。按通过接地体流入地中冲击电流求得的接地电阻,称为冲击接地电阻;按通过接地体流入地中工频电流求得的电阻,称为工频接地电阻。

四、接地装置对地电压或接地装置的电位:电力设备发生接地故障时,其接地部分与大地零电位点之间的电位差,称为接地装置对地电压或接地装置的电位。

五、接触电势、接触电压、跨步电势、跨步电压:当接地短路电流流过接地装置时,大地表面形成分布电位,在地面上离设备水平距离为0.8米处与沿设备外壳、架构或墙壁垂直距离1.8米处两点间的电位差,称为接触电势。人体接触该两点时所承受的电压,称为接触电压;接地网网孔中心对接地网接地体的最大
    电位差,称为最大接触电势,人体接触该两点时所承受的电压,称为最大接触电压。
    地面上水平距离为0.8米的两点间的电位差,称为跨步电势。人体两脚接触该两点时所承受的电压,称为跨步电压;接地网外的地面上水平距离0.8米处对接地网边缘接地体的电位差,称为最大跨步电势,人体两脚接触该两点时所承受的电压,称为最大跨步电压。

六、低压、高压:额定电压1千伏以下称为低压。额定电压1千伏及以上称为高压。

七、直接接地的中性点、非直接接地的中性点:变压器和旋转电机的中性点直接或经过小阻抗与接地装置连接的,称为直接接地的中性点;不与接地装置连接(即中性点不接地),或经过消弧线圈、电压互感器以及高电阻与接地装置连接的称为非直接接地的中性点。

八、零线:与变压器直接接地的中性点连接的导线,或直流回路中的接地中性线,称为零线。

九、低压接零保护、低压接地保护:中性点直接接地的低压电力网中,电力设备外壳与零线连接,称为低压接零保护,简称接零。电力设备外壳不与零线连接,而与接地装置连接,称为低压接地保护。

主要符号

j——发生接地短路时,接地装置的最大允许接触电势;

——同上,最大允许跨步电势;

L——接地网水平和垂直接地体的总长度;

n——水平放射形接地体的根数;

R——工频接地电阻;

r——与接地网面积等值的圆的半径,即接地网的等效半径;

S——接地网的总面积;

I——计算用的接地故障电流,

ρ——土壤电阻率;

ρ——地表面土壤电阻率。

温馨提示:以上内容整理于网络,仅供参考,如果对您有帮助,留下您的阅读感言吧!
相关阅读
本类排行
相关标签
本类推荐

CPU | 内存 | 硬盘 | 显卡 | 显示器 | 主板 | 电源 | 键鼠 | 网站地图

Copyright © 2025-2035 诺佳网 版权所有 备案号:赣ICP备2025066733号
本站资料均来源互联网收集整理,作品版权归作者所有,如果侵犯了您的版权,请跟我们联系。

关注微信