时间:2016-10-13 09:04
人气:
作者:admin
转向系统是汽车的重要组成部分,其性能直接影响着汽车行驶的稳定性和安全性。早期的汽车转向系统为纯机械转向系统,没有助力,转向动力完全由驾驶员提供,驾驶体验差。从上世纪30年代以后,逐渐出现了助力转向系统。目前,汽车助力转向主要有3种形式:液压助力转向系统(Hydraulic PowerSteering,HPS),电控式液压助力转向系统(Electric Hydraulic Power Steeing,EHPS)以及电动助力转向系统(Electric Power SteeringSystem,EPS)。相比前两种,EPS由电机提供辅助力矩,没有油系统,很大程度降低了汽车转向系统的复杂度,且在燃油效率、模块化、助力效果和环境友好性等各方面具有明显的优势。根据EPS助力电机在齿轮和转向柱总成上位置的不同,EPS系统分为转向柱助力式、齿条助力式、小齿轮助力式和双小齿轮助力式4种类型。小齿轮和转向柱助力式应用于轻型车辆,双小齿轮助力式应用于重型车辆。它们在构成上都具有3个基本部件:电控单元(Electrie Control Unit,ECU)、助力电机和安装在转向柱上的扭矩传感器。文中针对小型轿车,以美国Freescale公司的16位单片机MC9S12DP256为核心进行了EPS控制器的设计。
1 电动助力转向系统结构和工作原理
电动助力转向系统结构如图1所示,主要由方向盘、扭矩传感器、电子控制单元(ECU)、电机、电磁离合器、减速机构、齿轮齿条转向器组成。在汽车发动机点火后,转动方向盘时,由安装在转向轴上的扭矩传感器测得转向力矩,并送给ECU,ECU根据转矩和车速,通过预先设置好的助力特性曲线和控制策略计算出一个电机所需的最佳电流,从而控制电机输出力矩和转动方向,然后经过减速机构施加到转向机构,最终得到一个与行驶工况相适应的转向作用力,辅助驾驶员转向。

2 控制策略
2.1 EPS模型建立
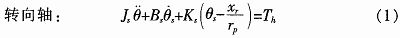
根据牛顿定律,可建立转向系统数学模型。
![]()

其中:Th为方向盘输入转矩,Js为转向柱、盘总成转动惯量,Bs为输入轴阻尼系数,Ks为力矩传感器刚度系数,Tm电机输出力矩,Km为助力电机和减速机构的刚度系数,Jm为助力电机转动惯量,Bm为助力电机阻尼系数,M为齿条质量,Br为齿条和转向轮粘性阻尼系数,Kr为齿条当量刚度,G为助力机构传动比,rp为小齿轮半径,θs为方向盘转角,θm为电机转角,xr为齿条位移,Fr为转向阻力。
2.2 助力特性曲线设计
EPS助力特性是驾驶员输入转矩和电机助力力矩(助力电流)之间的关系。汽车在行驶过程中,转向阻力随着车速的增加而降低。为了获得汽车低速行驶时转向的轻便性和高速行驶时的稳定性,在同种行驶状况下,电机助力力矩随着车速的升高而减小,并在车速超出一定范围时,电机不进行助力。常见的助力特性曲线有3种:直线型、折线型和曲线型。直线型助力特性曲线形式简单,实际中容易调节和实现。因此,文中采用直线型助力特性进行控制器设计。直线型助力特性可表示为如下函数关系:

其中:Th为电机目标力矩,f(v)为车速感应系数,Tmax为电机最大助力力矩,Td0为开始助力时驾驶员输入最小力矩,Tdmax为电机提供最大助力时驾驶员输入力矩。
助力特性参数确定:Td0=1 Nm,Tdmax=7.6Nm,Thmax=21Nm。车速感应系数按照表1所示规则确定(最终需要实车测试后进行修正),车速超过80 km/h时,电机不进行助力。

根据上述参数,助力特性曲线设计如图2所示。

电机目标电流可以由式(8)获得:
![]()
式中,ki为电机转矩系数,G为电机减速机构传动比。
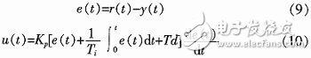
2.3 控制算法
EPS系统控制是对电机电流大小和方向的控制。其控制算法的好坏直接影响着转向系统的性能。本文采用目前广泛应用于工业控制领域的PID控制算法。PID控制稳定性和可靠性高、实时性强、且控制与调试方法简单,易于实现,适合用于汽车电动助力转向系统的控制。因此,PID控制是现阶段EPS控制系统主要的控制策略。
PID控制的表达式可表示为:

其中:r(t)为助力电机电流目标值,y(t)是控制系统实际输出值,u(t)为PID控制器的输出信号,Ti为积分时间常数,Td为微分时间常数。EPS控制系统的核心是采用数字信号的单片机。因此,需要对式(10)进行如下处理:

为了减小计算量,提高转向系统的实时性,本设计采用增量式PID控制,用控制量的增量△u作为作为控制器的输出。其实现方法如下:
设助力电机目标电流为i,实际当前助力电流为io,则控制偏差为:
ek=i-io (12)
△u=u(k)-u(k-1) (13)
助力电机目标电流可以由单片机根据当前车速、输入转矩、助力特性曲线计算得到。然后由式(11)、(12)、(13)可获得对应的PWM增量△u。
PID参数可以由试凑发初步得到,然后根据试验结果进行修正。
3 硬件设计
3.1 总体设计
单片机是控制器的核心,其选型需要考虑适用性、可靠性、片内资源、价格等多种因素。单片机选型恰当与否直接影响机构控制系统的性能及设计难易程度度。本设计采用Freescale公司的16位高精度MC9S12DP256单片机。MC9S12DP256内置5个CAN模块、2个8通道10位A/D转换模块、8个PWM通道,总线速度25 MHz,采用5 V供电,112脚LQFP封装。此单片机,内部资源丰富,可大大简化控制系统硬件电路,其可靠性高,非常适用于EPS控制。设计中没有用到的管脚引到电路板上,以便于后续开发。
硬件设计如图3所示。车速、发动机、转矩信号经处理后送给MC9S12DP256单片机,经单片机计算后,得到电机助力电流值,经驱动电路后作用于助力电机,控制电机输出力矩的大小和方向,同时对电机电流进行采样,并送回单片机,形成闭环控制。在助力控制基础上,设计了电机保护电路和故障诊断与提示电路。一旦检测到故障存在,立即断开离合器,改用纯手动转向,并发出故障信号,从而保证了行车安全。

3.2 控制系统硬件电路设计
硬件电路设计主要包括电源转换电路、扭矩信号处理电路、车速信号处理电路、CAN通信电路、时钟电路。具体设计如下:
电源转换由于单片机工作时管脚电压为+5 V供电,而车载电源电压为+12 V。因此,需要对+12 V电压进行转换,变成+5 V。本设计中采用7805电压转换芯片进行电压变换。
扭矩信号处理由于扭转传感器获得的是一些微弱的小信号,容易受干扰,因此需要对其进行滤波处理。本设计采用型滤波电路,R12取大电阻,提高输入阻抗。
车速处理电路车速信号为+12 V单极性方波,电压太高,不能直接用于单片机,需要将其变换为+5 V以内的方波。利用LM358对其进行处理,经转换后得到高电平为3.72 V,低电平为0.01V的方波信号。
CAN总线驱动电路MC9S12DP256内部集成了CAN总线控制器,CAN驱动电路只需要物理层驱动即可。本设计选用82C250芯片进行设计。
时钟电路时钟是单片机工作的基础。MC9S12DP256单片机内部集成了压控振荡器,可在其43、44和46、47引脚分别接上锁相环电路和16MHz的晶振电路。组成MC9S12DP256时钟电路,提供25MHz的时钟信号。
具体电路设计如图4所示。

4 系统软件设计
EPS控制软件采用模块化设计,包括进行系统初始化、信号采集、控制状态判、控制模式判断、PWM占空比计算、系统状态监控及保护、电流闭环模块、通信模块等。EPS控制系统需要同时执行多个任务,为了保证系统的实时性和可靠性,采用中断服务方式,将整个软件部分分为主程序和中断服务子程序。主程序设计流程如图5所示。

5 结束语
文中分析了汽车电动助力转向系统的工作原理。设计了直线型助力特性曲线,建立了增量式闭环PID控制策略,减小了芯片的计算量,增强了系统的助力跟随性。利用MC9S1 2DP256单片机的丰富内部资源,简化了EPS硬件电路系统,降低了电路间的干扰,从而提升了系统可靠性,设计了基于MC9S12DP256的EPS控制系统硬件电路,并给出了软件设计流程。本文设计的EPS系统可以编写多种EPS控制算法,有利于后续深入研究。对于控制性能的优化将在进一步的控制策略研究和试验中进行。
下一篇:车联网霸道爆发期,诸多问题待解决