时间:2024-07-25 08:10
人气:
作者:admin
电机是新能源汽车的三大件之一,它决定了新能源汽车的负载能力、加速能力、爬坡能力和最高车速,是新能源汽车获得前进动力的核心部件,同时也在一定程度上影响了汽车的整车能耗和续驶里程。
电机控制器MCU(MotorControl Unit)是电机的中央控制枢纽,通过控制算法和策略执行多项重要功能,目标是使电机的性能发挥到最佳状态,以确保平稳高效的驾驶。
那么MCU都需要控制哪些功能呢?
1.DC/AC转换
新能源汽车所使用的电机主要分为两类,交流异步电机和永磁同步电机。
这两种电机有一个共同特点,就是都是交流电机。交流电机顾名思义,就是必须要使用交流电才能驱动电机旋转,这与电机的工作原理有关。
以国内常用的永磁同步电机为例,通常将永磁体放在转子上,而定子是一个线圈,线圈通电后,也会产生一个磁场。

永磁同步电机基本原理示意图
当两个磁场轴线正对着的时候(上图左),磁场之间有相互吸引力,这个力是径向的,不会产生转矩。
当两个磁场轴线有一定夹角的时候(上图中),磁场之间有相互吸引力,但是这个力既有径向分量,也有切向分量,因此会产生一定的转矩。
当两个磁场轴线垂直的时候(上图右),磁场之间有相互吸引力,但是这个力主要是切向分量,因此会产生最大的转矩。
实际使用的电机为三相定子绕组,每个绕组产生的磁通大小与电流成正比!

三相电机
当三个定子线圈按一定的时序和电流大小导通后,就会产生一个合成的旋转磁场,转子永磁体被这个旋转磁场产生的电磁力拉着旋转,这就是电机工作的原理。
但是车辆的动力电池输出的是直流电,不能用于电机的控制。所以MCU首先要做的就是把电池提供的直流电(DC)转换为电机需要的三相交流电(AC)。
在电力电子中,把交流电变换为直流电称为整流,而把直流电变换为交流电称为逆变!
所以MCU电机控制器中需要具备逆变器电路VSI。VSI电路可以从直流电压源产生交流电流和电压。

MCU中的DC/AC转换原理框图
逆变器电路VSI 中最主要的器件是IGBT!
IGBT是Insulate-Gate Bipolar Transistor的缩写,表示绝缘栅双极晶体管,它是一种复合全控型电压驱动式功率半导体器件,它与MOSFET场效应管结构功能相似,但是可控制的电压范围更高,IGBT的应用范围一般都在耐压600V以上、电流10A以上、频率为1kHz以上的区域。
通常采用6个 IGBT 配置3个半桥来实现这种转换,如果电机要求的驱动电流更大,还可以增加并联IGBT的数量。

用IGBT组成的VSI电路图
通过6个IGBT的开关通断控制,就可以实现永磁同步电机定子线圈三相输入电压的方向、电流的大小和频率的变化,从而将直流电转变为交流电。
IGBT在开关过程中,会产生脉动电流和过电压,过电压会对动力电池的输出电压造成影响,所以在实际电路中,在IGBT的前端还会并联一个电解电容,这个电容就是用于稳定母线电压,承受脉动电流。

用于稳压的电解电容
其中的IGBT除了可以实现DC/AC转换,还可以起到电压隔离以及保护的作用。
2.速度、扭矩调节
车辆行驶需要加速时,驾驶员会踩下加速踏板,所以MCU的输入主要来自VCU的加速踏板信号。

速度控制信号流
MCU收到加速踏板信号后,根据信号大小决定 PWM 脉冲的占空比如何变化,通过PWM信号控制电源开关IGBT的通断,产生对应的交变电流和磁场,实现电机的转速调节。

速度控制原理框图
总体过程是MCU从整车控制器VCU获得整车的需求,从动力电池包获得电能,经过自身逆变器的调制,获得控制电机需要的电流和电压,提供给电动机,使得电机的转速和转矩满足整车的要求。
控制的同时也会将传感器信息(电机位置、相电流、温度等),反馈给VCU,以实现精确控制。
电机转动的形成是由于转子受到电磁力的作用,转速大小主要受到定子磁通变化速度的影响,但是转速大小同时还与力矩有密切的关系。

转矩(功率)-转速曲线
转矩(功率)-转速曲线是电机的转矩(功率)随着转速变化的曲线。从图中我们可以看出在电机转速运行范围内,随着转速的升高,分为恒转矩区和恒功率区两部分,两部分交界转速为基速。
通过力矩转速曲线可知:
基速以下力矩是恒定不变的,功率随着转速的升高而变大;
基速以上力矩会随着转速的增加而减小,此时功率已经达到最大, 保持不变。
为什么高速时,力矩会越来越小呢?
这是因为电机旋转时,定子绕组切割磁力线,本身也会产生反向电动势,转速越高,反向电动势越大,而反向电动势会减小电流,削弱力矩。
根据这个特性,所以电机的速度调节分为两个部分,基速以下的恒转矩控制以及基速以上的弱磁控制。
两种控制方式可以理解为:
在额定转速以下,保持磁通恒定采用变压/变频进行调速;
在额定转速以上,保持输入电压恒定,采用弱磁继续提升电机转速。
2.1恒压比调速
根据同步电机的运行原理,当电机的极对数P确定后,电机的转速n由供电电源的频率f决定。电机转速如下公式所示:

所以只要控制供电电源的频率f,即可控制电机运行在不同的转速。
而转矩与电压/频率比相关,按恒定电压/频率比运行时,最大电磁转矩可以保持不变。
所以在转速升高的同时,要想保持转矩不变,就要升高电压。
恒压比调速的工作特性是保持定子磁通为恒定值,电机的转速与输入电压成正比关系。
当电机到达额定转速后,由于耐压限制不能通过输入电压来获得转速提升,这就需要我们对电机进行弱磁控制进而获得转速继续提升。
在实际应用中,通常会采用转子位置传感器检测定子、转子磁极的相对位置和转子的转速。
知道转子磁极位置后,通过驱动板控制逆变器IGBT的导通顺序和开关频率,来实现供电电源频率的变化,同时也实现了电压的变化。
V/F具有简单有效、受电机参数影响小的优势,是最常用的电机调速方法。
2.2电机弱磁控制
电机的反向电动势是由于定子线圈切割磁力线产生的,要想降低反向电动势,就要降低磁通强度。
我们知道永磁同步电机的转子是由永磁体构成,所以它的励磁磁动势不能改变,是一个恒定值。
如果想要降低磁通强度只有调节定子电流,即增加定子直轴(d轴)去磁电流分量来维持高速运行时电压的平衡,以达到弱磁增速的目的。
这里稍微说明一下,q轴方向表示垂直于转子磁场方向,这个方向的磁场是驱动电机转矩最大的方向。
而其它方向的定子磁场,也就是与q轴无关的为d轴,d轴方向的磁场越大,驱动电机转矩越小。
dq轴是随转子同步旋转的!

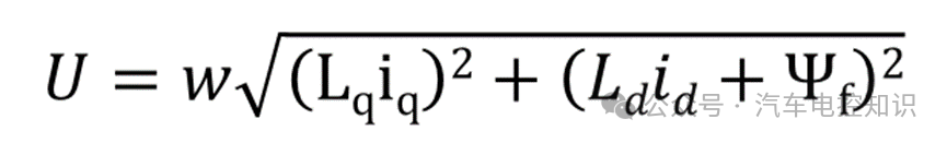
永磁同步电机电压、电流限制圆
由上图可见,当转速由WA提高至WB时,电压极限圆会不断缩小,定子电压不断上升。图中A点对应的转矩为TA,即电机在转速WA时可以输出的最大转矩,此时电压和电流均达到最大值不能再继续增加,所以WA是电机恒转矩运行时的转折速度,当转速大于WA时转矩会随着转速的上升会逐步减小。
电压平衡方程如下:

通过上式可知,当电压U达到极限时,要想让转速W继续上升就要通过调整id和iq来实现。电流的合成矢量值同样存在极限,要想增大id就必须减小iq,才能保证电流矢量大小保持不变。
所以弱磁的工作过程就是通过控制逆变器IGBT,使定子电流相位提前,利用定子电枢的磁场去抵消掉一部分永磁磁场,削弱永磁励磁磁场,让电机的反电动势降低,不至于超过电压极限,从而达到弱磁升速的目的。
简单理解,就是电机反电动势太高,太强大,控制器电压已经到了极限,无法继续以提升电压的方式战胜电机取得电动电流,那么控制器就使用弱磁,削弱电机,把电机的反向电动势拉到比控制器更低的地方,这样控制器电压依然比他强大,还是可以形成电动电流。
这个道理就像高铁一样,速度越快,风阻越大,速度达到一定程度时就克服不了风阻继续提速,如果当前动力已经不能再增大,那就想办法减小风阻。
3.电动和发电
MCU可以控制电机正反转,电机正转车辆前进,电机反转车辆倒车。
控制器还能在再生制动过程中反向为电池充电。

机电能量转换
电机有两个工作状态,电动状态和发电状态。
电动状态就是车辆正常行驶时,电机将电能转换成机械能,是驱动的状态,也是用电的状态。
其能量转换的过程是逆变器从电池获取功率,电池放电;电机从逆变器获取电功率,电机输出机械能,电机扭矩与转速同向,电机推动车辆,此时功率大于0;
发电状态是在车辆因惯性行驶或被拖动时,电机将机械能转换成电能,是馈电的状态。
发电状态的能量转换过程是车辆带动电机,电机力矩与转速反向,轴上输入机械能,机械能通过电机输出交流电,逆变器再转为直流电,此时功率小于0.
这里要注意的是,电机的反向转动并不一定是发电状态,比如正常倒车时,电机是反向,但此时却是是电动状态。
车辆是否为发电状态可以根据转速与力矩的方向判断,转速与力矩相反时为发电状态。
比如行驶时踩刹车,此时电机转速为正向(向前),但是刹车给了它一个反向的力矩(向后),此时就是发电状态。
同样的道理,倒车时踩刹车和下坡时也是发电状态。
电动状态的电能传输过程为:电池的电压进到电机控制器,直流电变成交流电,交流电压的幅值取决于控制系统内部的控制以及对应的BUCK电路上工作的PWM占空比。

电动状态能量传输过程
当电机控制器产生的电压大于当前转速下的电机空载反电动势值的电压,电流是从高电压的控制器流向电机,形成电动的电流。
在同一个转速下,通过调节负载交流电压,进而在控制器电压和电机电压之间形成不同的压差(即负载交流电压与空载反电势的压差),电从控制器流向电机,就可以转化成对应的电动电流和转矩了。
发电状态的过程是当控制器产生的电压小于当前转速下的电机空载反电动势值的电压时,电流是从电机流向控制器,然后通过BOOST电路将电流向电池,形成发电的电流。

发电状态能量传输过程
在同一个转速下,通过调节控制器的电压高低,进而在电机和控制器之间形成不同的压差。发电状态控制的核心就是通过控制控制器电压小于电机电压的差值来形成所需要的发电性能。
这里的BOOST电路是利用IGBT配合电感电容形成的升压电路。
所以通过IGBT电路不仅可以把输入的直流电变成所需要频率的交流电,也可以把交流电反向转变成直流电。发电过程中,IGBT也存在两种状态,在IGBT不工作时,是整流发电,在IGBT工作时是BOOST发电。
小结:
电机控制器MCU首先要做好电源的直流和交流转换,这是为了控制驱动交流电机和电压反馈充电。在此基础上,通过控制输出电压、电流,来控制电机的转矩和转速。此外,MCU还可以实时监控电机的温度、电流和电压等关键参数,除了优化电机性能外、还要做好过温和过载保护!